转自《国际糖尿病》
作者段:妍1 孙小蒙1 刘佳1 符静1 王广1※
1 首都医科大学附属北京朝阳医院 内分泌科 100020
※通讯作者
胰岛素分泌缺陷和胰岛素抵抗是2型糖尿病(T2DM)的主要发病机制。随着非糖尿病患者空腹血糖(FBG)升高,胰岛素早期和晚期分泌都降低[1]。早期胰岛素分泌在糖尿病的发生发展中起重要作用,它通过抑制肝糖原的产生、输出和胰高血糖素的分泌,降低餐后血糖[2,3]。早期胰岛素分泌峰值可以预测糖耐量减低(IGT)和T2DM的发生[4]。T2DM患者可能同时有超重和肥胖。肥胖导致胰岛素抵抗和胰岛β细胞功能障碍。正确评价糖尿病患者的胰腺功能,通过适当的治疗来保护残存的胰腺功能至关重要。而随着FBG的进展,体质指数(BMI)对不同血糖水平患者的胰岛素分泌的影响程度尚不清楚。首都医科大学附属北京朝阳医院王广教授团队发表的一项研究对此进行了探讨(J Diabetes Res. 2019; 2019: 6053604.)。下面,让我们一起来学习这项研究获得了哪些重要发现。

摘要
目的:研究肥胖与非肥胖初发T2DM患者在FBG升高过程中胰岛β细胞功能障碍的变化。
方法:纳入661例初发T2DM患者,采用75 g口服葡萄糖耐量试验(OGTT),计算胰岛素释放曲线下面积(AUCI0-180),计算胰岛素分泌早期指数(EISI,计算为ΔI30/ΔG30)。患者分为低、中、高FBG组。根据BMI,每组进一步分为体重正常、超重及肥胖亚组。
结果:不同FBG组的EISI、HOMA-β降低,HOMA-IR升高。中等FBG组中,肥胖亚组的AUCI0-180、EISI、HOMA-β和HOMA-IR均高于体重正常和超重亚组。中等FBG组中,BMI与EISI呈正相关;而低FBG组和高FBG组中,BMI与EISI无显著相关。
结论:初发T2DM患者在基础FBG逐渐升高的过程中,其胰岛β细胞功能及胰岛素抵抗均明显恶化。随着FBG的升高,肥胖对胰岛分泌功能有积极的影响。
对象与方法
1
研究对象
本研究共纳入北京朝阳医院内分泌科门诊就诊的661例(男389例,女272例)初发T2DM患者,年龄30~70岁,均完成OGTT。所有患者符合世界卫生组织1999年T2DM诊断标准。除外有急性心肌梗死、不稳定心绞痛、肾功能损害、肝功能损害、血液病、慢性缺氧性疾病和传染病病史的患者。
2
方法
所有患者测量身高、体重、腰围、收缩压和舒张压,BMI按体重(kg)/身高(m)2计算。实验室指标包括甘油三酯(TG)、总胆固醇(TC)、低密度脂蛋白胆固醇(LDL-C)、高密度脂蛋白胆固醇(HDL-C)和糖化血红蛋白(HbA1c)。采用75-g OGTT评价患者的胰岛素分泌功能和胰岛素抵抗。
应用OGTT结果计算胰岛功能相关指数:
- 空腹胰岛素(FIN)(μ/L)=0分钟血胰岛素浓度;
- FBG(mmol/L)=0分钟血糖水平;
- PBG(mmol/L)=120分钟血糖水平;
- β细胞功能稳态模型评估(HOMA-β)=20×FIN/(FBG-3.5)
- 胰岛素抵抗的稳态模型评估(HOMA-IR)=FBG×FINS/22.5
早期胰岛素分泌指数(EISI):
- ΔI30/ΔG30=(INS30min−FIN)/(Glu30min−FPG)
胰岛素分泌总量的测量:
- AUCI0-180=0.5×(FIN+INS30min)×30 + 0.5×(INS30min+INS120min)×90 + 0.5×(INS120min+INS180min)×60
