实时动态(Real Time Kinematic,RTK)是一种利用GPS载波相位观测值进行实时动态相对定位的技术。采用GPS-RTK进行工程测量时,GPS接收机采集的源数据为WGS-84坐标系统下的大地坐标,而在测量中通常使用工程坐标,其坐标转换是依据公共点所采集的WGS-84坐标及其工程坐标[1-2],利用电子手簿中的四参数转换软件来自动实现的,用户不能对坐标转换过程进行干预和改进。测区内一般存在多个已知点,由于误差影响所得到的转换参数在本质上是一组变量。即使用所有已知点按照最小二乘原理来求取所谓的“最优转换参数”,在每个已知点上均会出现转换坐标值与已知值不相符的情况[3-4]。因此,选取不同已知点求取转换参数时,RTK测量值会出现不同的工程坐标值,这影响了RTK测量的精度和可靠性。
本文探讨RTK 测量中坐标转换的改进方法,利用公共点求取一组转换参数[5-6],利用该组参数将已知点上所测量的WGS-84坐标转换为工程坐标,将已知坐标值与转换坐标值之差称为坐标转换残差[7],依据各已知点的坐标转换残差建立改正模型,对所有测量点施加残差改正[8-9],从而提高GPS-RTK测量的精度。
1、GPS-RTK测量的平面四参数转换模型
1.1 平面坐标转换过程
GPS-RTK测量的平面坐标转换过程就是通过公共点的两套坐标值,来计算平面坐标转换的四参数,分别为平移参数dx、dy、缩放参数K、旋转角θ。在RTK测量中利用上述4个参数来实现工程坐标的测量(或放样)[10]。其平面坐标的转换过程如下:
1)在已知点(视为公共点)上采集WGS-84大地坐标[B84,L84]T,根据WGS-84的椭球参数换算成空间直角坐标[X84,Y84]T。
2)将上述空间直角坐标转换为平面坐标[X,Y]T,称之为WGS-84平面坐标。
3)根据已知公共点的工程坐标[X,Y]T和上面所得的平面坐标[X,Y]T来计算坐标转换的四参数dx、dy、K、θ。由式(1)计算任一点的工程坐标(X,Y )。

1.2 坐标转换参数的计算模型
当公共点个数n =2时,可直接将公共点的WGS-84平面坐标与工程坐标代入式(1),反算求解转换参数dx、dy、K、θ,再将其他非公共点的WGS-84测量坐标代入式(1),求得转换后的工程坐标。
当公共点个数n>2时,通常按照最小二乘法平差计算平面坐标转换的四参数,由于上述求参数过程较复杂,本文为了简便采取以下近似方法求解四参数。
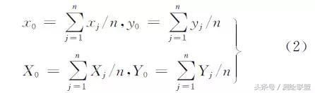
设有n 个公共点,对应的WGS-84 坐标为(xj,yj);工程坐标为(Xj,Yj)(j =1,2,3,…,n)。其坐标转换参数的求解过程如下:
1)计算n个公共点j 在WGS-84坐标系和工程坐标系中的平均坐标(x0,y0)和(X0,V0)。

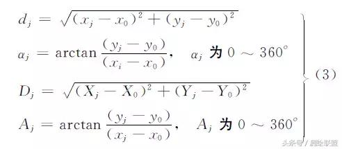
2)计算公共点j与WGS-84坐标系下平均坐标位置的连线距离dj及其坐标方位
αj。同时计算j与工程坐标系下平均坐标位置的连线距离Dj及其方位角Aj。

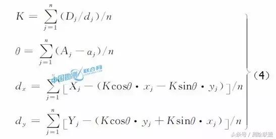
3)计算坐标转换参数dx、dy、K、θ。

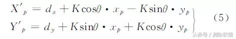
4)将任意点p 的WGS-84坐标(xp,yp)按式(5)转换为工程坐标(X′p,Y′p)

2、坐标转换残差的计算与改正模型
1)在任意已知点j上计算坐标转换残差δXj、δYj

式中(X′j,Y′j)为转换后的工程坐标,由已知点j的WGS-84坐标(xj,yj )按式(5)求得,(Xp,Yp )为已知点j的工程坐标。
2)根据所有已知点的坐标转换残差(δXj,δYj )(也包含公共点的转换残差)构建残差改正计算模型,对任意点的工程坐标值施加残差改正。任意点p的残差改正依据3个距离p点最近的已知残差点值来构建具体的改正模型[10]。
设1、2、3点为距离p点最近的3个已知残差点,其水平距离分别为S1、S2、S3,对应的已知残差分别为(δX1,δY1)、(δX2,δY2)、(δX3,δY3)。依据测量误差传播的基本原理,按照加权平均法计算该点的残差改正数DXp、DYp。

