战国末期尸佼曾经说过:“四方上下曰宇,往古来今曰宙.”“宇”指空间,“宙”指时间,“宇宙”就是时间和空间的统一,说明在2000多年前,古人就已经意识到了宇宙的存在。那个时候,人们认为天是圆形的,像一把张开的大伞覆盖在地上,地是方形的,像一个棋盘,日月星辰则像爬虫一样过往天空,这一学说被称为“天圆地方”说。

而随着科技的发展,人们对于宇宙的认识也在不断加深,借助探测仪器,科学家开始去探索宇宙的形状,那么宇宙究竟是一个什么样的形状呢,是否有边界呢?

关于宇宙形状的三种可能性
在以前,阿里斯塔克斯、亚里士多德及托勒密都曾提出过几个不同的天体学理论,但是最后都被*翻推**。在对宇宙认识的不断加深之中,奥伯斯提出了著名的“奥伯斯佯谬”:如果宇宙是无限的,并且恒星的数量也是无限的,而且是均匀分布的,那么黑夜则不复存在,因为你向任何一个方向望去,总能看到一个恒星。

这个问题也引来爱因斯坦的疑惑:宇宙究竟是无限伸展的?还是有限封闭的?
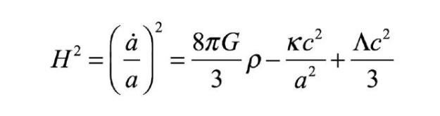
1917年,爱因斯坦向普鲁士科学院提交了一篇题为《广义相对论下的宇宙学思考》的论文,爱因斯坦通过求解广义相对论中的核心方程——爱因斯坦场方程,引入了宇宙常数项(Λ),建立了一个“静态、有限、*界无**”的宇宙模型:

引入宇宙常数前的爱因斯坦场方程

引入宇宙常数后的爱因斯坦场方程
方程的左边被称为爱因斯坦张量,描述了时空的几何,比如在不同的地方时空的弯曲是如何变化的。方程的右边我们看到的是一些熟悉的常数(比如万有引力常数G和光速c )乘以所谓的应力-能量张量,它包含了在时空中的东西(比如物质、能量和压力)的信息。
其中“静态”是从大尺度来考察,宇宙空间中的物质基本上是静止不动的;而“有限*界无**”是指宇宙空间是三维的,它的大小有限,根据广义相对论,物质的存在使得时空弯曲。在巨大质量的天体附近,光线不“走”直线,光线在这个空间中沿着弯曲路径传播,始终不会有它的终点,即这个空间没有边界。
爱因斯坦的宇宙学原理认为宇宙是均匀和各向同性的。他构造了一个有限无边的宇宙静态模型,认为宇宙可能是一个有限封闭的三维球面。

这篇论文的发表标志着现代宇宙学的诞生。

在爱因斯坦将宇宙学原理应用到宇宙学研究之后,宇宙的形状就受到了严格的限制。宇宙学原理要求宇宙空间每一点的地位都是平等的,所以宇宙空间不可能有很奇怪的拓扑结构——举一个反例,宇宙不可能长成自行车内胎这样,因为内胎外侧的点与内侧的点地位显然不一样。
后来,1922年苏联科学家弗里德曼重新求解了爱因斯坦的引力方程,认为爱因斯坦引入的“宇宙常数项”完全没有必要,而一旦去掉了宇宙学常数,那就是不要假设宇宙是静止的!

爱因斯坦、哈勃、弗里德曼
弗里德曼认为正如我们所观测到的,宇宙中充满了物质和辐射,并且是会弯曲的。他进一步假设,宇宙大致是各向同性(每个方向看起来都一样)和均匀(宇宙各处的特性都一样)的。
基于这些,弗里德曼从广义相对论的核心方程——爱因斯坦场方程中推导出了第一弗里德曼方程,从而对爱因斯坦提出的宇宙静态模型进行了修正。

方程的另一边包含了所有的物质、辐射和其它任何组成宇宙的能量形式。方程中也包含了空间固有的曲率,取决于宇宙是闭合的(正曲率)、开放的(负曲率),或平坦的(零曲率)。方程中也加入了“Λ”项,代表的正是宇宙学常数,它可以是一种能量的形式或者空间固有的性质。(在哈勃发现宇宙在膨胀后,爱因斯坦认为加入宇宙学常数是自己一生中犯过最大的错误。但自上个世纪九十年代天文学家发现暗能量后,人们才意识到宇宙学常数的重要性可能一直被低估了。)
这个方程告诉我们,宇宙并不静止,而是膨胀或者收缩(取决于宇宙的膨胀率和成分)。更重要的是,它们还能告诉我们宇宙在过去或者将来将如何随时间而演化。并建立了“弗里德曼宇宙模型”,认为宇宙的演化与宇宙物质的平均密度和临界密度有关,1929年,哈勃发现星系红移,观测到宇宙正在膨胀,从而证实了第一弗里德曼方程的正确性!

