转自作者: 抖音 17th B站 17THH
1.一分钟攻略
作为一个快餐的时代,我知道不是所有打开这个页面的人都想认真了解关于MS的一切,所以有了一分钟攻略,专门为那些对牧师不是很了解,或者当小号玩的朋友所准备。
第一步,天赋用戒律

第二步,大雕文用【盾】【苦修】【治疗祷言或者快速治疗】,盾和苦修必带,后面的二选一。小雕文带个【暗影魔】,【渐隐】,其他随意
第三步,附魔宝石配装
多彩用21智力回蓝,其余宝石红加法伤,黄加智力,蓝随意怎么高兴怎么来
头用龙眠声望附魔,肩膀铭文/霍迪尔之子声望附魔,披风附魔智慧,胸甲全属性,手腕法伤,*器武**法伤,手套法伤,裤子魔线,鞋子海象人活力或者加精神。
装备穿物品等级高的,同等级穿法强高智力高的,急速全身装备加宝石凑154。
少蓝加智力,不少蓝加法伤。
第四步,肉药蜡烛
食物随你,缺急速吃急速,不缺吃法伤,一般有人放大餐,去吃就行
吃冰龙合剂,缺蓝的话吃小药,吃智力守护药剂
第五步,进本加血
加耐力加精神加暗抗上心灵之火,对这个技能现在加法伤了,记得补。愈合导言CD好了就用,没事就给人套盾,给单加目标套盾出灵魂虚弱,然后苦修,快速。
如果群体大掉血就用治疗祷言,对这个技能现在可以跨队伍了。没蓝了暗影魔,圣歌。
第六步,WCL100分操作指南

----------全文完---------

那如果你想知道的比上面多一点点,那么以下是对80级牧师的数理研究。所有的数据都在BETA服务器实际测试。原始数据表格连接如下:
17th BETA牧师数理测试
那么正文现在开始
2.技能天赋种族
2.1技能
在这里我们进行讨论和研究的技能有
固定数值瞬发类:【盾】【恢复】【愈合导言】
浮动数值读条类:【快速治疗】【强效治疗术】【治疗祷言】
天赋技能类:【苦修】【环】
有4个技能会被使用到但是没有被测试和研究分别是【神圣赞美诗】【联结治疗】【绝望导言】【神圣新星】
赞美诗是一个8分钟CD的技能,这个技能有极高的蓝耗和大量的治疗,应该被绑定和心灵专注一起使用,因此不对他进行过多研究。就是一个类似智能的宁静。
其次是【联结治疗】,这个技能是会被频繁使用的(如果自己受伤的话),且这个技能是跟快速有区别的,享受神圣系天赋神圣眷顾加成10%,不享受治疗增效加成,但总归也不是一个会一直使用的技能,大部分时候还是使用快速的。
【绝望导言】和【神圣新星】使用的非常少,且使用这两个技能时都带有特殊的目的,所以也就不进行研究讨论了。重点关注构成牧师加血治疗量的几个主力技能
需要特别注明的是:讨论的所有技能都没有计算暴击。这使得一些技能看起来很强,例如无法暴击盾,可实际情况是加上暴击的概率,其他技能会有很明显的HPS提高。之所以没有讨论暴击情况,是因为作为治疗,暴击很容易导致过量,所以很难界定暴击到底有多少收益,这点跟DPS不一样。而过量问题是完全因人而异,因手法因BOSS而异的。但在属性价值计算中则讨论了暴击和过量,因为很多天赋价值是直接和暴击相关的。
2.1.1技能法伤成长性公式
了解技能的第一步是明确每个技能能加多少血,而加血量显然是一个随法伤(sp)变化的函数,每个技能都有自己的系数(e)决定了一个法术的成长性和常数C也就是0法伤时的基础加血量。
治疗量 vs 法伤函数

在WLK版本中,系数e根据不同的法术种类进行区分,具体机制如下表所示

table1. 法术列表系数表
需要注意的是,治疗祷言这个技能的施法时间是3秒,但实际的计算公式却是按2秒计算的,按照2秒计算的结果吻合了实际测试结果,具体原因未知。
由此,得出以下的技能治疗量公式表,在BETA服务器实测后数据吻合公式,唯一例外就是上面提到的治疗祷言。改成2秒计算后吻合公式。

table2. 技能法伤成长公式
以戒律天赋为例,急速在天赋的加持下达到50%软上限,即GCD从1.5降到1。在这个情况下,各技能的HPS公式如下

table3. 技能50%急速下HPS成长公式
需要注意的一点是,环是神牧天赋技能,神牧想要达到50%急速是不那么容易的。这些技能主要是依靠戒律天赋和团队BUFF的急速加成。
需要提醒一点的是,这都是无天赋,无铭文加持下的原始治疗技能数据,很显然我们实际战斗中肯定是有天赋有铭文的。但这个表格是基础,由此可以计算出天赋的价值,得出一些具体的数字,而不是像NGA上的发言:“我觉得A天赋比B天赋好,理由是……我觉得……好多少?好一点”
2.1.2 技能的蓝耗
80级修改了技能的蓝耗机制,首先给了每个职业一个基础蓝量,然后每个法术有一个基础蓝耗数字。用这两个数字,可以计算出无天赋状态下每个技能的蓝耗

