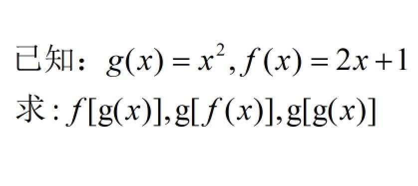
简单的复合函数求解析式方法
复合函数求解析式【基本方法】

复合函数的单调性的判断
复合函数的单调性的判断【基本方法】

经典的对数复合二次函数问题
经典的对数复合二次函数问题【基本方法】

对数复合二次函数
经典的对数复合二次函数问题【基本方法】

二次函数复合对数问
二次函数复合对数问题【拓展例题】

复合函数定义域为R,值域为R问题
典型定义域为R,值域为R问题【典型例题】

指数型复合函数问题
典型的指数型复合函数问题【典型例题】

简单的复合函数求解析式方法
复合函数求解析式【基本方法】

复合函数的单调性的判断
复合函数的单调性的判断【基本方法】

经典的对数复合二次函数问题
经典的对数复合二次函数问题【基本方法】

对数复合二次函数
经典的对数复合二次函数问题【基本方法】

二次函数复合对数问
二次函数复合对数问题【拓展例题】

复合函数定义域为R,值域为R问题
典型定义域为R,值域为R问题【典型例题】

指数型复合函数问题
典型的指数型复合函数问题【典型例题】
