【考情导引】
有机物推断主要以框图填空题为主,常对有机物的组成、结构、性质的考查融为一体,具有较强的综合性,并多与新的信息紧密结合。有机合成主要是利用一些基本原料并限定合成路线或设计合成路线来合成有机物,并与有机物的结构简式、同分异构体、有机反应类型、有机反应方程式的书写等基础知识的考查相结合,着力考查阅读有机合成方案、利用题设信息、解决实际问题的能力,也考查对信息接受和处理的敏锐程度、思维的整体性和对有机合成的综合分析能力。有机合成与推断题中涉及的有机知识点很多,且错纵复杂,如有机反应条件的选择,*能官**团的引入和消去,各类有机物的相互衍生等,只要有一个环节搞不清,都会给解题带来障碍。
【精选例题】
例1. A(C2H2)是基本有机化工原料。由A制备聚乙烯醇缩丁醛和顺式异戊二烯的合成路线(部分反应条件略去)如图所示:

回答下列问题:
(1)A的名称是________________,B含有的*能官**团是_____________________________。
(2)①的反应类型是________________,⑦的反应类型是________________。
(3)C和D的结构简式分别为_____________________、__________________________。
(4)异戊二烯分子中最多有____个原子共平面,顺式聚异戊二烯结构简式为__________。
(5)写出与A具有相同*能官**团的异戊二烯的所有同分异构体__________ (填结构简式)。
(6)参照异戊二烯合成路线,设计一条由A和乙醛为起始原料制备1,3—丁二烯的合成路线__________。
【参考答案】⑴ 乙炔;碳碳双键、酯基⑵ 加成反应;消去反应;⑶

;CH3CH2CH2CHO。⑷ 11;

⑸

⑹

【解析】A(C2H2)为乙炔,参考A与B的分子式可知乙炔与CH3COOH加成反应生成

,由结构简式可知B中含有碳碳双键和羧基;

在酸性条件下水解生成乙酸和

,

和D反应生成

,可知D为


。参考题示信息,设计过程

【题后反思】解答有机合成与推断题,首先应判断目标有机物属于何类有机物,与哪些基本知识和信息有关;其次要分析目标有机物中碳原子的个数及碳链或碳环的组成;再次根据给定原料、信息和有关反应规律,合理地把目标有机物分解成若干片断,或寻找出*能官**团的引入、转换和保护方法,尽快找出目标有机物的关键点和突破点;最后将正向思维和逆向思维、纵向思维和横向思维相结合,选择出最佳的合成途径。
【基础过关】
1."心得安"是治疗心脏病的药物,下面是它的一种合成路线(具体反应条件和部分试剂略):回答下列问题:

(1)试剂a是 ,试剂b的结构简式为 ,b中*能官**团的名称是 。
(2)③的反应类型是 。
(3)心得安的分子式为 。
(4)试剂b可由丙烷经三步反应合成:

,反应1的试剂与条件为 ,反应2的化学方程式为 ,反应3的反应类型是 。(其他合理答案也给分)
(5)芳香化合物D是1-萘酚的同分异构体,其分子中有两个*能官**团,能发生银镜反应,D能被KMnO4酸性溶液氧化成E( C2H4O2) 和芳香化合物F (C8H6O4),E和F与碳酸氢钠溶液反应均能放出CO2气体,F芳环上的一硝化产物只有一种。D的结构简式为 ;由F生成一硝化产物的化学方程式为 ,该产物的名称是 。
【参考答案】(1)NaOH(或Na2CO3)(1分) ClCH2CH=CH2(1分)氯原子、碳碳双键(2分)
(2)氧化反应(1分)(3)C15H21O2N(1分)
(4)Cl2 / 光照(1分)

(1分) 取代反应(1分)
(5)

(2分)

(2分)
2—硝基—1,4—苯二甲酸(或硝基对苯二甲酸)(2分)
【解析】(1)反应①的转化关系为

,可以看出是酚羟基发生了变化,所以加入的试剂a可以是NaOH,也可以是或Na2CO3;从转化关系

可以看出,反应②属于取代反应,所以b的结构简式为ClCH2CH=CH2(含有的*能官**团是氯原子、碳碳双键);(2)反应③是


,碳碳双键生成醚键,所以该反应属于氧化反应;(3)根据心得安的结构简式

,可知其分子式是C15H21O2N;(4)由丙

-萘酚的结构简式为

,分子式为C10H8O,芳香化合物D分子中有两个*能官**团,能发生银镜反应,说明D函分子结构中含有醛基(—CHO),并且能被酸性KMnO4溶液氧化(D
E( C2H4O2) +芳香化合物F (C8H6O4))。E和F与碳酸氢钠溶液反应均能放出CO2气体,说明二者均具有酸性(含有*能官**团—COOH),所以E的结构简式是CH3COOH,又因为F芳环上的一硝化产物只有一种,说明F上的羧基的位置是对称关系,所以F的结构简式为