table4. 职业基础蓝量表
一个80级的牧师,基础蓝量basemana=3863,所有的法术蓝耗都根据这个数值来计算。
总蓝量则是按照下面的公式计算

不同级别的法术统一蓝耗,除了戒律牧需要对盾降级施法以外,其他法术已经不存在等级问题了。

table5. 牧师技能蓝耗表

精神敏锐降低瞬发法术蓝耗10%,增益技能【盾】、【恢复】、【愈合】、【环】
需要专门说明一点的是,【苦修】这个技能在WLK的法术分类判断中非常有趣,按理说这个技能属于一个引导法术,但苦修是享受双生戒律这个天赋增益的,也就是被归类到了瞬发法术里,但苦修又不享受精神敏锐,我猜测WLK的天赋技能模块工程师可能是被企鹅光波击中了脑袋。
精神敏锐这个天赋需要专门说一下的是,这个天赋是神牧可以出的天赋,但是要损失加治疗量的深神圣系天赋。所以一般神牧都是放弃了,毕竟蓝吗,叫一叫激活总会有的。

盾在精神敏锐+灵魂守护下蓝耗从888变成666(好强的数字)


跟快速相关的有2个,一个深戒律系的强化快速,把蓝耗从695降到591
另一个是雕文,把蓝耗从695降到626,两个一起用降到521。这个雕文是一个戒律神圣都可选的雕文。

这个天赋需要重点说一下,就是他虽然写起来降低一堆法术的蓝耗,但其实只有一个强效治疗术。神圣赞美诗这东西蓝耗过于恐怖,CD8分钟肯定和心灵专注绑一起用了。戒律出苦修之后如果想出强化治疗术,就需要舍弃好多深戒律天赋,众所周知深戒律8到11层全是宝贝,所以戒律虽说可以用这个来降低苦修的蓝耗,但是实在不值得。综上,这3点天赋唯一的作用就是把强效的蓝耗从1236降到1051

这个天赋会将愈合导言蓝耗从579降到463,治疗祷言蓝耗从1854降到1483。但还是刚才的问题,神圣天赋从第五层开始都是增加治疗量的天赋,所以一般都被舍弃了。到天赋环节我们会具体讲述。
2.1.3 技能铭文
戒律铭文
戒律必选的铭文是【盾】和【苦修】


可选的是快速/治疗祷言,这个选择方法主要看治疗场景,大量团队AOE则选后者,大量单体伤害则选前者,有蓝压力选前者降低蓝耗,没蓝压力选后者提高HPS
神牧铭文
神牧必选的铭文是【治疗之环】

可选的是守护之魂,治疗祷言,快速治疗3选2


这里需要专门说一下这个恢复雕文

恢复这个技能本来15秒,跳5次,3秒一次。这个雕文说提高治疗量25%,缩短3秒,就是变成跳4跳。看起来好像很合理,恢复量没变时间缩短了。但实际计算公式不是如此的。

这是有天赋没有雕文情况下恢复5跳总计治疗量的计算公式

这是有天赋没有雕文情况下4跳总计治疗量的计算公式

可以看到治疗量反而是下降了,顺便说一下,恢复增效所带来的瞬发加血不受雕文的影响,依旧是有天赋无雕文治疗量的15%
唯一能想到的治疗场景就是随机DEBUFF,需要尽快抬血。总而言之,这是一个HPS不升反降的雕文,具体也只有4T9恢复牧有可能会使用吧。
小铭文
牧师的小铭文不多,说句实话都没什么大区别
推荐使用渐隐(渐隐蓝耗-30%),暗影魔(暗影魔死了给你回5%),最后一个实在是随意了
需要锁怪的话可以上一个锁怪+5码,如果是竞速可以上个暗抗延长10分钟。
2.1.4 降级施法
80级不同级别的法术统一蓝耗,所以除了戒律的盾已经不存在降级施法了。戒律为了确保破盾回蓝,因而需要准确选择不同等级的盾,从而达到即【毛了最多的治疗量】又【破盾回蓝】的目的。下面是盾的降级施法公式列表

table6. 盾降级施法公式
可以看到10级一下的盾基本没有什么意义了,大概到10级有个2000左右的治疗量。
2.2天赋
2.2.1戒律天赋

fig1.戒律天赋图
这就是WLK戒律牧的天赋,右边神圣系说实话怎么点都可以,也有人把深戒律的【新生希望】或是【恩赐】减一点拿到神圣那边凑个5/5点满的,这种赌脸型选手怎么说呢,给你表演个企鹅光波吧。

戒律天赋的核心是【灵魂守护】+【全神贯注】+【争分夺秒】,这3个天赋构成了戒律生生不息的回蓝模型,具体会在5.1章节讲到。戒律并没有太多值得商榷的天赋,从8层到11层全是含金量极高的天赋。
需要说明的是,有人觉得【专注意志】给3%暴击没有用,转到神圣系去加【强化治疗术】给苦修减蓝耗。但这样做会同时降低【神圣庇护】和【灵感】的触发几率。总的来说苦修并不是一个特别耗蓝的技能,而且带有CD,戒律只要做好【全身贯注】的破盾回蓝触发,蓝并不是问题。所以我个人是不推荐这么点的。
同时神圣之怒这个天赋基本没人点了,因为戒律实在是不怎么会用到强效治疗术。
以此天赋为准,计算一下不同法术受到的增益情况

table7. 戒律天赋技能收益表
盾
盾这个技能享受【双生戒律】+【强化盾】+【能量集中】+【争分夺秒】4个天赋加成,外加还有一个盾铭文,直接治疗20%
盾的计算公式如下:

盾雕文的计算公式如下:

不知道有没有人注意到,在盾计算公式中,能量集中和双生戒律一起加和计算(绿色加和),而盾雕文中能量集中和强化盾一起计算的(蓝色加和)。实在不理解这种匪夷所思的公式是如何设计出来的,可能当初的铭文程序员和天赋程序员是来自两个部门的……
盾这个技能的最终加和公式如下:

苦修、愈合
这两个技能享受【双生戒律】和【能量集中】的收益,乘积关系(对你没看错,苦修就是享受双生戒律这个瞬发法术收益)
愈合公式

苦修公式

快速、强效、治疗祷言
这3个技能都只享受【能量集中】这一个天赋收益
快速公式

治疗祷言公式

强效公式

恢复
恢复享受【双生戒律】、【能量集中】和【强化恢复】的收益(如果点了的话)

戒律天赋技能总结
现在我们以上面的戒律天赋,2000SP,50%急速做为一个例子,来看一下完整的戒律天赋下各个技能的HPS情况。需要说明一下的是由于没点【神圣之怒】所以强效是3秒读条,经过50%急速加速到2秒。

table8. 戒律技能HPS表
根据这个列表,可以得到以下结论,用来指导实际戒律的加血手法,需要注明的一点是,盾不会暴击,但盾的雕文效果可以暴击。而苦修是受暴击率加成的,戒律牧在团本BUFF加持下会有30-40%的暴击,所以经过暴击修正后,苦修的HPS是大于盾的。同样的也适用于后面的神牧恢复天赋。上表的所有技能都是无暴击下的HPS。
- 盾是HPS极高的技能,而且没有CD,而且不会过量,而且其他治疗都只能等盾没了才能喝汤。玩过TBC的环牧吗?懂了吗?

- 5人治疗导言>盾>4人治疗祷言>>快速
- 单加最强的技能是苦修
- 愈合导言1跳<快速<<愈合导言2跳<苦修<盾,愈合但凡能3跳,就是最强的技能
- 给目标盾>给目标恢复,而且盾不会过量,只能被浪费
- 快速强效都很弱
2.2.2神牧天赋

fig2.神牧天赋图
神牧的天赋差别很大,以至于产生了2个不同的变种,并且两种不同的天赋会使用不同的技能。所以干脆就分开进行讨论了。首先要说明一下,神牧的回蓝依靠精神,且由于TBC过于强大的回蓝能力,暴雪在3.0大砍了精神回蓝几乎50%,然后又在3.1版本中再砍了60%,这就导致当我们用3.3.5的天赋回蓝公式去穿初级装备打T7的话,神牧的蓝完全不够用。因为当初3.3.5版本的计算公式就是为后期神牧设计的。
所以可能要到ICC版本精神数值高了之后,神牧才能开始好玩。当然如果你有N个激活的话,那你怎么都行。
众所周知,神牧最强的技能就是环了,鉴于TBC版本环过于强大的表现,现在暴雪给环加上了一个6秒CD,标准的教玩家玩游戏行为。你精神高了蓝用不完一直环是吧?好,现在你没有了。
所以WLK版本的神牧有了一套新的机制,首先呢,环和愈合导言肯定还是优先使用的,在CD之后,就需要利用【圣光涌动】和【好运】这两个天赋了。
通过圣光涌动来刷额外快速,通过好运来给后面的长度条技能加速,例如治疗祷言。这些技能构成了一套基于环+愈合和快速+治疗祷言+强效治疗的加血模式

table9. 神牧天赋技能收益表
在神牧天赋中,共有5个治疗量增益天赋,【精神治疗】【神佑之韧】【神圣眷顾】【治疗增效】和【双生戒律】
环、愈合、盾
这3个瞬发基本一样,环和愈合作为神牧的主力技能,享受的加成天赋最多,分别是精神治疗的10%,神佑之韧的3%,神圣眷顾的10%和双生戒律的5%
盾这个技能虽说神牧不会拿来当主力技能,但也必定会用到。经过测试有一些比较诡异的发现。
盾这个技能只受到精神治疗的收益,而神佑之韧对盾不生效。
如果给盾插上雕文,发现盾雕文只受到神佑之韧的收益,精神治疗对其不生效。

我得专门声明一下,正是由于我一开始发现的脑残设计,导致我开始对游戏里的一切说明性文字保持怀疑,最终对所有WLK的内容进行了逐一测试,进而发现了不少类似的问题。虽然工作量大大增加了,但最终的成果就是这份牧师教程,使得我终于有机会对游戏机制有一个正确的理解了。
言归正传,先来看环

经过测试迷之设计又来了,为什么神佑之韧这个天赋会单独结算,不知道,可能设计师觉得他厉害吧。所有神圣系天赋互相发生作用时候,这个天赋都是最后单独结算的。
愈合祷言公式

盾由于不是主力技能,就不为环牧做盾的数据分析了(懒病犯了)。
快速、强效
这里两个技能受到精神治疗、神佑之韧和治疗增效三个天赋加成
快速治疗公式

强效治疗公式

治疗祷言

这里需要专门说一下治疗祷言铭文,这个铭文的描述上写着:

那我们首先排除20%,实测下来果然不是,实际是20.6%。也就是说,出于某种不为人知的奇怪机制,导致这个铭文在治疗祷言已经结算过神佑之韧之后,再次结算了一次神佑之韧。20% X 103%=20.6……
所以最终治疗祷言的总收益是:

神牧天赋技能总结
现在我们以上面的神牧天赋,2000SP,20%急速做为一个例子(团队BUFF9%,自己有个300多急速就差不多加起来20%),来看一下完整的神牧天赋下各个技能的HPS情况。默认环加了雕文环6个,祷言一队5个(不包含宠物),使用治疗祷言铭文

table10. 神牧技能HPS表
还是之前的那句话,这些技能都可以暴击,在团队BUFF下暴击率能达到30%-40%,暴击会提供非常可观的HPS,但同时也要注意会带来大量的过量
- 环是最强的技能
- 其次就是治疗祷言,通过好运加速的话,治疗祷言比环还强
- 愈合导言2跳就很好了,3跳血赚
- 经过系列天赋加强后的快速、强效依然弱
通过这些数据,对天赋进行反推,来算一下我们为了强效治疗和快速治疗投入了多少:
2层天赋5点给强效降了0.5秒施法,4层天赋3点给强效降低15%蓝耗,8层天赋5点给强效和快速增加法伤收益。
总共投入了13点天赋,其中有5点快速能享受,剩下的全是给强效这一个技能投入的。
且,神牧有多少机会去用强效呢?神牧会去刷T吗?事实上玩过神牧的人都知道神牧基本不怎么用强效治疗术这个技能……因而在4T9加持下,出现了舍弃强效,转用恢复的恢复流派
2.2.3恢复天赋

fig3.恢复天赋图
这个天赋是放弃了对强效治疗术的这些低效投入,转而投入到了恢复这个技能上。主要核心思路依旧没有变,还是以愈合、环为主,快速好运治疗祷言,但对于空档期技能的填充,更多使用恢复。这个天赋去掉了治疗增效5点,圣光涌动2点,使得快速治疗的收益收到影响,转而投入在了强化恢复、恢复增效、和精神敏锐上。精神敏锐本身对环和愈合祷言(还有渐隐盾等等用的少不说了)也有收益。
当然如果你想两者兼顾也可以。依旧把治疗增效5点加上,保持快速的有效,然后降低一些恢复的增益天赋比如舍弃精神敏锐,完全看自己,都可以。毕竟缺不缺蓝这事是因团而异的。
这个天赋下其他技能都没有变,唯一变化的就是快速强效和恢复,鉴于这个点法肯定就完全不用强效了,快速就少了0.2的系数,所以我就重点做一下变化最大也是要大量使用的这个恢复进行测算。

这个公式在前面说恢复雕文的环节已经推导过了。此外恢复增效还给恢复这个技能有一个15%的瞬发加血,猜一猜这一次说明写15%实际是多少?实际就是15%,怎么样,惊不惊喜意不意外。竟然和说明一模一样,都给我整不会了。所以最终恢复的全收益公式是:

跟前面的天赋一样,用2000SP,20%急速做为模版

table11. 恢复牧技能HPS表
这个数据看起来很美好,比3K多的快速和4K多的强效高多了。但是需要注意的是恢复的实际过量情况也比快速和强效高多了。总之,这两种天赋各有各的优点,各有各的问题。神牧就是在一刀一刀中变成如今这个怎么点都不舒服,怎么点收益都不高的样子。主力使用的技能没有专属的增益天赋,一堆增益天赋全都是给不怎么用的技能设计。出现这种结论肯定是由于我的游戏理解远远没有达到设计师水平的原因。



2.2.4优劣
其实相信看过上面的计算,应该已经对这3个天赋有一个比较明确的认识了。我一向对NGA那种凭感觉就能把神牧和戒律吵一个版本的地方充满敬畏,比动物世界还要精彩。我就不一样,我直接说结论
戒律 > 神牧
这条结论在大部分情况都适用,除非你单奶25人团,那戒律确实不如神牧好用。
优点
经过了TBC版本的磨练,我相信绝大多数治疗都应该有一个比较清楚的认知,那就是加的多没用,不可替代性才是维持团队地位的根本。TBC环牧加的多不多,还不是要N个萨满开嗜血。WLK版本各个治疗都经过了优化,说实话,都是全能多面手,谁都能加T谁都能加团,区别就在于对团队的特殊贡献上。那么戒律就在此有一个独一无二的优势:错峰治疗
众所周知,暴雪设计了十几年的BOSS,技能伤害模型就那么几类:
A单体大量,一般打T,例如帕奇维克,血沸
B群体小量持续伤害,例如菲米斯,背景AOE
C群体大量尖刺-无伤害-群体大量尖刺,比如鸡蛋,火花一出疯狂掉血,火花没了平安无事
D随机几个人大量伤害,例如各种点名DEBUFF
所有BOSS翻来覆去就是这几个技能的组合,一个有经验的治疗只要对ABCD伤害比例做出判断就很容易把这BOSS归类到一种熟悉的打法里。一个版本一个治疗职业是否强势也完全看这个版本的BOSS的ABCD是怎么组合的,比重是多少。
那么简单分析一下,
A这是属于奶骑的领域,不好意思,不是针对谁,奶骑觉得在座各位都是垃圾。
B这个是个治疗都能干
C这是属于戒律的领域,不好意思,不是针对谁,戒律觉得在座各位都是垃圾。
D这个属于治疗链,不过奶萨能不能进本要增强说了算。其他治疗也没有特别明显的优劣。

