“超高层电缆垂直敷设技术”全面解析
中建一局集团技术中心及安装公司通过对中央电视台新台址工程(234米)、上海中心大厦(632米)、广州新电视塔(600米)、上海环球金融中心(492米)、广州国际大厦(200米)等国内一系列超高层建筑的电缆垂直敷设技术的集成研究,同时借鉴了行业内已有的研究成果,总结了国内超高层建筑成功应用的三种电缆垂直敷设技术:①钢丝绳牵引提升敷设技术、②阻尼缓冲器顺放敷设技术、③垂吊式电缆敷设技术,值得同行朋友们参考应用。

一、钢丝绳牵引法
在电缆垂直敷设段的上部楼层设置卷扬机,利用吊具抱箍、卡具等把电缆分段固定到钢丝绳上,卷扬机通过提升钢丝绳提升电缆,电缆垂直吊装过程中主要是钢丝绳受力,在电缆敷设到位后,依次拆除吊具、抱箍卡具。
这种方法对井道空间要求小,采用小型卷扬机提供牵引力,把电缆分段抱箍在钢丝绳上,解决了牵引力、电缆自重大于电缆抗拉能力而引起电缆变型或破坏。目前,钢丝绳牵引法垂直敷设技术应用最广,施工组织灵活,牵引设备易获得,但需要加主吊绳,对吊具、抱箍卡具及施工人员素质要求较高。
1、技术原理
在电缆敷设上部楼层设置卷扬机提供牵引力,把电缆分段抱卡在钢丝绳上,解决了牵引力、电缆自重大于电缆抗拉能力而引起电缆变型或破坏。
2、施工流程与操作要点
1)井口测量
电气竖井满足吊装条件后,对相应各楼层井口进行测量,做好测量记录,对宽度小于300mm的井口做出标识。
2)电缆排布表
根据项目配电系统的实际情况编制电缆排布表,标明长度、功能、回路编号等信息。
3)选择、布置起重设备
(a)起重设备布置:
吊装卷扬机布置在电气竖井的最高设备层或设备层以上楼面,除设置定滑轮外,还需在地面上设置用作电缆水平段导向的导向滑轮。对于超高层电缆吊装,卷扬机除吊装最高设备层的电缆外,还要考虑吊装同一井道内其他设备层的高压或低压电缆。
(b)起重设备选择:
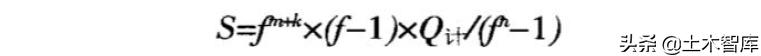
A. 卷扬机及钢丝绳受力按下式计算:

式中:
S--钢丝绳拉力;
Q计--计算荷载,包括电缆、钢丝绳、吊索具重量,同时并考虑动载因素;
n--省力倍数;
m--定滑轮、动滑轮组门数之和;
k--导向滑轮的个数;
f--滑轮的阻力系数。对青铜轴套轴承f=1.04;对滚珠轴f=1.02;对无轴套轴承f=1.06。
B. 根据计算受力S,选择卷扬机,一般选择2~3t慢速卷扬机。若不能满足要求,可相应调整滑轮组的门数,同时还应考虑卷扬机的容绳量是否满足要求。
C. 钢丝绳选择。承载破断拉力可按P=k*S计算,k为安全系数,一般取5或6;通过查钢丝绳规格型号表,选用合适的钢丝绳。
4)吊具选择
(a)主吊具:在电缆起始端采用具有消除电缆及钢丝绳旋转扭力,以及垂直受力锁紧特性的旋转头网套连接器,做为主吊具一,见下图。在上水平段与垂直段的拐弯处,采用具有垂直受力锁紧特性的覆式侧拉型中间网套连接器,做为主吊具二,见下图,用以增加摩擦,满足二次倒缆需要。两主吊具之间的距离为上水平段电缆敷设的长度。
(b)辅助吊具:隔50m增设一副覆式侧拉型中间网套连接器B,见下图,直至电缆终端。主要作用是分担主吊具的吊重,使电缆垂直段均匀受力,其具有垂直受力锁紧特性。

