梦想无论怎样模糊,总潜伏在我们心底,使我们的心境永远得不到宁静,直到这些梦想成为事实。
故不积跬步,无以至千里;不积小流,无以成江海。——《荀子》
每天进步一点,步履向前,永不停息。
注册电气工程师基础考试复习-今天继续学习电路——节点电压法求解电路
有效自导 * 本节点电压-有效互导 * 相邻节点电压=流入本节点电源电流的代数和
有效自导:指本节点与所有相邻节点支路中除电流源支路电导的所有电导之和。有效互导:指本节点与相邻节点之间的电导(电流源支路电导为0)
在含有电压源支路中,流入本节点的电流为支路中的电压源与其所在支路中的等效电阻 之比。电压源正极性靠近本节点时取正,负极性靠近本节点时取负。
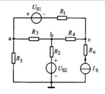
例题:在下面电路图中Us1,Us2、、Is和R1~R2均为已知,列写此电路的节点电压方程。

电路图
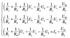
解:

节点电压方程
今天练习题:


今天天气不错,加油!