式(7)中P1、P2、P3分别为3个已知点残差参与改正的“权”。设3个点至p 点的水平距离分别为S1、S2、S3,当某点距离p点越近时,该点残差对p 点的影响就越大,因此定义权P1、P2、P3与S1、S2、S3的平方成反比。则:

式(8)中m 为单位权常数,由于P1+P2+P3=1,则:

当S1=0时,则P1=1,P2=0,P3=0,其余两点不参与残差改正。这表明已知点的残差改正即为其本身的坐标转换残差。经上述残差改正后,区域内任意工程坐标(包括已知点上的测量结果)均不受坐标转换所带来的误差影响。因此在GPS-RTK测量中,虽然选择不同的公共点会得到不同的转换参数,但只需施加上述残差改正后,都能得到精度统一且正确的工程测量坐标。

图1 测区已知点分布
3、实例应用
为了验证本文坐标转换方法的有效性,在实验区域选择了5个已知工程坐标的控制点,其位置分布如图1。
采用GPS-RTK测量其WGS-84坐标。由于测量条件相同,上述5个点的工程坐标和WGS-84坐标的精度视为相同。5个已知点的WGS-84坐标(xj,yj )和工程坐标(Xj,Yj )如表1。

表1 已知点的WGS-84坐标与工程坐标
选取其中D1—D4点作为坐标转换的公共点,D5作为验证点。当选择不同公共点求解转换参数时,有不同的公共点组合关系。首先按两个公共点求参,共有6种组合关系,分别按式(2)—式(4)计算相应的转换参数dx、dy、K、θ。其结果如表2。按式(5)、式(6)计算各种组合对应的坐标转换残差如表3。

表2 两个公共点组合对应的坐标转换参数

表3 两个公共点求参的坐标转换残差
由表2可知,选择不同的公共点求得的坐标转换参数均有差别,表明参数转换存在一定的误差。表3说明按照不同参数进行坐标转换后所得的工程坐标与已知坐标值之间存在差值(即为坐标转换残差)。由于采用两个公共点进行参数求解,则公共点上的转换残差为零,其余点上均存在转换残差。对于检验点D5而言,不同公共点(即不同转换参数)情况下的坐标转换残差也有所不同,残差的最大值在X 方向为—0.122m, 在Y 方向为—0.054m。
按3个公共点求取坐标转换参数,共有4种组合关系,按4个公共点求取坐标转换参数仅有一种组合关系,分别按式(2)—式(4)计算相应的转换参数dx、dy、K、θ,其结果如表4。按式(5)—式(6)计算各种组合对应的坐标转换残差,如表5。

表4 三个(或四个)公共点组合对应的坐标转换参数

表5 三个(或四个)公共点求参的坐标转换残差
由表4可知,选择3个以上公共点求得的坐标转换参数均有差别,说明多点求参的坐标转换均存在一定的误差,但转换参数的中误差明显小于两个公共点求参的情况。表5中在相应公共点上也存在坐标转换残差。因此,无论采取哪种组合的坐标转换参数,得到的工程坐标都存在误差。检验点D5的坐标转换残差最大值在X 方向为—0.017m,在Y 方向为—0.041m,小于两个公共点进行坐标转换的情况。
下面按照本文提出的残差改正模型,对检验点D5的坐标转换残差进行改正。由于RTK 实际测量中多采用3个或以上的公共点进行点校正,这里利用表5的计算结果,按式(7)—式(9)对检验点D5进行残差改正,其改正值DX5、DY5及改正后D5的剩余残差hX5、hY5如表6。

表6 检验点D5的坐标转换残差改正结果
点改正后的剩余残差均明显小于施加改正之前。剩余残差的最大值在X 方向为-0.007m,在Y 方向为-0.015m,这说明经过残差改正后,D5的测量坐标更接近于已知工程坐标。
4、结束语
本文采用一种简便可行的方法建立了GPS-RTK测量的坐标转换模型。该方法利用近似数学模型求取坐标转换参数,通过建立坐标转换残差的改正模型,基本上消除了因选择不同已知点进行点校正所带来的坐标转换误差影响。实例应用表明,3 个及以上公共点求参进行坐标转换的精度优于两个公共点求参的情况,进行坐标转换残差改正后,RTK测量坐标的精度得到明显提高。