主吊具一:旋转头网套连接器

主吊具二:中间网套连接器A

辅助吊具:中间网套连接器B
(c)防晃型吊具:采用防晃型吊具,可控制电缆摆动幅度,见下图。


专用电缆防晃型吊具图
(d)专用抱箍卡具:用以固定电缆与吊装绳的卡具。
5)电缆敷设吊装
吊装过程中,在电气竖井的井口安装防摆动的定位装置,以控制电缆摆动。
将主吊具一固定在顶部定滑轮的吊钩上,进行电缆试吊,确认各环节无误后,方可正式起吊。
在吊装过程开始阶段,将电缆与主吊绳渐渐并拢。每隔5~10m用专用抱箍卡具连接用以增加摩擦力,并在专用抱箍卡具内加设胶皮保护层,以防电缆外绝缘层损伤;在主吊具二以下垂直段电缆每隔50m增设1个辅助吊具。并使电缆垂直段均匀受力。
当电缆始端提升到水平安装层时停止起吊,转换吊点,将主吊具二固定在吊钩上,拆除主吊具一,利用主吊具二作为新的提升吊点。
随着卷扬机提升,上水平段电缆逐步进入水平安装层,依次拆除专用抱箍卡具。电缆经导向滑轮靠卷扬机牵引,需倒缆的水平段电缆,可系于周围结构柱上,电缆向前一段,相应向前固定一段,直至利用主吊具二将电缆提升到安装高度。
吊装工作完成后,自下而上逐步拆除各种吊具、卡具。同时将电缆固定在电缆梯架上,并保证安装牢固、可靠。
二、阻尼缓冲器法
阻尼缓冲器法垂直敷设是利用高位势能把电缆由上往下输送,阻尼缓冲器由3个轮子和型钢支架组成,分段设置阻尼缓冲器以确保安全的下放速度。
阻尼缓冲器法垂直敷设所需装置简易、成本低、人工少、安全,且能有效避免电缆损伤,但对施工人员的操作熟练程度要求高,对现场条件和施工组织要求较高。在塔吊拆除前,利用塔吊把电缆盘吊运至上面楼层,通常电缆盘在楼层中放置时间较长,因此保护成本提高,近期较少使用此方法。
1、技术原理
利用塔吊或其他方式先将整盘电缆吊运至高层,利用高位势能把电缆由上往下垂直输送敷设,用分段设置的“阻尼缓速器”对下放过程产生的重力加速度加以克制,确保做到既安全快捷,又保证电缆绝缘完好。阻尼缓冲器的结构由3个导轮和型钢支架组成,见下图。

阻尼缓冲器示意图
2、施工流程与操作要点
施工流程:井内桥架安装→井口测量→编制电缆排布表→电缆盘吊装安放→阻尼缓速器设置安装→井道电缆顺放→电缆固定→拆卸阻尼缓速器。
在进行电缆顺放安装开始之前,竖井内桥架须安装完成,井口测量、电缆排布表要求同“钢丝绳牵引提升敷设技术”相关内容。
电缆敷设架安装须靠近电缆桥架,以便于电缆从导轮处移至桥架进行排列、固定,同时敷设架须固定在坚实的建筑结构上,如楼板、框架、剪力墙,在高层起点处装一个制动器。
导轮装配时,导轮与轴杆配合需稍紧(可在导轮两侧加垫橡胶片,用轴端螺栓调节松紧),上下导轮位置固定不变,中间导轮可左右调整,以适应不同规格电缆允许的弯曲半径。通过导轮转动的摩擦,使电缆在导轮上转动的摩擦力加大,从而有效地衰减下放电缆的重力加速度。
每根电缆敷设的基本步骤为:电缆规格位号确认→绝缘检查→缆盘上架→缆头牵引下放→垂直段电缆依次绕经各阻尼器导轮进行敷设→水平段敷设→终端尺寸预留→自上而下将电缆从阻尼器移入桥架排列固定→始端尺寸预留→裁截电缆→挂编号牌。
电缆头到终端后,垂直段的电缆从“阻尼缓速器”导轮脱出移入桥架作排列固定,必须自上而下一段接一段操作,不能同时进行,避免同时脱出造成上部电缆负荷过重。
三、垂吊式电缆敷设法
超高层垂吊式电缆是一种特殊结构电缆,电缆在垂直敷设段带有3根钢丝绳,并配吊装圆盘,钢丝绳用扇形塑料包覆,并与三根电缆芯绞合,水平敷设段电缆不带钢丝绳。垂吊式电缆是一种新材料,可替代传统的铠装电力电缆,自身可承受较大的拉力,缆体受力均匀,可以按常规方法敷设,不用考虑超高层因素,敷设安装所需的空间小、效率高,但垂吊式电缆采购周期长、成本高。
1、技术原理
超高层建筑用电负荷越来越大,普通电缆作为垂直供电干线有一定的局限性,电缆垂直敷设难度在不断增加,为使施工更方便快捷,国内已经使用一种特殊结构的电缆——超高层垂吊式电缆。
该类型电缆不受长度与重量的限制,可靠其自身支撑自重,解决了普通电缆在长距离的垂直敷设中容易被自身重量拉伤的问题。垂吊式电缆具有施工快捷,占用空间少,维护成本低、抗震性强、性能稳定的优点。
1)10KV高压垂吊式电缆结构
垂吊式电缆由上水平敷设段、垂直敷设段、下水平敷设段组成。
电缆结构:电缆在垂直敷设段带有3根钢丝绳,钢丝绳用扇形塑料包覆,并与三根电缆芯相绞合,见下图。水平敷设段电缆不带钢丝绳。

