一、前言
- 背景:ABTester实验是具有一定前瞻性,统计性,科学性的特点。用好了就实现了在大数据时代的充分利用数据分析问题,解决问题,为决策提供强有力的依据,但是有时候用户在使用ABTester时候,会出现一些痛点和疑惑。
- 痛点:
- 每次实验需要多少流量
- 实验时间开多长没有概念
- 解决问题:
- 为了验证某一个功能特性,一个实验需要开多少流量。
- 一个实验需要开多长时间
二、基础概念1、研究对象总体X:研究问题某个数量指标。2、入手点个体:总体中的一个元素xi 样本:一部分个体Xi3、工具--统计量

4、抽样分布
- 标准正态分布N(0, 1)
- Ka方分布
- t-分布
- F-分布
5、抽样定理简单介绍几个



6、参数估计通俗的说:样本参数去估计总体的参数。举个 :
- 样本均值估计总体均值,
- 用样本比例去估计总体比例,
- 用样本方差估计总体方差
(1)分类:点估计和区间估计
- 点估计通俗的说:用样本的统计量的值直接作为总体参数的估计值。
- 区间估计通俗的说:在点估计的基础上,给出总体参数估计的一个区间范围。
(2)置信区间和置信水平 通俗的说:区间估计中,样本统计量构造的总体参数的估计区间,称为置信区间。举个 :
- 100个样本,每一个样本构造一个置信区间,100个样本构造的总体参数的100个置信区间中,有95%的区间包含了总体参数的真值,5%则没有包含。
大样本下,样本均值的置信区间:

(3)总体均值的区间估计原理 大样本下,根据中心极限定理,可以得到的样本均值的抽样分布。

7、假设检验我们来看一下一个简单的假设性检验的例子:根据水稻长势,估计平均亩产310kg,收割时,抽取10块地,测平均亩产320kg,如水稻产量服从正态分布N(u, 144),问所估计平均亩产是否正确?(a = 0.05,Z0.05 = 1.645,Z0.025 = 1.96) 分析:当方差已经的情况下,使用Z检验;未知的时候,使用t检验

三、一个简单并完整的ABTester例子1、背景和设置
- 背景:有个web应用,接入了咱们sdk,上报各种事件埋点。
- 确认优化的目标:注册流程改版,从而提供注册转换率。
- 注册流程的A/B测试:之前是使用了图片校验码的方式,但是注册转化率偏低。提出设想:图片校验码方式改成短信校验码方式,是因为降低了用户输入的难度从而可以提高注册转换率。
- 我们设置
- 核心指标:注册转化率
- 设置版本:1个对照版本(图片校验码)。1个实验版本(短信验证码)。
- 设置版本流量:总流量我们设置50%,各个版本均匀分配。
- web应用引入我们客户端分流sdk的,然后将版本代码插入到项目中。
2、结果分析分别为两个版本分配了25%的用户流量,通过2个自然周左右的实验观察,数据显示。结果:新版本(短信校验码)的注册转化率提升了接近10%,并且95%置信区间是[8%, 12%], 分析:说明这个实验版本推广到全量用户之后,95%的概率下至少会有8%到12%的提升。决策:基于这个实验结果,产品经理选择将新版本注册流程推送给全部用户,显著提升了注册转化率。四、详细介绍样本量计算1、注册流程改版例子实验运行后,用户开始进组。1天后数据统计

这就能说明:短信验证码的功能有效提高注册转换率?2天后数据统计

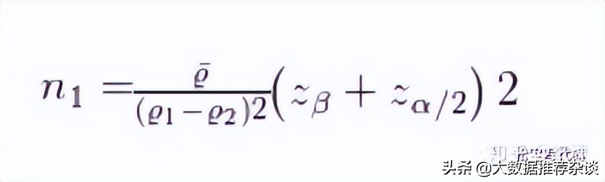
这就能说明:图片验证码的功能有效提高注册转换率?那么到底,注册流程改版对于提高注册转换率是否有显著性提高呢?暂时是不能给出结论的,因为数据样本还不够大,不能充分说明。理论上:样本量越多越好。现实上:1、自身样本不够大;2、试错成本大。选择样本数量是个技术活:样本量太小,有人骂娘;样本量太大,还是有人骂娘。那么问题来了:如何确定一个“最小”的样本数量,在保证实验“可靠性”的同时,不会浪费过多流量?2、最小样本公式统计学里有最小样本量计算的公式:

说明:1、n是每组所需样本量,因为A/B测试一般至少2组,所以实验所需样本量为2n;2、α和β分别称为第一类错误概率和第二类错误概率,一般分别取0.05和0.2;3、Z为正态分布的分位数函数;4、Δ为两组数值的差异,如注册转换率50%到60%,那么Δ就是10%;5、σ为标准差,是数值波动性的衡量,σ越大表示数值波动越厉害。从而可知:实验两组数值差异Δ越大或者数值波动性σ越小,所需要的样本量就越小。3、方法一:假设两个转换率方差相等条件:假设两个转换率的方差(可变性)相等。上面公式转换为:

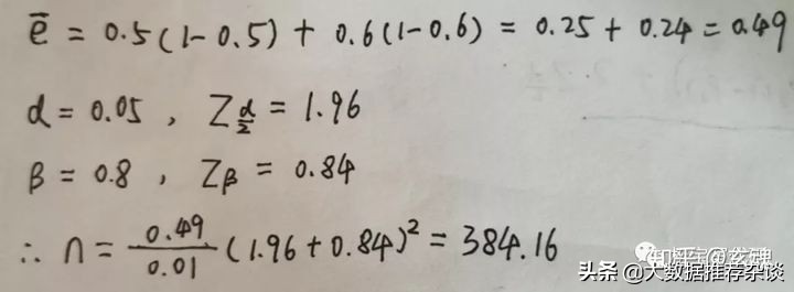
说明:1、e1和e2是真实的注册转换率。2、e 是合并方差估计量。3、α是显著性水平(通常α = 0.05) 4、β是期望功效(通常β = 0.8) 5、Zβ和Zα/2针对给定参数的临界值α和β 固定值:α = 0.05时,Zα/2 = 1.96。β = 0.8时,Zβ = 0.84。【注册流程改版例子 】具体计算过程:(1)两个版本权重相等的情况 这里使用合并估计量作为方差。

如果我们不假设两个转换率的方差相等,则公式会略有不同,后边给出代入公式,得到最终的样本的公式:

我们来真实计算一下:1、注册转换率e1为50%,e2为60% 2、假设最小标准值为0.8的期望功效 3、显著性水平α为0.05

因此。每组(对照组和实验组)的最小样本量为385。(2)两个版本的注册转换率权重不等的情况 这种情况下,第一步,假设各组大小相等,计算总样本量;然后,可以根据两组实际比率k来调整此总样本量大小N,而修改后的总样本大小N ',可以通过下面公式来计算:

以上两组中,每个样本的样本大小分别为N '/(1 + k)和kN '/(1 + k)。4、方法二:使用假设性检验适用范围:
- 假设性检验本身可以对单个总体参数或者两个总体参数进行。
- 假设的内容可以是双侧检验。比如参数是否等于某个值,还可以参数是否大于或者小于某个值。
AB实验背景下,我们通常使用的是双总体双侧检验。具体实施 原假设:μ1=μ2 备择假设:μ1≠μ2构造统计量 条件:两个样本间 相互独立 且样本量大 我们实际进行两总体均值差是否为0的双侧检验

实际计算中,总体方差可以用样本方差代替,原假设的背景下u1 - u2 = 0,所以计算统计量z,所需要的数据都可以依据样本得到。还有假设两组的总体方差相等的情况,实际上,AB实验中并不常见。上图是概率密度曲线:
- 黄色是AA实验的均值差的分布,蓝色是AB实验(以指标提升为例)的均值差的分布。
- 两个红箭头分别标识 -1.96*指标标准差 +1.96指标标准差
- power 即 蓝色曲线在红色(右)箭头右侧的面积。
- delta是上图 蓝色的中轴位置,即 AB实验(以指标提升为例)的均值差的期望。
得出power的计算公式 power = 1 - norm.cdf( norm.ppf(1 - α / 2) - np.sqrt( sampleperversion * (delta * 2) / 2 * ( metric_variance * 2 ) ) )其中:cdf 累积分布函数,是概率密度函数的积分,能完整描述一个实随机变量X的概率分布。ppf 分位点函数 metric_variance 指标方差 delta 均值的差反推出样本量
sampleperversion = 2 * (norm.ppf(1 - α / 2) - norm.ppf(β)) * 2 * metric_variance / (delta * 2)
其中:ppf 分位点函数 norm.ppf正态分布的累计分布函数的逆函数,即下分位点。
alpha 默认5%,其中norm.ppf(1 - α / 2) = 1.96,norm.ppf(β)为映射值。
metric_variance 指标方差。
delta 均值的差。