水晶滴胶因为具有高丰满度和高透明度及水晶般的质感,深受很多手工艺爱好者的喜欢。想必很多人也是因为在网站上欣赏到一些精美绝伦的水晶滴胶作品,才开始对水晶滴胶产生了兴趣进而想要自己动手尝试制作。其实水晶滴胶的制作流程并不复杂,对新手非常友好。不同的水晶滴胶制作手法基本大同小异,就是将双组份配制的AB胶按一定比例混合,然后放置一定时间等滴胶固化就可以了。


那么你有没有想过为什么它们可以凝固?为什么有的滴胶会随着时间的推移会变色发黄?为什么滴胶不能晒,更不能处在高温环境下?这一切的问题还得从水晶滴胶的合成原理说起。

放置一年的滴胶作品变黄
水晶滴胶组成成分
常见的水晶滴胶分为A胶和B胶,A胶是本胶,一般是一些低价的环氧树脂。B胶是固化剂,固化剂的种类很多,不同范围的产品具有不同的性能。为了保证固化反应的高活性,室温或低温下可以快速固化,同时又要降低成本,一般选择脂肪族胺类固化剂,如聚醚氨等,当然还得添加一些其他的助剂如苯甲醇等。

水晶滴胶固化原理
树脂固化是通过添加固化(交联)剂,再经过缩合、闭环、加成或催化等化学反应,使热固性树脂发生不可逆的变化过程来完成的。举个简单的例子,你可以把环氧树脂想象成水泥,固化剂想象成水,两者混合才能使水泥凝固。树脂和固化剂之间也是如此,固化剂是必不可少的添加物,无论是作粘接剂、涂料、浇注料都需添加固化剂,否则环氧树脂不能固化。

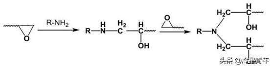
环氧树脂在固化剂作用下的固化过程
水晶滴胶为何会变黄
关于滴胶会随着时间的推移会变色发黄的因素有很多,这主要是环氧树脂本身结构所导致的。因为环氧树脂双酚A结构易氧化产生羰基形成发黄基团,导致滴胶发黄。此外,在滴胶固化过程中,胺类固化剂中游离胺成份直接与环氧树脂聚合,导致局部范围的升温,也会加速变黄。在紫外线和高温下,会加速树脂的老化和氧化的过程。
近年来,很多水晶胶生产厂,在这方面也投入了较多的努力,调整和改变配方,添加必要的抗氧剂,紫外线吸收剂等,制成改性环氧水晶胶,延缓变黄的时间,提高耐候性能,取得了较好的效果。

环氧树脂随着不断的改进,本身毒性已经很低了,一般有毒的物质在B胶即固化剂中,所以尽量不要让B胶接触到内粘膜和伤口。另外,使用时注意通风,可以伤害降到最低。