3
分组
根据FBG的三分位数,将患者分为低FBG组、中FBG组和高FBG组(FBG<7.5 mmol/L、7.5≤FBG<8.73 mmol/L、FBG≥8.73 mmol/L)。比较三组的基线特征和胰岛素分泌指数。每组按BMI分为3个亚组:体重正常(BMI<24 kg/m2)、超重(24≤BMI<28 kg/m2)和肥胖(BMI≥28 kg/m2)组。
结果
1
不同FBG组的特点及胰岛素分泌功能
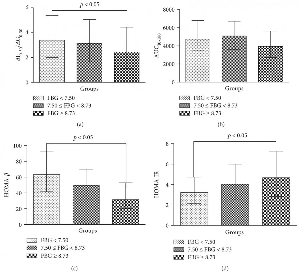
本研究总结了不同FBG水平三组患者的基线特征和胰岛素分泌功能。发现随着FBG增加,胰岛素早期分泌指数 [3.39(2.01 ~ 5.39)vs. 3.14(1.65 ~ 5.05)vs. 2.45(1.13 ~ 4.44)]及HOMA-β [63.25(41.49 ~ 92.87)vs. 49.44(32.12 ~ 69.97)vs. 31.56(20.15 ~ 52.83)]明显减低,HOMA-IR [3.23(2.16 ~ 4.74)vs. 4.04(2.50 ~ 6.00)vs. 4.68(2.84 ~ 7.27)]明显升高,胰岛素曲线下面积在中等FBG组比低、高FBG组高 [5084.63(3574.80 ~ 6710.10)vs. 4733.4(3522.1 ~ 6792.1)vs. 3944.10(2720.33 ~ 5618.78)],P值均<0.05(图1)。

图1. 不同FBG水平组β细胞功能比较
多元Logistic回归分析发现,在校正相关因素后,BMI≥28 kg/m2(OR 1.943;95%CI:1.207 ~ 3.128)、低FBG(OR 1.868;95%CI:1.274 ~ 2.739)与高EISI独立相关。

2
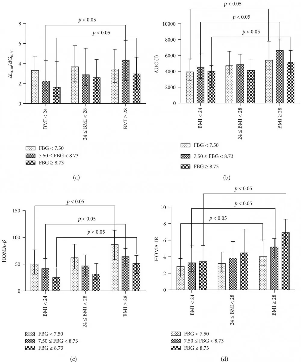
不同体重指数亚组FBG的特点及胰岛素分泌功能(图2)
在低FBG组,随着BMI升高,AUCI0-180[3936.75(2815.13 ~ 5564.33)vs. 4714.95(3540.45 ~ 6529.05)vs. 5394.00(4194.90 ~ 7799.10)]、 HOMA-β [50.00(31.27 ~ 76.72)vs. 62.02(41.34 ~ 87.62)vs. 86.81(58.42 ~ 113.41)]及HOMA-IR [2.83(1.54 ~ 3.80)vs. 3.18(2.18 ~ 4.57)vs. 4.02(2.91 ~ 6.04)]均明显升高(P<0.05)。早期胰岛素分泌无显著差异。
在中等FBG组,随着BMI升高,EISI [2.26(1.32 ~ 4.33)vs. 2.88(1.81 ~ 4.54)vs. 4.33(2.31 ~ 6.32)]、HOMA-β [41.77(24.91 ~ 60.66)vs. 46.80(26.22 ~ 67.30)vs. 64.24(46.36 ~ 79.44)]、HOMA-IR [3.27(2.20 ~ 5.32)vs. 3.84(2.26 ~ 5.84)vs. 5.18(3.73 ~ 6.20)]及AUCI0-180 [4479.00(3085.20 ~ 6195.90)vs. 4856.25(3506.70 ~ 6165.45)vs. 6631.35(4770.68 ~ 8067.00)]均明显升高(P<0.05)。而且,BMI与EISI呈正相关(OR 0.566;95%CI:0.330 ~ 0.970)。
