这是一个不会开车出门都不好意思跟人打招呼的年代,暑期是学车的旺季,但蜀黍要要提醒大家:
学车可不是买白菜, 选择驾校可得长点心,货比三家细心甄选,才是上策。

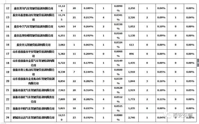
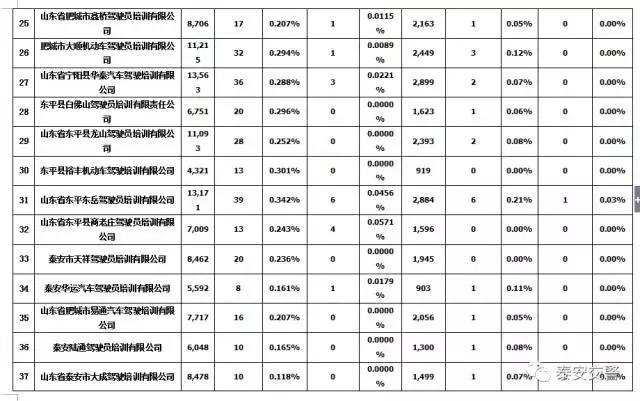
根据市公安局交警支队车管所6月份的统计信息来看:
宁阳环宇驾校,东平东岳驾校,宁阳天安汽车驾校,三家驾校学员发生负同等以上责任非死亡事故人数最多,排名第一的宁阳县环宇驾校达59人。
宁阳顺通驾校,东平圆梦驾校,宁阳金阳驾校,*安泰**金路驾校,*安泰**天龙驾校等五家驾校学员发生负同等以上责任非死亡事故人数最少,都为0人 。
*安泰**新宇驾校,新泰青云驾校,新泰新汶汽车驾校,东平东岳驾校等四家驾校学员发生负同等以上责任死亡事故人数最多,分别为 5人,5人 ,5人,6人,这四家驾校学员发生负同等以上责任死亡事故人数占总数的 33.87%!
新泰金龙驾校,宁阳环宇驾校,东平东岳驾校等三家驾校学员实习期内负同等以上责任事故驾驶人数最多,分别为3人,5人,6人。
*安泰**新宇驾校,*安泰**泰港驾校,新泰金龙驾校,新泰新汶汽车驾校,东平东岳驾校均有学员实习期内发生致人死亡事故 。
2017年6月份*安泰**市驾驶培训单位交通事故肇事率




从考试来看,科目一考试,迎胜驾校和泰通驾校的学员通过率最多,达到了100%,科目二考试,陆通驾校的学员通过率最多达到了81.63%,科目三考试,金路驾校的学员通过率最高达到了83.33%。
宁阳环宇驾校、*安泰**天祥驾校,新泰平阳驾校总体通过率最低,分别为64.83%、68.04%、68.04%。东平裕丰驾校,*安泰**陆通驾校,肥城运达驾校的总体通过率最高,排名第一的东平裕丰驾校达83.76%。
2017年6月份*安泰**市驾驶培训单位考试合格率





最后蜀黍送给大家学车二十字秘诀:学车很有用,开车有风险,练车要努力,择校要谨慎!