欢迎关注“牧诗地产圈”,点击左上角头像,互动暗号加群可加入地产交流群,更多干货资料。
作为一名房地产投资人员,就永远绕不开内部收益率(即IRR)。

问题:现金流采用年度、季度、月度数据求解出来的IRR之间是什么关系?
由于一般房地产项目的建设周期较短,一个高层项目从拿地到交付的时间周期也就3年左右,所以用年度现金流序列来计算IRR就不太合理,所以 房地产项目一般采用季度或者月度现金流序列来计算IRR。
他们之间就犹如名义利率与实际利率的关系。比如你去找银行*款贷**年利率是8%,按月付息。
由于是按月付息,因此8%是年名义利率,月利率=8%/12=0.66%,年实际利率=(1+0.66%)^12−1=8.2%。
可见名义利率与实际利率是有差异的,且一般来讲实际利率高于名义利率。
同理,我们假设P0为年初现金流初值,当然P0同时亦为该年首季度和首月度初值,P为终值。
IRR年度、IRR季度、IRR月度分别为年度、季度、月度内部收益率。
则有P=P0*(1+IRR年度)
=P0*(1+IRR季度)^4
=P0*(1+IRR月度)^12
RR年度=(1+IRR季度)^4-1=(1+IRR月度)^12-1
可见,IRR年度≠4* IRR季度≠12* IRR月度,这一点很容易出错,大家一定要注意!

除了提升IRR的问题外,我们在实际测算过程中,还经常遇到这样一种情况,那就是测算出来IRR为负数 , 这可如何是好,搞得很多朋友一脸懵逼。
比如,有这样一笔现金流:

通过EXCEl求解得出IRR=-8%,为一个负数。
此时大家一定非常迫切想搞清楚这几个问题:
1、IRR为负数是什么含义?负数是什么情况产生的?
2、测算表求解出IRR为负数后,我们应该怎么调整现金流?
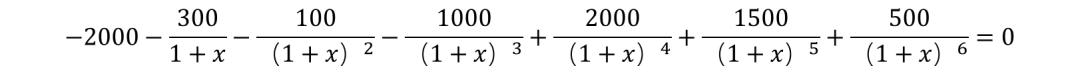
为了得出更加一般性的规律,我们首先得回归到IRR求解的数学模型中,比如拿我们上面列举的求解公式来看:

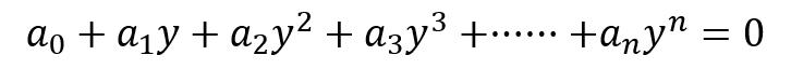
我们可以把这个方程抽象为:

数学上我们把这种方程叫做一元n次多项式,它是n次方程。
n次方程应该有n个解(其中包括负数根和重根),很明显,负根并无经济意义。只有正实数根才能是项目的IRR,而方程的正实根可能不止一个。
而n次方程式的正实根的数目可用笛卡尔符号规则进行判断,即正实根的个数不会超过项目现金流量序列(多项式系数系列)的正负号变化的次数p(如遇有系数为零,可视为无符号)。
是不是越看越懵逼?到底是什么意思呢?能不能说人话......
直白一点, 就是说这个项目的现金流求解出来的IRR的个数取决于这笔现金流的“现金流” (注意,这里的现金流对应到测算表中应为净现金流)由正转负或者由负转正的次数,假设这个次数为p:
如果P=0(正负号变化0次),则方程无根;
如果P=1(正负号变化1次),则方程有唯一根。
如果P=2(正负号变化2次),则方程的正实根<2个。
也就是说,若项目的净现金流(t=0,1,2,,n)的正负号仅变化1次,内部收益率方程肯定有唯一解。
而当净现金流序列的正负号有多次变化(两次或两次以上),内部收益率方程可能有多解。

为了便于大家更好的理解,这里列举几种典型的现金流:
(1)

这笔现金流序列正负号仅变化1次,因此内部收益率方程只有唯一解。果
不其然,通过excel计算得出IRR=20%,这是一笔比较常规的现金流,与我们前文所列举的现金流特征一致。
(2)

这笔现金流序列正负号仅变化1次,因此内部收益率方程只有唯一解。但这笔现金流计算得出IRR=-8%,为负数。
问题来了,为什么会出现负数呢?
我们对比一下上面两笔现金流序列,可以从中找到一个重大区别:那就是 “累计净现金流” 的区别,第一笔累计净现金流=500为正,因此IRR为正;而第二笔累计净现金流=-1000为负,因此IRR为负。
通过这种观察得出结论是不是偶然呢?我们进一步验证。
我们把第2笔现金流中第6期的金额调整为3000,使得累计净现金流=0,此时我们计算出IRR=0,如图:

进一步,我把第6期净现金流金额再增加1000,使得累计净现金流为正。果不其然,此时计算得出IRR=6%,成为正值了,如图:

为了得出一个更一般性的结论来指导工作,我们再看几笔特殊的现金流:
(3)

这笔现金流序列正负号变化0次,因此内部收益率方程应无解,通过excel验算果然报错!
(4)

这笔现金流序列正负号变化2次,因此内部收益率方程至多有2个解,即至多存在2个IRR。
(5)

这笔现金流序列正负号变化3次,因此内部收益率方程至多有3个解,即至多存在3个IRR。
看完以上五笔现金流案例,我们大概可以总结出一个更一般性的结论来指导我们测算工作:
1、若方案的第一笔净现金流<0(即正常的项目我们第一笔资金基本是支出的,也就是我们投入的一部分),现金流序列仅改变一次正负号,且累计净现金流>0,此时项目必有唯一的“正”IRR解。
2、若方案的第一笔净现金流<0,现金流序列仅改变一次正负号,且累计净现金流<0,此时项目必有唯一的“负”IRR解,铺排的此现金流方案不可行,需要调整。
3、若方案的现金流序列不改变正负号,则方案的IRR不存在,不能用IRR来评价此方案。
4、若方案的<0,现金流序列符号变化多次,则方案的IRR个数不超过现金流序列符号变化的次数。在这种情况,也可能会有唯一的IRR解也有可能无解。
显然我们在测算的时候是不希望IRR出现负值(负值无意义),也不希望IRR出现多解,因为此时IRR无法确定而导致IRR失效。
查阅了很多文献,在IRR存在多个解的情况下用excel的IRR函数就非常受局限,因为无论由谁来做,或无论你做多少次,excel均只给出一个解,这显然是不合适的。
但尽管在这种情况下,我们很多公司的测算表也是非常*力暴**地使用excel的IRR函数直接进行求解,我个人认为此时求解出来的结果是有待商榷的。
因此,我们在铺排现金流的时候,期初为负,后续期为正,累计净现金流为正,是我们需要关注的三个要点,此时求解出来的IRR是唯一确定的正值。
今天的内容先介绍到这了,更多头条号干货,请关注公号“牧诗地产圈”。