别名:二己烯三胺五亚甲基膦酸、二亚已基三胺五亚甲基磷酸
分子式 C17H44O15N3P5 相对分子质量:685
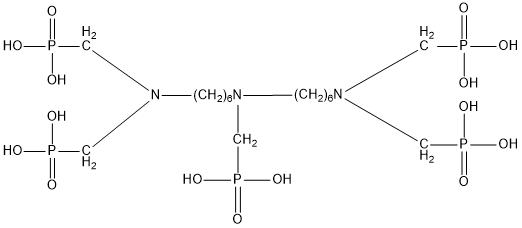
结构式

一、性能与用途:
BHMTPMPA是高效的螯合型阻垢剂,对碳酸盐垢和硫酸盐垢具有良好的阻垢效果。 BHMTPMPA在较宽的PH范围和120℃高温下有极佳的水溶性和热稳定性,对钙离子容忍度高。BHMTPMPA用作油田水处理的缓蚀阻垢剂,工业循环冷却水和锅炉水的阻垢缓蚀剂。
二、技术指标 符合HG/T 22591-2008

三、使用方法
单独使用或与聚羧酸型阻垢分散剂配合使用。
四、包装与贮存
BHMTPMPA用塑料桶包装,每桶25kg或根据用户需要确定。BHMTPMPA贮于室内阴凉处,贮存期为十二个月。
五、安全防护
BHMTPMPA为酸性,操作时注意劳动保护,应避免与皮肤、眼睛等接触,接触后用大量清水冲洗。