fig4.蜘蛛3承伤曲线
蜘蛛3,一场典型的A+C型伤害BOSS
戒律能够统治C的主要原因就是盾这个技能机制。上面技能已经分析过了,盾是一个戒律极高HPS的技能,且盾是可以给玩家满血情况下预存治疗量的。也就是说,通过对未来伤害的准确判断,戒律牧可以利用伤害波谷时间给团队铺盾,从而达到治疗伤害波峰的效果,即错峰治疗。从而大大降低了群体尖刺的危险,平滑了团队掉血的曲线,从凹凸的离散线,变成了正弦的平滑线,这是戒律独一无二的优势,其他治疗就算能靠橙锤等效果出一些盾,但也没有任何职业能像戒律一样大范围高HPS的给全团预存血量。
其他的团队手牌之类的每个职业都有,你有压制灌注,神牧有天使,小德有战复,这些没法量化。不做讨论
缺点
简单一句话,不会预判伤害没法玩。BOSS休息你休息,BOSS大招打出来了,你想套盾也晚了。优秀的戒律依靠对伤害的预判套盾可以通过【全身贯注】这个天赋源源不断的回蓝,一堆盾同时被一个技能打破是能回N个2.5%的,菜鸟戒律就只能12秒回一个2.5%了。这差距天上地下。假如是一个只会看着框架打地鼠谁掉血加谁的治疗,那还是别玩戒律了。去按环把,更适合一点。当然如果你蓝无限,那这就都不是缺点了,你可以把键盘铺满盾,然后用脸滚。
第二个缺点就是一个团不能有2个戒律,原因也很简单因为盾有一个灵魂虚弱DEBUFF,一个人没法上2个盾。因此2个戒律不但没必要,而且非常不利于团队和谐,带过团的都懂。
2.3种族
联盟人类、德莱尼。部落血精灵、巨魔(然而我是暗夜精灵)
人类精神被削弱到3%,戒律对这3%精神没啥收益,不过人类天生多一个章这个在很多BOSS到是有妙用。德莱尼到了WLK不管物理和法系了都加1%命中,但由于WLK不像TBC每个队伍都必定有一个德莱尼萨满,所以除非你的队友能10人/25人随时根据队友换配装宝石,不然大概率他们会做一套多1%命中的配装。总的来说10人有时有用,25人基本没用。
德莱尼牧师还有一个纳鲁的赐福技能,可以瞬发加血,加血量等于(50+15/等级),这个技能受到玩家的法伤/攻强收益增强。且这个技能不耗蓝,也就是说可以用来维持OO5SR。
联盟牧师种族天赋都不怎么出彩,值得说一下的是,暗夜牧师可以用影遁来代替渐隐,这个技能不耗蓝,星落打输出。
如果一定要选的话,用人类。
部落血精灵奥术洪流不用叠层数了,直接就能回蓝6%,蓝越多越强。很实用,且好看。
巨魔牧师依旧是最强牧师种族,狂暴可以和长度条技能一起配合使用,比如赞美诗,HPS爆炸,但是丑。巫毒步主要是PVP用的,PVE没太大用。
给大家贴一张noobs当年60级NAXX的牧师组合影,来说明一下种族的重要性:

fig5.PVE顶级团队对MS种族的超高理解
2.4商业技能
2.4.1 工程学
工程不必多说了,没了工程这游戏感觉少了很多技能。从60级开始工程就基本是必备技能,无论是为了竞速,还是为了游戏的乐趣,工程都是第一选择。80级工程可以在达拉然使用拍卖行,可以使用随身小管家,可以用侏儒*刀军**复活别人,可以虫洞传送器,做工程头,喝大蓝增加回蓝,火箭鞋加速,手套施法加速绑定赞美诗,腰带扔*弹炸**,丢假人保命等等等等……我一直觉得工程是这个游戏技能树的一部分,所以80级工程是一个必选项
2.4.2 珠宝
珠宝的收益是3颗珠宝大宝石,以法伤石头为例,珠宝的专属宝石+39法伤,P1的红宝石+19法伤,P3以后的红宝石+23法伤。
也就是说P1珠宝的收益是 60法伤,P3以后是48法伤
对比一下锻造可以给手套和护腕打孔,2个孔在P1是38法伤,P3以后是46法伤
制皮是手腕附魔76法伤,普通附魔30法伤,收益是46法伤
铭文是肩膀,收益也是46法伤
附魔就直接戒指附魔,也是46法伤
综上,珠宝在P1是远大于这几个,P3之后依旧大于,不过大的不多。珠宝还有一个好处是可以灵活的调整可需要的属性,比如换插其他的大宝石。
2.4.3 裁缝
最后单说一下炼金和裁缝
炼金是吃合剂多46法伤,跟其他职业持平,合剂持续时间翻倍,省钱技能。看个人需求
裁缝多的是披风附魔,披风附魔有2种
黑光刺绣:内置CD60秒,回400蓝,可以折算为33.3MP5
亮纹刺绣:内置CD60秒,法伤295持续15秒,可以折算为74法伤
披风治疗一般的附魔是智慧,降低仇恨,10精神,所以裁缝的收益也非常可观
和珠宝进行对比的话,裁缝的灵活程度不如珠宝,且触发类不可控不是很好利用。但如果双修暗牧的话这个亮纹是可以用来卡快照的。
总的来说,珠宝和裁缝都是可选项,珠宝P1P2优势明显,裁缝能做不少装备。所以工程搭配珠宝/裁缝任意即可。
3.属性机制
我将牧师的属性分成2类,治疗属性(法伤、暴击、急速)和回蓝属性(智力、精神、MP5)属性内部是存在转化和等价价值的。(智力也能转暴击,神牧精神也能转法伤),跨种类往往需要依靠自己判断,简单说就是缺不缺蓝,如果不缺蓝,则回蓝属性价值等于0。而是否缺蓝这问题因团而异,因BOSS而异,因治疗数量,减伤措施,治疗手法而异,小怪战斗G团不缺蓝竞速团缺,BOSS战斗反过来竞速团不缺G团缺,所以只能自己把握。
在测算属性的过程中由于变量太多,需要锁定一部分数值才能得出属性的公式,因此使用了2个T9牧师作为模版,部分属性是复变函数(例如回蓝属性之间),我在最后也会对变化规律给出公式,但毕竟这不是个数学论文,绝大多数人还是需要一些简单结论即可。
用以下作为测试模版:
戒律牧1741智力1166精神 2774法伤
神牧1417智力1272精神 3096法伤
都默认95%的战斗时间处于5秒回蓝之内,即只有50%的MP5回蓝。
神牧的神圣专注覆盖率48%,大概需要团队战斗中满BUFF下爆击达到35%。
神圣专注的回蓝100%处于5秒回蓝之内。
默认30%过量治疗,50%的暴击会导致过量治疗
神圣庇护70%生效
圣光涌动90%生效
需要说明的是这些假设都是根据一些LOG来测定的,但是具体到每个人显然是不准确的,每个人治疗手法千差万别。所以如果有人对此提出质疑,那你说的对。
3.1治疗属性
急速
32.79=1%急速
团队战斗中一般会有两个BUFF提升急速
惩戒骑/鸟德会给3%急速,空气图腾会给5%急速
对于戒律来说,天赋配合这两个buff很容易就能达到50%急速软上限,之后再提升急速依然有收益但是很小,对于主要施法技能来说都已经达到了GCD上限。对于神牧来说则是持续的提升,跟TBC一样,随着治疗量不断提升,神牧的急速属性价值会不断上升。

table12. 急速表
戒律只要154急速就够了,这是一个很好的消息,因为带急速的装备一般都很贵。

然后我们来算一下急速和法伤的转换价值。需要注意的是,急速的法伤价值显然不是一个常数,法伤越高,急速的法伤价值越高,但考虑到2点我就将其常数化了:
- 这属性只有神牧用
- 神牧基本只在T9级别出现
所以直接拿一套T9装备的牧师来测算应该是比较吻合实际了

用两个模版牧师的天赋,带入实际施法进行计算,可以得到增加1点急速等级带来的额外治疗量,同时根据法术法伤计算公式,也可以得到增加1点法伤带来的额外治疗,由此,得到急速和法伤的转化比例

但与此同时由于急速加快了施法,所以会带来一个MP5的损失,即急速越快泄蓝越快,相当于一个MP5的debuff,

但我不打算将这两者混在一起计算,如同上面说的,是否缺蓝,这需要玩家自己判断。
暴击
45.91暴击等级=1%暴击几率

治疗技能暴击会带来150%的原始治疗量,这里我们还是使用模版,技能使用快速治疗来进行测算。并且将过量考虑进来,测算一下1点暴击等级的增加等效于多少法伤的增加。

神圣庇护
神圣庇护这个技能也会给目标身上套一个盾,当和真言术盾同时存在时,数值小的盾会先破。

圣光涌动
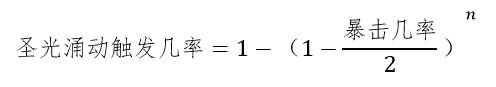
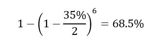
圣光涌动触发几率公式

这里n是触发机会的数量。比如用联结治疗的话n=2,用环的话n=6。
例如35%暴击几率,用一个环的话,触发几率为

圣光涌动是一个跟暴击相关的MP5省蓝天赋。带来的免费快速治疗无法暴击,因此从50%变成33%等效。

灵感
灵感这个技能确实享受暴击收益,但其机制决定了是减伤而非增加治疗量。也可以说是等于给所有治疗同时增加治疗量。但由于他是物理减伤,而T吃的伤害不一定是物理伤害……如果想测算收益就变得极为复杂,所以略过了。


3.2 回蓝属性
基础回蓝

这三个属性共同构成了80级牧师的回蓝。回蓝公式如下:

这里面其实还有一个0.003的固定MP5,但考虑到实在很小,且为固定值,为了计算简便就忽略掉了。这是经过了2刀大砍之后的版本,为了平衡,暴雪把【冥想】这个天赋提供的战斗回蓝变成了50%,对于戒律来说,完全不用考虑停手脱离5SR的问题了。一个戒律牧在战斗过程中大约95%的时间都处于5SR之中。
戒律完全不依靠精神回蓝,而是依靠【全神贯注】,具体机制会在会在5.1盾回蓝章节讲述。神牧的回蓝依旧是依靠精神回蓝。
让我们回到这三个属性本身,这个MP5函数里有2个变量,分别是精神和智力,因此要研究属性价值,我们需要确定一个具体数值,因为所有比例价值关系会随着其中一个变量的改变而改变。
首先根据公式算出基础MP5(OO5SR)
戒律814MP5
神牧801MP5
施法中的回蓝IS5SR MP5
戒律417MP5
神牧400MP5
根据施法比例模型(95% IS5SR+5% OO5SR)