根据弗里德曼的膨胀曲线宇宙的形状会存在着三种可能性,即宇宙曲率分别为零、正和负时,宇宙所呈现的三种不同形态:如果宇宙空间具有正曲率,那么它是一个封闭的三维球面,也就是有边界;如果宇宙空间的曲率是零,那么它是一个无边无际的平坦三维空间,也就是平直的三维欧氏几何空间;如果宇宙空间具有负曲率,那么它同样没有边际,是一个弯曲的三维双曲面,像马鞍一样。

而如何测量宇宙的形状,一共有两种方法,其一是用几何的方法测量,其二是用密度的方法去界定。
而之前大多数科学家相信“平坦宇宙”的概念,也就是宇宙空间的曲率是零,也就是平直的三维欧氏几何空间。在平坦宇宙中,宇宙向各个方向延伸,没有边界,在整个宇宙范围内光是沿直线传播的,不围绕自身循环。
如果你没有办法理解的话,你就简单地把它理解为宇宙就是一张床单,它并没有边界。宇宙从边缘无限扩大,一直延伸到143亿光年,这是可见宇宙的最大尺度,至于143亿光年之外究竟是个什么样子,由于目前人类尚未掌握观测的方法,143亿光年之外的宇宙我们尚不清楚。

但是最新的研究成果却表示并不是这样。
最新研究,宇宙可能是个球,有边界
平坦宇宙的主要证据来源于宇宙微波背景(CMB)数据,由于科学家发现宇宙大爆炸之后至今,宇宙微波辐射基本上呈均匀状态分布在宇宙空间,因此,大多数科学家认为宇宙从空间模型上来说是平坦的。但是已经采集到的宇宙微波背景数据中也存在一些异常的现象,平坦宇宙无法解释这种异常。

比如,科学家已经注意到:一个用来发现遥远天体的“引力透镜”理论中,重力对空间的影响要比预期的大得多,这超出了现代物理学的解释范围,而弯曲宇宙的模型则能够对这个现象做出合理解释。
据外媒报道,发表在《自然天文学》杂志上的一项研究指出,宇宙空间可能不像已知的那样平坦,而可能是弯曲的,,而是像一个巨大的不断膨胀的气球一样弯曲,只不过由于是在宇宙的尺度上,因此,这个弯曲的程度不像人们思维中认为的那样明显。

研究人员检查了来自宇宙微波背景的数据,该数据是“大爆炸”的微弱回声,从而得出结论:宇宙不是平的。他们指出,如果你沿直线在太空飞行,最终你会回到起点,只不过这个弯曲的程度不像人们思维中认为的那样明显,这个想法被称为“封闭宇宙”。现在,研究人员在测量宇宙微波背景时得到了异常的数据资料,为封闭宇宙观点提供了坚实的(但不是绝对的)证据。
封闭宇宙则更像一个膨胀的气球。无论哪种情况,整个宇宙都在扩张,当气球膨胀时,其表面的每个点也离其他点越来越远,但由于气球的曲率,使这种远离运动的几何学更加复杂。

这意味着,如果有两个光子,当它们在一个封闭的宇宙中平行移动时,它们(最终)会相遇,但是在以前的“平坦宇宙”中,光子在不受干扰的情况下,会一直沿着平行方向运动,而不会相互作用。
而根据这篇最新的论文,科学家认为,如果宇宙从形状上来说是弯曲的,那么,这个弯曲的程度也是极其有限的,而且对于我们的生活、太阳系乃至银河系的运动来说,影响极其有限。
但是弯曲的宇宙模型则会产生一个意想不到的结果:如果你试图超越我们的银河系,穿过无边无际的黑暗空间,那么,你最终可能会回到当初离开的地方,这就是说,宇宙的模型,实际上是封闭的,而不是此前认为的无限平坦。

但是,如果宇宙是弯曲的,那将会带来许多问题,与其他早期宇宙的数据集和膨胀观测结果会相矛盾。如何去调节其中的矛盾,是目前科学家还在思索的问题。