10kV高压垂吊式交联电缆结构图
2)电缆特性
电缆中选用的任意两根钢丝绳的最小破断力总和均大于4倍电缆垂吊部分的重力,保证了电缆的吊装安全;为减少电缆吊装敷设时垂直部分来自钢丝的侧压力,选用扇形塑料包覆柔性钢丝绳,填充在电缆的外围空隙,使得扇形弧面与电缆表面紧密接触,这样电缆受到钢丝绳的侧压力会均匀地分散在电缆的表面,不会出现压力集中。
垂吊式电缆采用专用吊具吊装,吊具由吊环、吊具本体、连接螺栓(钢丝绳拉索锚具)三个部件组成,吊具由生产厂家配套制作。
电缆在出厂前,每根电缆头端的3根钢丝绳头折弯后分别浇铸在吊装圆盘(专用吊具)的下方连接螺栓的锚杯上,在电缆装盘时,把3个锚杯钢丝绳浇铸体与吊装圆盘分离,吊装圆盘单独装箱运输,待电缆吊装敷设时,再把吊装圆盘与3个钢丝绳浇铸锚杯安装成一体。
2、施工流程与操作要点
1)吊装工艺和设备选择
(a)吊装工艺选择
对布置在面积较小、吊装高度较高楼层上的卷扬机,采用在电气竖井内垂直跑绳,通过主吊绳换钩、绳索脱离的分段提升的方法(见下图)。

卷扬机分段提升示意图
(b)吊装设备选择
根据吊装重量及高度,选择相应的卷扬机。在吊装设备确定后,选择跑绳数,要求垂直段电缆主吊绳和上水平段电缆吊绳、跑绳的安全系数大于3.5。
2)井口测量
在电气竖井具备安装条件后,为保证吊装圆盘能顺利通过井口,对每个井口的尺寸及中心垂直偏差进行测量。
3)穿井梭头设计制作
为使吊装圆盘顺利穿越电气竖井口,设计制作穿井梭头(见下图),避免吊装圆盘被井口卡住,造成电缆受损。

穿井梭头示意图
4)井口台架制作安装
井口测量完成后,开始安装槽钢台架,要求如下:
按井口尺寸设计台架尺寸,一般伸出井口100mm。例如,井口300×1200的台架尺寸为500×1400。
槽钢台架选用10#槽钢制作,采用焊接连接方式,焊接前将台架除锈,刷防锈漆和灰色面漆。
按电缆排列顺序在台架上开螺栓连接孔,开孔尺寸应与固定电缆的卡具和固定吊装圆盘的吊装板孔径一致。
槽钢台架坐落在井口底边钢梁上,槽钢台架的四角处采用φ12的膨胀螺栓固定在井口边上。
5)吊装卷扬机布置
(a)牵引用导向滑轮与卷扬机设于同一楼面上,导向滑轮与卷扬机配套使用。
(b)利用结构梁或柱作为卷扬机、导向滑轮的锚点。
(c)卷扬机采用带槽卷筒,安装时卷扬机与导向滑轮之间的距离应大于卷筒宽度的15倍,当钢丝绳在卷筒中心位置时,确保滑轮的位置与卷筒轴心垂直。
(d)悬挂滑轮的受力横担设置
在高于设备操作层以上一至二层楼面的井口处设置高1.2m的钢桁架,横置3根承重钢管作为悬挂滑轮的受力横担(见下图)。

悬挂滑轮的受力横担设置示意图
(e)索系连接
卷扬机布置完成后,穿绕滑轮组跑绳,并在电气竖井内放主吊绳。主吊绳可通过辅吊卷扬机从设备操作层放下,或由辅吊卷扬机从一层向上提升,到位后上端与主吊卷扬机滑轮组连接,构成主吊绳索系。
(f)上水平段电缆头*绑捆**
把吊装圆盘临时吊在二层井口上方约0.5m处,将上水平段电缆从电缆盘中拖出,穿入吊装圆盘后伸出1.2m,采用金属网套套入电缆头,与卷扬机吊绳连接。
(g)吊装圆盘连接
当上水平段电缆全部吊起,且垂直段电缆钢丝绳连接螺栓接近吊装圆盘时停下,将主吊绳与吊装圆盘吊索(千斤绳)用卡环连接,同时将垂直段电缆钢丝绳通过连接螺栓与吊装圆盘连接。连接时,应调整连接螺栓,使垂直段电缆内3根钢丝绳受力均匀,调整后紧固连接螺栓。
(h)组装穿井梭头
吊装圆盘连接后,组装穿井梭头。组装时,吊装圆盘2个吊环必须保持在穿井梭头侧面的正中,以保证高压垂吊式电缆在千斤绳的夹角空间内,不与其发生摩擦,在穿井时吊环侧始终沿着井口长面上升。
(i)防摆动定位装置安装
电缆在吊装过程中,由人力将电缆盘上的电缆经水平滚轮拖至一层井口,供卷扬机提升。在二层电气竖井井口安装防摆动定位装置(防晃滚轮),见下图,可以有效的控制电缆摆动,同时起到了保持电缆垂直吊装的定位作用。