在高FBG组,随着BMI升高,HOMA-β [25.07(15.33 ~ 42.92)vs. 31.48(21.60 ~ 51.42)vs. 51.32(32.56 ~ 66.47)]、HOMA-IR [3.41(1.89 ~ 5.35)vs. 4.48(2.76 ~ 7.35)vs. 6.92(5.31 ~ 8.54)]及AUCI0-180 [3994.95(1945.58 ~ 4722.64)vs. 4114.20(2972.03 ~ 5557.76)vs. 5171.85(3669.45 ~ 6633.30)]均明显升高(P<0.05)。
图2. 不同FBG水平组中不同BMI亚组β细胞功能比较
讨论
本研究发现,T2DM患者在基线FBG进展过程中,β细胞功能下降,提示T2DM患者随着FBG的进展,胰岛β细胞代偿能力变差。胰岛素分泌缺陷和胰岛素抵抗是T2DM的主要发病机制。Belfast Diet研究表明,67例新诊断T2DM患者饮食控制治疗6年内,β细胞功能下降对T2DM发病起着更大的作用。这项研究虽在治疗上较保守,但发现胰岛素抵抗与胰岛β细胞功能障碍在糖尿病自然进展中的关系[5]。同样,UKPDS研究显示,胰岛素敏感性在新诊断糖尿病患者中保持不变,而糖尿病的进展性是因为β细胞功能持续下降[6,7]。
本研究将EISI作为评价β细胞功能的重要指标,并发现T2DM患者的EISI随着FBG的升高而降低。胰岛素释放的第一阶段反应降低是直接关系到糖尿病发展的一个重要指标,当空腹血糖超过115 mg/dl时,胰岛素释放的第一阶段反应持续消失[8,9]。先前对正常糖耐量(NGT)、IGT和T2DM患者的研究表明,T2DM组的EISI显著低于NGT和IGT组,胰高血糖素样肽1(GLP-1)的分泌与EISI呈正相关[10]。Jensen等人[11]还发现,IGT与EISI降低有关,并且不同种族人群中在调整了胰岛素敏感性后(EISI/HOMA-IR)也发现了这一点。与当前研究相似,Kim等人在韩国进行的另一项横断面研究表明,EISI随着HbA1c值四分位数的增加而显著降低,HbA1c的升高与早期胰岛素分泌受损有关[12]。然而,与以往的研究不同,我们的研究检查了新诊断T2DM患者,并评估了FBG升高过程中,β细胞功能障碍的潜在差异。
本研究发现,随着BMI的增加,患者的AUC(I)、HOMA-β和HOMA-IR均显著增加,且EISI与BMI呈正相关,提示肥胖糖尿病患者胰岛素代偿分泌功能较非肥胖患者明显增强。特别是在中等FBG水平下,肥胖对胰岛功能障碍有积极的影响。肥胖是胰岛素抵抗的重要因素之一,而胰岛素抵抗又是肥胖和T2DM的致病基础[13,14]。许多研究表明,肥胖者的脂肪组织通过释放非酯化脂肪酸、甘油、瘦素、脂联素和促炎细胞因子,导致胰岛素抵抗和其他代谢功能障碍,通过不同的机制干扰胰岛素信号转导途径,下调胰岛素受体底物的基因表达[15-18]。一项在日本糖尿病前期受试者中开展的研究[19]表明,肥胖受试者的胰岛素敏感性低于非肥胖受试者,且EISI显著高于非肥胖受试者,而两组间处置指数(EISI/HOMA-IR)无显著差异。

结论
初发T2DM患者在基础FBG进展的过程中,其胰岛β细胞功能及胰岛素抵抗均明显恶化。随着FBG的升高,肥胖对胰岛分泌功能有积极的影响。而且,FBG在中等水平时,肥胖对胰岛素早期分泌起着积极作用。