(其中一个—COOH是醛基被氧化的到的,另一个是碳碳三键被氧化得到),则D的结构简式为

;F的结构简式为

,F发生硝化反应的反应方程式为

,得到的产物是

(2—硝基—1, 4—苯二甲酸(或硝基对苯二甲酸))。
【做题小帮手】有机推断题的解题思路
推断有机物,通常是先确定可能的分子式,再通过试题中提供的信息,判断有机物可能存在的*能官**团和性质。最后综合各种信息,确定有机物的结构简式。其中最关键的是找准突破口。一般方法是:①找已知条件最多的,信息量最大的。这些信息可以是化学反应、有机物性质(包括物理性质)、反应条件、实验现象、*能官**团的结构特征、变化前后的碳链或*能官**团间的差异、数据上的变化等等;②寻找特殊的或唯一的。包括具有特殊性质的物质(如常温下处于气态的含氧衍生物--甲醛)、特殊的分子式(这种分子式只能有一种结构)、特殊的反应、特殊的颜色等等;③根据数据进行推断。数据往往起突破口的作用,常用来确定某种*能官**团的数目;④根据加成所需的量,确定分子中不饱和键的类型及数目;⑤由加成产物的结构,结合碳的四价确定不饱和键的位置;如果不能直接推断某物质,可以假设几种可能,结合题给信息进行顺推或逆推,猜测可能,再验证可能,看是否完全符合题意,从而得出正确答案。
2.席夫碱类化合物G在催化席夫碱类化合物G在催化、药物、新材料等方面有广泛应用。合成G的一种路线如下:

已知以下信息:
①

②一摩尔B经上述反应可生居二摩尔C,且C不能发生银镜反应。
③D属于单取代芳烃,其相对分子质量为106。
④核磁共振氢谱显示F苯环上有两种化学环境的H原子
⑤

回答下列问题:
(1)由A生成B的化学方程式为 ,反应类型为
(2)D的化学名称是 ,由D生成E的化学方程式为:
(3)G的结构简式为
(4)F的同分异构体中含有苯环的还有____种(不考虑立体异构)。其中核磁共振氢谱中有4组峰,且面积比为6:2:2:1的是_______。(写出其中的一种的结构简式)。
(5)由苯和化合物C经如下步骤可合成N-异丙基苯胺。

反应条件1所选择的试剂为____________;反应条件2所选择的试剂为________;I的结构简式为_____________。
【参考答案】(1)C(CH3)2Cl—CH(CH3)2+NaOHeq \o(――――→,\s\up11(乙醇),\s\do4(△)) C(CH3)2=C(CH3)2+NaCl+H2O(2)乙苯,C2H5—EQ +HNO3
C2H5—EQ —NO2+H2O(3)C2H5—EQ —Neq =\O\AL(C-,\S\do10(∣),\S\do20(CH3))CH3
(4)19种,

(5)浓硝酸、浓硫酸;Fe/稀盐酸;EQ —NH2

—CH(CH3)2+NaOHeq \o(――――→,\s\up11(乙醇),\s\do4(△)) C(CH3)2=C(CH3)2+NaCl+H2O(2)D的名称是乙苯,C2H5—EQ +HNO3
C2H5—EQ —NO2+H2O(3)G结构简式为:C2H5—EQ —Neq =\O\AL(C-,\S\do10(∣),\S\do20(CH3))CH3(4)对乙基苯胺的同分异构体还有:邻乙基苯胺、间乙基苯胺、2,3—二甲基苯胺、2,4—二甲基苯胺、2,5—二甲基苯胺、2,6—二甲基苯胺、3,4—二甲基苯胺、3,5—二甲基苯胺共8种,把C2H6N作为一个取代基共有5种,分别作为一个甲基、一个甲氨基有3种,分别作为一个甲基、一个氨基甲基又有3种。所以共有:8+5+3+3=19种;核磁共振有4组峰表示有4种氢原子,且原子个数比为6︰2︰2︰1的有:

或

或

;(5)结合题中的信息⑤,采用逆推法:J用H2加成得到产品,J为EQ —Neq =\O\AL(C-,\S\do10(∣),\S\do20(CH3))CH3,则I为EQ —NH2,H为:EQ —NO2,反应条件1是苯环上引入硝基,试剂为:浓硝酸、浓硫酸;反应条件2把硝基还原为氨基,试剂为:Fe、稀盐酸。
【做题小帮手】有机合成题的解题思路
有机合成题的实质是利用有机物的性质,进行必要的*能官**团反应。解答该类题时,首先要正确判断题目要求合成的有机物属于哪一类?含哪些*能官**团,再分析原料中有何*能官**团,然后结合所学过的知识或题给的信息,寻找*能官**团的引入、转换、消去等方法,完成指定合成。一般方法是:①目标有机物的判断:首先判断目标有机物属于哪类有机物,其次分析目标有机物中碳原子的个数、碳链组成与原料、中间物质的组成关系;②目标有机物的拆分:根据给定原料,结合信息,利用反应规律合理地把目标有机物分解成若干个片段,找出*能官**团引入、转换的途径及保护方法;③思维方法的运用:找出关键点、突破点后,要正向思维和逆向思维、纵向思维和横向思维相结合,选择最佳合成途径。
3.立方烷

具有高度对称性、高致密性、高张力能及高稳定性等特点,因此和成立方烷及其衍生物呈为化学界关注的热点。下面是立方烷衍生物I 的一种合成路线:

回答下列问题:
(1)C的结构简式为_________,E的结构简式为__________。
(2) EQ \o\ac(○,3)的反应类型为__________, EQ \o\ac(○,5)的反应类型为__________。
(3)化合物A可由环戍烷经三步反应合成:

反应1的试剂与条件为_________:反应2的化学方程式为__________;反应3可用的试剂为____________。
(4)在1的合成路线中,互为同分异构体的化合物是__________(填化合物的代号)。
(5)1与碱石灰共热可转化为立方烷。立方烷的核磁共振氢谱中有________个峰。
(6)立方烷经硝化可得到六硝基立方烷,其可能的结构有________种。
【参考答案】(1)


(2)取代反应 消去反应
(3)Cl2/光照

O2/Cu
(4)G和H(5)1(6)3
【解析】(1)C是由B(

)在NaOH的醇溶液发生消去反应生成的,根据消去反应
的规律,可知C的结构简式为

;E是由D(

)和Br2发生加成反应得到的,所以E的结构简式为

;(2)根据流程路线可知:A(

)生成B(

)属于取代反应,B(

)在NaOH的醇溶液发生消去反应生成C(

),C(

)与NBS在过氧化氢存在的条件下加热发生取代反应生成D(

),D(

)和Br2发生加成生成E(

),所以反应③是取代反应;反应⑤是E(

)生成F(

),所以反应⑤属于消去反应;(3)根据合成路线

,采取逆推法可知,生成环戊酮可以由环戊醇发生氧化反应(Cu或Ag作催化剂,加热)而生成,环戊醇可以由一氯环戊烷在NaOH的水溶液中发生取代反应而生成,一氯环戊烷可以由环戊烷和Cl2发生取代反应(光照)而生成,即

故反应1的试剂与条件为Cl2/光照,反应2的化学方程式为

,反应3可用的试剂是O2/Cu;(4)在1的合成路线中,G和H的分子式均为C9H6O2Br2,二者的结构式不相同,所以G和H互

【做题小帮手】常见*能官**团的引入方法
(1)引入C─C:碳碳双键或碳碳三键与H2加成;(2)引入碳碳双键或碳碳三键:卤代烃或醇的消去;(3)引入─X:在饱和碳原子上与X2(光照)取代;不饱和碳原子上与X2或HX加成;醇羟基与HX取代。(4)入─OH:卤代烃水解;醛或酮加氢还原;碳碳双键与H2O加成。(5)入─CHO或酮:醇的催化氧化;碳碳三键与H2O加成。(6)引入─COOH:醛基氧化;─CN水化;羧酸酯水解。(7)引入─COOR:醇酯由醇与羧酸酯化;酚酯由酚与羧酸酐酯化。(8)引入高分子:含碳碳双键的单体加聚;酚与醛缩聚、二元羧酸与二元醇(或羟基酸)酯化缩聚、二元羧酸与二元胺(或氨基酸)酰胺化缩聚。
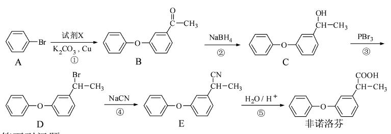
4.非诺洛芬是一种治疗类风湿性关节炎的药物,可通过以下方法合成:

请回答下列问题:
(1)非诺洛芬中的含氧*能官**团为 和 (填名称)。
(2)反应①中加入的试剂X的分子式为C8H8O2,X的结构简式为 。
(3)在上述五步反应中,属于取代反应的是 (填序号)。
(4)B的一种同分异构体满足下列条件:Ⅰ 、能发生银镜反应,其水解产物之一能与FeCl3溶液发生显色反应。Ⅱ、分子中有6种不同化学环境的氢,且分子中含有两个苯环。写出该同分异构体的结构简式: 。
(5)根据已有知识并结合相关信息,写出以

为原料制备

的合成路线流程图(无机试剂任用)。合成路线流程图示例如下:

【参考答案】(1)醚键 羰基 (2)

(3)①③④
(4)

(5)

【解析】(1)根据非诺洛芬的结构简式

,可知非诺洛芬的含氧*能官**团为醚键,羧基。(2)由

变成

,发生取代反应,加入反应的物质的化学式为C8H8O2,则X的结构简式为

(3)根据*能官**团之间的衍变关系,属于取代反应的是①③④(4)B的同分异构体能发生银镜反应,说明含有醛基,水解产物能与氯化铁发生显色反应,说明含有酚羟基,分子中含有2个苯环,有6种不同的H原子,则结构简式为

(5)合成流程图如下:

【做题小帮手】*能官**团的推断方法
1.根据反应现象推断
(1)能使溴水褪色,可推知该物质分子中可能含有碳碳双键、三键或醛基。
(2) 能使酸性高锰酸钾溶液褪色,可推知该物质分子中可能含有碳碳双键、三键、醛基或为苯的同系物。
(3) 遇三氯化铁溶液显紫色,可推知该物质分子含有酚羟基。
(4)遇浓硝酸变黄,可推知该物质是含有苯环结构的蛋白质。
(5)遇水变蓝,可推知该物质为淀粉。
(6) 加入新制氢氧化铜悬浊液,加热,有红色沉淀生成;或加入银氨溶液有银镜生成,可推知该分子结构有即醛基。则该物质可能为醛类、甲酸和甲酸某酯。
(7) 加入金属Na放出,可推知该物质分子结构中含有羟基或羧基。
(8) 加入碳酸氢钠溶液产生气体,可推知该物质分子结构中含有羧基。
(9) 加入溴水,出现白色沉淀,可推知该物质为苯酚或其衍生物。2.根据反应产物推断
(1)若由醇氧化得醛或羧酸,可推知-OH一定连接在有2个氢原子的碳原子上,即存在;由醇氧化为酮,推知-OH一定连在有1个氢原子的碳原子上,即存在;若醇不能在催化剂作用下被氧化,则-OH所连的碳原子上无氢原子。
(2)由消去反应的产物,可确定-OH或-X的位置。
(3)由取代反应产物的种数,可确定碳链结构。如烷烃,已知其分子式和一氯代物的种数时,可推断其可能的结构。有时甚至可以在不知其分子式的情况下,判断其可能的结构简式。(4)由加氢后碳链的结构,可确定原物质分子碳碳双键或碳碳三键的位置。
3. 根据反应用量推断
(1) 与银氨溶液反应,若1mol有机物生成2mol银,则该有机物分子中含有一个醛基;若生成4mol银,则含有二个醛基或该物质为甲醛。
(2)与金属钠反应,若1mol有机物生成0.5mol,则其分子中含有一个活泼氢原子,或为一个醇羟基,或酚羟基,也可能为一个羧基。
(3) 与碳酸钠反应,若1mol有机物生成0.5mol,则说明其分子中含有一个羧基。
(4)与碳酸氢钠反应,若1mol有机物生成1mol,则说明其分子中含有一个羧基。4.根据反应条件推断
(1) 在NaOH水溶液中发生水解反应,则反应可能为卤代烃的水解反应或酯的水解反应。
(2)在氢氧化钠的醇溶液中,加热条件下发生反应,则一定是卤代烃发生了消去反应。
(3)在浓硫酸存在并加热至170℃时发生反应,则该反应为乙醇的消去反应。
(4) 能与氢气在镍催化条件下起反应,则为烯、炔、苯及其同系物、醛的加成反应(或还原反应)。
(5)能在稀硫酸作用下发生反应,则为酯、二糖、淀粉等的水解反应。
(6) 能与溴水反应,可能为烯烃、炔烃的加成反应。