防摆动定位装置示意图
(j)上水平段电缆*绑捆**
主吊绳已受力,上水平段电缆处于松弛状态,这时将上水平段电缆与主吊绳并拢,并用绑扎带*绑捆**,由下而上每隔2米*绑捆**,直至绑到电缆头。主吊卷扬机提升主吊绳及绑有绳上的水平段电缆(见下图)。

主吊卷扬机提升图
(k)吊运上水平段和垂直段电缆
采用二台主吊卷扬机互换提升或二台主吊卷扬机分段提升吊运上水平段和垂直段电缆。
卷扬机互换提升法:
垂吊式电缆吊装由两台主吊卷扬机以接力方式跑绳,当1号主吊卷扬机水平跑绳到位后,再由2号主吊卷扬机接着水平跑绳。以此互换,直至将吊装圆盘吊到安装位置。
卷扬机分段提升法:
先由1号主吊卷扬机在电气竖井内垂直跑绳,当滑轮组到达设备层井口下方时,由2号、3号卷扬机配合,进行主吊绳换钩、脱离。在1号卷扬机跑绳滑轮组换钩时,由2号卷扬机主吊绳承担吊装荷载,3号卷扬机提走要脱离的主吊绳,依次按这样的方式进行每节主吊绳的换钩、脱离。
当剩下最后一节主吊绳时,为使上水平段电缆能够继续随着主吊绳提升,再由2号主吊卷扬机采用水平跑绳吊完余下较短的部分。
在水平跑绳过程中,每次锁绳必须用三个骑马式绳夹,水平跑绳每跑完一次,需将主吊绳与锚点锁紧,以防止吊起电缆的滑落。
当上水平段电缆吊至设备层,第二绑节露出井口时叫停,解除第一绑节,以下绑节都以这种方式解除,需要注意的是必须待下绑节露出井口时才能解除上绑节,避免电缆与井口摩擦,解绳后的上水平段电缆用人力沿桥架敷设。
(l)拆卸穿井梭头
当穿井梭头穿至所在设备层的下一层时叫停,拆卸穿井梭头。拆卸时要将该层井口临时封闭,以防坠物。拆卸完后,应检查复测吊装电缆3根钢丝绳的受力情况,必要时调整与吊装圆盘连接的螺栓,使其受力均衡。
(m)吊装圆盘固定
当吊装圆盘吊至所在设备层井口台架上方60~70mm处时叫停,将吊装板卡入吊装圆盘的上颈部。此时应使吊装板螺栓孔对准槽钢台架的螺栓孔,用M12X80的螺栓将吊装板与槽钢台架连接固定。然后卷扬机松绳、停止,使吊装板压在槽钢台架上,至此电缆吊装工作完成。
(n)辅助吊索安装
吊装圆盘在槽钢台架上固定后,要对其辅助吊挂,目的是使电缆固定更为安全可靠,起到了加强保护作用。
辅助吊点设在所在设备层的上一层,吊架选用14#槽钢,用M12X60螺栓与槽钢台架连接固定。
吊索选用φ20钢丝绳,通过厚10钢板固定在吊架上。
辅助吊装点与吊装圆盘中心应在同一垂直线上,二根吊索应带有紧线器,安装后长度应一致,并处于受力状态。辅助吊索安装(见下图)。

辅助吊索安装示意图
(o)楼层井口电缆固定
在吊装圆盘及其辅助吊索安装完成后,电缆处于自重垂直状态下,将每个楼层井口的电缆用抱箍固定在槽钢台架上,电缆与抱箍之间应垫有胶皮,以免电缆受损伤。
(p)水平段电缆敷设
上水平段电缆在提升到设备层后开始敷设。
下水平段电缆在上水平段电缆和垂直段电缆敷设完成后进行。
通常采用人力敷设水平段电缆。为减轻劳动强度,提高效率,在桥架水平段每隔6米设置一组滚轮。
电缆敷设完成后,应排列整齐,绑扎牢固,按要求挂电缆标志牌。
大家要是需要各类建筑资料的,可以去“土木智库”公众号,里面有一个“免费资源”菜单,可供大家选择,注意是公众号,不是头条!