此处略去数学计算过程,太麻烦了

同样的方法可以计算出智力/MP5


到这里我们只是计算出了智力和精神这两个属性在基础回蓝上的价值,然而他们还有其他很多天赋加成和技能影响的价值。
神圣专注

依旧用上面的方法,计算一下精神和智力在神圣专注这个天赋下的额外收益

最*法大**力
接下来我们要看一下这些属性对于法力池类技能的影响。在此之前需要继续做一些假设
假设战斗持续8分钟,战斗结束时候所有蓝都被用完了
骑士的恢复这个技能(每5秒1%最*法大**力)假设80%时间存在
暗影魔每下攻击增加5%最*法大**力,打10下。每6分钟用一次
戒律的全神贯注15秒触发一次,理论上是12秒,但实际不太可能,并且在这里忽略那种大范围同时触发(因为理论上如果你能反复做到你就无限蓝了)
前文已经给出过最*法大**力计算公式了,用我们的两个模版牧师,计算得出

8分钟战斗这些法力可以折算为MP5

因此戒律309,神牧285。由于智力带来的最*法大**力收益


这两者的差异是由于戒律天赋心灵之力引起的

骑士恢复回蓝

在这一技能上的智力收益为:

暗影魔
这里计算时没有把暗影魔和圣歌一起放(圣歌增加最大蓝量),是因为并不能确保开暗影魔的时候牧师一定能够停手下来放圣歌。一般情况下是应该把暗影魔和圣歌一起开的,因为圣歌会增加你的20%最大蓝量。
说到暗影魔就顺便说下我们牧师这个宠物,在TBC版本他的攻击力受牧师的暗伤增益,但是到了WLK版本变成了固定的1下攻击回5%最大蓝量。终于不用给宠物拍卷轴和吃金布勒宠物食品了,不过需要说明一下的是暗影魔伤害依旧受到牧师的暗伤增益,只不过回蓝量固定了。宠物依然可以受到急速加成,放暗影魔之后如果开嗜血可以回更多,但牧师自己的各种急速无效(例如开个急速暴增的饰品是没有用的)。
不过这都不属于常规的条件,在测算中就忽略了。


全神贯注
戒律专属回蓝天赋


3.3属性价值
根据上面计算,很多属性同时具有不同的价值,暴击也有回蓝价值,智力也有法伤价值,单独切割开来显然没法代表这个属性的完整价值,因此按照1法伤=2MP5的比例来估算这部分交叉价值。这个比例就是人为根据经验设定的。但其实影响的只是部分属性的很小一个比例。
法伤、MP5
法伤=1.0
MP5=0.5
两个基准属性,分别代表了治疗属性和回蓝属性
急速

暴击

智力

精神

属性价值总表

table13.属性价值表
针对这个属性价值的几点说明:
- 法伤,MP5,耐力属于直接赋值,毕竟这3个数值互不相干
- 首先判断自己是否缺蓝,然后选择治疗属性/回蓝属性
- 计算过程中使用了大量的情景假设,事实上所有的治疗属性价值都需要如此模拟出来,所以都是尽可能准确无法达到绝对准确,如果出现偏差也仅限于小数点两位以后。
- 对于戒律来说1MP和2精神哪个好是一个变量,随智力变化而变化,大概在1000智力左右1MP5=2精神

fig6.MP5/2精神 VS 智力函数
4.配装
4.1配装原则、宝石
配装
对于戒律来说,简单配装原则:穿物品等级高的,缺蓝穿智力,不缺蓝穿法伤。
1MP5=1智力=2精神
1法伤=2急速=2暴击
需要注意一点的是,MP5这个属性在默认的暴雪装备系统中属性价值权重特别大,等于2倍的精神暴击急速。然后智力耐力精神又是同样装备价值权重。一般的装备基本都是耐力+智力+法伤+2任意

table14.装备价值表
所以如果是相同的DKP/G 建议先考虑这些数值高的大件,对自己提升大。
具体装备评分表连接,此表格是哈霍兰情绪制作,感谢情绪的无私帮助
WLK牧师装备评分表
宝石
有了上面的属性价值,宝石按照需求插即可。各种奖励属性计算一下和直接插红宝石哪个高。
简单说红槽全部法伤宝石,黄槽插+法伤+智力,蓝槽看奖励,奖励划算就插+法伤+精神,不划算直接+法伤。
如果回蓝有问题就+智力。
4.2 多彩宝石

