近年来,随着各地城市建设火热展开,各种工程检测方法保证着工程质量。钻芯修正法作为最直接最精确的检测方法活跃在工程检测一线,那么钻芯修正法有几种?各种钻芯修正法又适用什么规范?今天小编就带大家来了解钻芯修正法。
视频加载中...
钻芯修正法定义
顾名思义,钻芯修正法就是通过钻芯取样对其他工程检测方案进行修正的方法,其作为最直观最精准的检测方法,被广泛应用。

▌问题1、钻芯修正法有几种?
答:目前相关规范规定钻芯修正的计算方法有四种,分别是总体修正量、对应样本修正量、对应样本修正系数、一一对应修正系数。
总体修正量和相应的修正可按照式1来计算:

对应样本修正量和相应的修正可按照式2来计算:

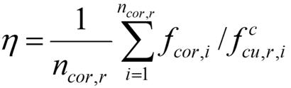
对应样本修正系数和相应的修正可按照式3来计算:

一一对应修正系数和相应的修正可按照式4来计算:

▌问题2、常见的一些检测规范都使用什么方法?
答:
JGJ/T23-2011《回弹法检测混凝土抗压强度技术规程》 对应样本修正量
CECS-02-2005《超声回弹综合法检测混凝土强度技术规程》 对应样本修正量
JGJT 384-2016《钻芯法检测混凝土强度技术规程》 对应样本修正量
JGJ_T208-2010《后锚固法检测混凝土抗压强度技术规程》 对应样本修正量