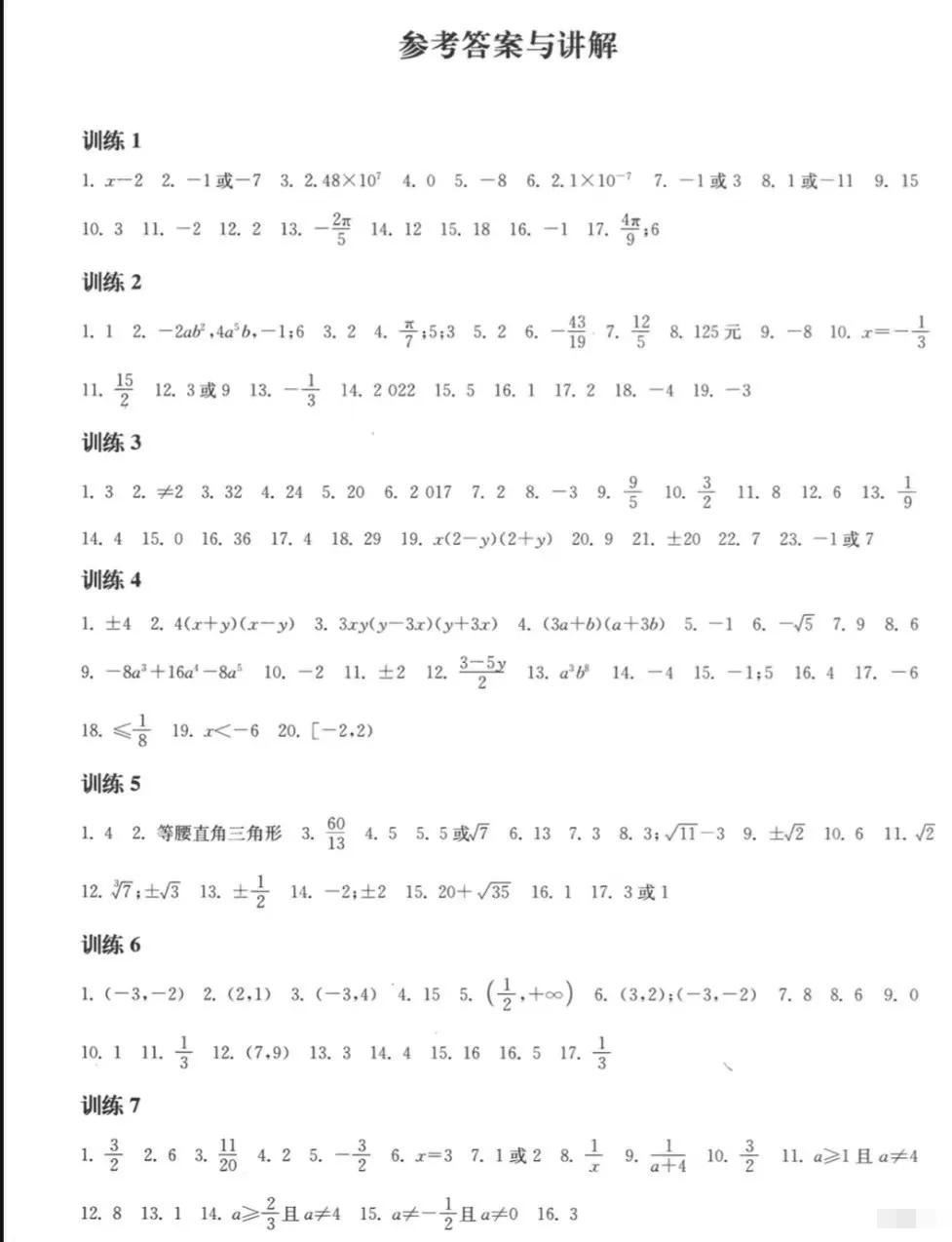
计算对高考来说是个难题,2023年新高考卷的计算量特别大,导致不少学生在计算上栽了跟头。计算不行,那自然是平常计算训练得少,一般是不存在“我努力了”我真的尽力了”我仔细了但没办法算到底”等情况的。刚才的话语是针对那些公式不背、计算跳步骤、不演算打草稿的人说的,并不针对“题目不理解”导数做不出”等情况,因为这种情況就是真的不会在高中阶段通常有哪些计算会困住学生呢?其实有很多,这里我就打个比方:①圆锥曲线当中的化简;②空间向量当中的夹角的正余弦值计算;③三角函数当中的相关计算,如边角互换等;④导数当中的代数变形,还有就是复合两数的求导;⑤数列当中的通项公式和求和公式等,比如错位相减法⑥排列组合的相关计算、公式推导等都是难点。这一系列主要训练的是学生的计算能力,记清楚:本系列内容主要是训练学生的计算速度、计算能力。有的学生不清楚自己在计算上面到底缺失什么,老是想着往“高深”的方面提高自己,这有什么用?这就和有的学生水平一般,但是一上来就问压轴题怎么做一样,并没有什么作用!从最基础的开始训练自己,比如就从计算73273x132151开始,不要小看这类题目,这类题目很钕炼学生的计算能力。学生们在做习题时最好每次把使用了多少时间在书中做标注,这本计算训练考查的就是限时计算能力,最后再强调一下:不要小看里面的部分题目,请正视它,用心去解决它













我是王老师,一个12年经验的高中数学老师!提分率93.8%,平均提分27分左右!2022年网课满分3人,140分40人,线下最高课程分142分!善于归纳总结方法技巧的王总结老师!#高中数学分享##高中数学##高考数学难嘛#