+21智力,45秒内置CD恢复600蓝,等效66.6MP5

当满BUFF1155智力的时候这个宝石能和洞察一样加21智力。+25法伤
总的来大部分情况下应该用洞察,除非你真的是完全不缺蓝
4.3 附魔

table15.附魔表
4.4 团本战备
食物

+46法伤,40耐力。基本都会用这个。
油没了,卷轴如果10人本缺少相应职业还是可以用的,25人本大概率天赋技能都覆盖了。
药剂合剂

大部分情况直接吃这个
或者缺蓝的话


药水

药水现在一场战斗只能吃一瓶了,所以一般很少吃大蓝,都是吃爆发,开场还是可以偷一瓶爆发效果的药。不过一般开场没有太多伤害给治疗,所以偷不偷看情况具体分析吧。

爆发药水
4.5 套装奖励
T7
2T7 愈合导言从5跳变6跳
4T7强效治疗术法力消耗降低5%
都是垃圾
T8
2T8治疗祷言暴击率10%
4T8释放盾之后法伤提高250,持续5秒
戒律牧常驻250法伤,治疗祷言暴击这个也很有用,戒律对团队伤害除了盾就是治疗祷言了
T9
2T9愈合导言治疗提高20%
4T9戒律神圣庇护盾提高10%,神牧恢复增效的立刻治疗提高10%
T10
2T10 快速33%几率给一个33%治疗量的HOT,9秒3跳
4T10 盾提高5%,治疗之环提高10%
懒病犯了,等出到再说吧,凑活看看。主要是BETA服务器没这些东西,这些套装属性吃什么不吃什么没办法确定,定性的东西说了跟没说一样,没数据定量的东西又说不出来。
4.6 饰品
大坑,回头填,理由同上
最终毕业的是炮艇的算盘和明亮暮光龙鳞
5.治疗
Boss技能伤害已经在3.2.4中说过了,分为ABCD四类,一下就是针对这4种不同的类别,讨论一下加血技能的优先级
5.1戒律加血
单一目标
首先给目标上盾,出灵魂虚弱,这样激活【新生希望】,然后给目标苦修,快速叠满【恩赐】之后就刷快速即可。BOSS读条大伤害技能给压制。
多目标
多目标伤害首先愈合导言,盾,铺盾,如果同队治疗祷言。在多目标战斗中最重要的就是去区分伤害类型,然后判断出治疗的优先级
- 正在或即将承伤的低血目标,这应该是最高优先级治疗的,你的快速治疗可以给低血目标更高的HPS
- 虽然满血但是即将承受巨量致死伤害的目标,有可能是BOSS机制,也有可能是他自己蠢站在不该站在的地方(你懂得,团里总有这样的人noobs也有比如sunice)
- 玩家血量还行但是正在承伤,并且没有incoming heal,一个合格的治疗必须得能看到团队框架上有没有其他治疗在加血
- 玩家低血,有其他的incoming heal
- 可以开始无脑套盾了
盾回蓝
【全神贯注】当一个盾被伤害穿透后,恢复你最*法大**力的2.5%蓝。我们模拟计算过程中已经算过了,就当15秒触发一次,单目标来计算,这个技能都能相当于200多MP5,如果遇上那种【群体尖刺-空档-群体尖刺】类型的BOSS战斗,这个技能就变得非常强力。如果是这种场合,请计算好时间,因为全神贯注每12秒只能触发一次,如果在群体尖刺到来之前你给T上了个盾破了,就导致回蓝提前触发进入CD,接下来的大量尖刺回蓝为0。
第二个需要注意的是盾降级施法,之所以降级施法就是为了确保能够破盾回蓝。到了ICC级别一个满级盾能吸收接近1万的伤害,不是什么AOE技能都能打破你的盾,如果打不破就无法触发回蓝。如果是单体伤害类型还好,你给T上盾就是了,但如果是群体小AOE爆发技能,你大铺满级盾固然能够确保最大的治疗量,但是回不到蓝。既然BOSS技能是小AOE,那就一定还有其他的伤害技能等着你。你还需要蓝去应对其他技能。所以不同版本大量换装备之后,需要对自己的10-14级盾有多厚心里有数,针对不同的技能释放不同级别的盾。10级以下的盾由于惩罚系数原因就不太值得释放了。
5.2神牧加血
技能循环
愈合导言,环,优先确保这两个技能进入CD,而后使用快速/恢复/治疗祷言,神牧和TBC唯一的区别就是在环的间隙中插入其他技能,总的来说还是熟悉的样子
圣光涌动 / 好运+治疗祷言
神牧和TBC环牧最大的不同就是到了WLK有2个额外的触发需要监控。
比较简单是圣光涌动,由你的暴击触发,触发后你获得一个免费的快速治疗持续10秒。所以很简单做个监控WA,每当圣光涌动触发后择机给一个快速出去,当然,在愈合导言和环的CD间隙里。
第二个机制是好运治疗祷言,在一个爆发伤害到来前,提前叠出3层好运,给你的治疗祷言加速,然后预读一个治疗祷言压伤害,之后再跟环,就像环牧在SW双子暗影新星和鸡蛋千魂时一样,只不过这个治疗祷言不用再读3秒了,可以用好运来加速。
5.3仇恨
在WLK版本仇恨对于治疗来说基本不是个问题了,几乎没有场合会让治疗OT,唯一会出现问题是不断刷新小怪的场景,你可能在小怪接近坦克之前就已经获得了治疗仇恨。这是唯一会OT的情况,这种时候使用渐隐就可以了,如果你看过我在B站上做的渐隐机制研究,你会清楚TBC时代渐隐只是一个临时减1500仇恨值的垃圾技能,到了WLK终于不是,渐隐会把你的仇恨值完全清掉,直到渐隐时间结束再给你加回来。
此外暗夜精灵的影遁可以看做一个不耗蓝的渐隐。可以优先于渐隐使用,不需要叠加使用。