爱因斯坦的相对论作为现代物理最为重要的一块基石,它的名声可谓是家喻户晓,而如此崇高声誉的背后,除了相对论作为科学理论本身具备的优越性之外,媒体的广泛宣传更是重要的一环。

然后想要真正了解相对论,并不是宣传上的三言两语就能清楚的,因此出现了许多关于相对论的谣言(一些不正确的认知),其中最为著名的一条可能就是——“相对论承认穿越时空的可能,但只有超越光速才能回到过去”

关于这条谣言,小编本人我就有亲身体会,因为我在上初中时就深深的相信这句话,一直认为超越光速就能回到过去。至于当时我是从什么途径听说而来的就记不清楚了,只不过当时对于爱因斯坦是非常非常的崇拜(这都得益于当时看的一些书籍和电视上的节目)。
实际上这条谣言的来源确实是起自爱因斯坦的相对论,因为在相对论之前,人们对世界的认知中,最科学的就是牛顿的绝对时空观了,它告诉我们,时间是独立的,物体在空间的运动变化都不会影响到时间的流逝,它对于每个人来说都是一样的。(这种观点实际上也非常符合人们的日常生活经验)

在这样的认知下,人们几乎是不可能将光速与时间扯到一块去的,但随着爱因斯坦的狭义相对论问世,时间和空间不再相互隔绝,而是一个整体,并且光速作为重要的一环被嵌入了狭义相对论。(实际上,狭义相对论如果不是由爱因斯坦提出,那么也会很快的由其他科学家提出,因为当时的形势已经是山雨欲来风满楼了)
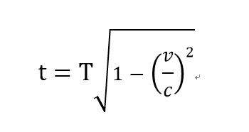
而狭义相对论有着几个知名度相当高的推论,比如“钟慢尺缩”,静止参考系中运动的物体长度会缩短,时间会变慢。而其中关于时间的一条,则最为常人所津津乐道(因为除了本文要说的这一谣言之外,还有一条被称为双生子佯谬的长期争论)

很多人对于这条结论的认识仅仅是“物体速度越快,时间就会变大越慢”,于是不少人就进一步的拓展思维(甚至还参考了这条结论的公式),于是就认为:不是说速度越快时间就越慢吗?那么当速度达到光速时,时间不就停止了么?要是速度能超越光速,那么时间就能倒流,我们就能回到过去了!

这样的结论乍一听似乎不无道理(尤其是对于不了解的人来说),但实际上这种结论从根本上就错了,因为物体的速度是不可能超越光速的,即便是达到光速都不被允许(注意这里所说物体是指具有静止质量的物体,光子就不适用)。
那么这是为什么呢?因为狭义相对论有另一个推论在制约着它,那就是质增效应,在速度变快的同时,除了时间减慢之外,物体的质量也在逐步增加,当速度趋向于光速时,质量就会趋向于无穷大,显而易见,宇宙中是没有能源可以支持这一步成功的。

当然啦,虽然我们无法穿回过去,但穿向未来却是可能的,因为自身时间变慢,也就意味着外界时间正在加速流逝,比如自己乘坐亚光速飞船去宇宙其它地方逛了一圈,这一趟旅程,自己觉着只用了五年时间,但等到了地球,却发现地球上已过去了千年之久。这不就是穿越到未来吗?
但有朋友又会问了,狭义相对论是基于惯性系所得到的时空理论,但惯性系这种概念只是理想状态存在的,宇宙中并不存在一个绝对的惯性系,那么既然物体不能在狭义相对论中超越光速,是否能在广义相对论中超越呢?
答案还是否定的,狭义相对论作为广义相对论的特殊形式(也就是平直时空相之于弯曲时空),这两者的本质是贯通的,如果咱们换用一种更为精确的语言来说,物质在时空中走的都是类时曲线(光子是类光曲线),至于是哪种时空则不是重点,平直或弯曲都成立。

这个曲线就是物体运动的世界线,而所谓世界线就是物体在时空中的运动路线,因为物体在时空中的每一点都对应着相应的时刻以及空间位置,因此连贯起来就被称为了世界线。
实际上这种曲线有三种,除了类光和类时,还有一个类空的,如果放到平直时空来说,这种类空曲线就是指物体在进行超光速运动,然而这是被相对论所禁止的。因此咱们可以简单的理解为:相对论世界中不允许类空曲线的存在。
实际上,如果不用上述的这种几何语言,而是采用诸如相对于哪个参考系而言的速度之类的语言,则不能简洁的说明问题,因为相对于非惯性系,利用坐标得出的光速值有可能就不是我们熟悉的那个约每秒三十万公里了。
虽然如此,但科学家却在广义相对论中找到了一些闭合类时曲线的存在,这种曲线所代表的含义就是,你可以在不违背相对论的情况下,返回过去。简单来说,比如你在三维空间里行走,你可以毫不费力的返回原点(比如圆周运动即可),如果你在时间维度上也能进行“圆周运动”呢?也即是你在四维时空上能够产生一条闭合的类时世界线,也就是回到过去。但显而易见的是,这仅仅是理论上的可能,目前来看,实际上很难制造出来。

虽然广义相对论中也不允许类空曲线的出现,但同样的我们也可以穿越未来,利用的是引力时间膨胀效应(这一点在电影《星际穿越》中表现的非常明显),在强引力的地方,时间流逝的会比较慢,因此我们可以在一些黑洞的附近“转悠几圈”,来减缓自身的时间流逝速率(当然了,自己是感觉不到的),之后再回到地球,同样会发现,地球上已经过去了相当久远的时间。

总的来说,什么“速度达到光速,时间静止;速度超越光速,时间就会倒流”,只是一个错误的认知而已。因此,关于“超越光速就能回到过去”的说法,就是一个谣言而已。
本篇文章的内容到此结束。
谢谢各位阅读!
以后还会不断更新精心准备的通俗科普长文
本文由赛先生科普原创,欢迎关注,带你一起长知识!