雅思官网于今日发布了2020年雅思考试、用于英国签证及移民的雅思考试,报名截止日期、准考证打印日期和成绩单寄送日期。
2020年准备踏上屠鸭之路的烤鸭们,快来关注收藏,安排自己的备考时间,为自己的分手之路做第一手准备!

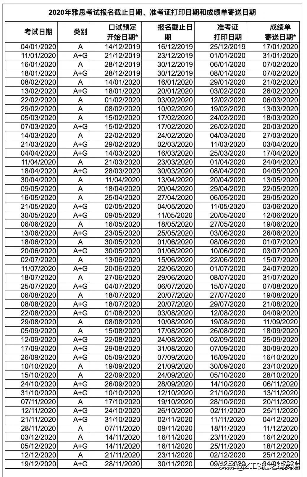
2020年雅思考试报名截止日期
准考证打印日期和成绩单寄送日期

<<点击大图查看>>
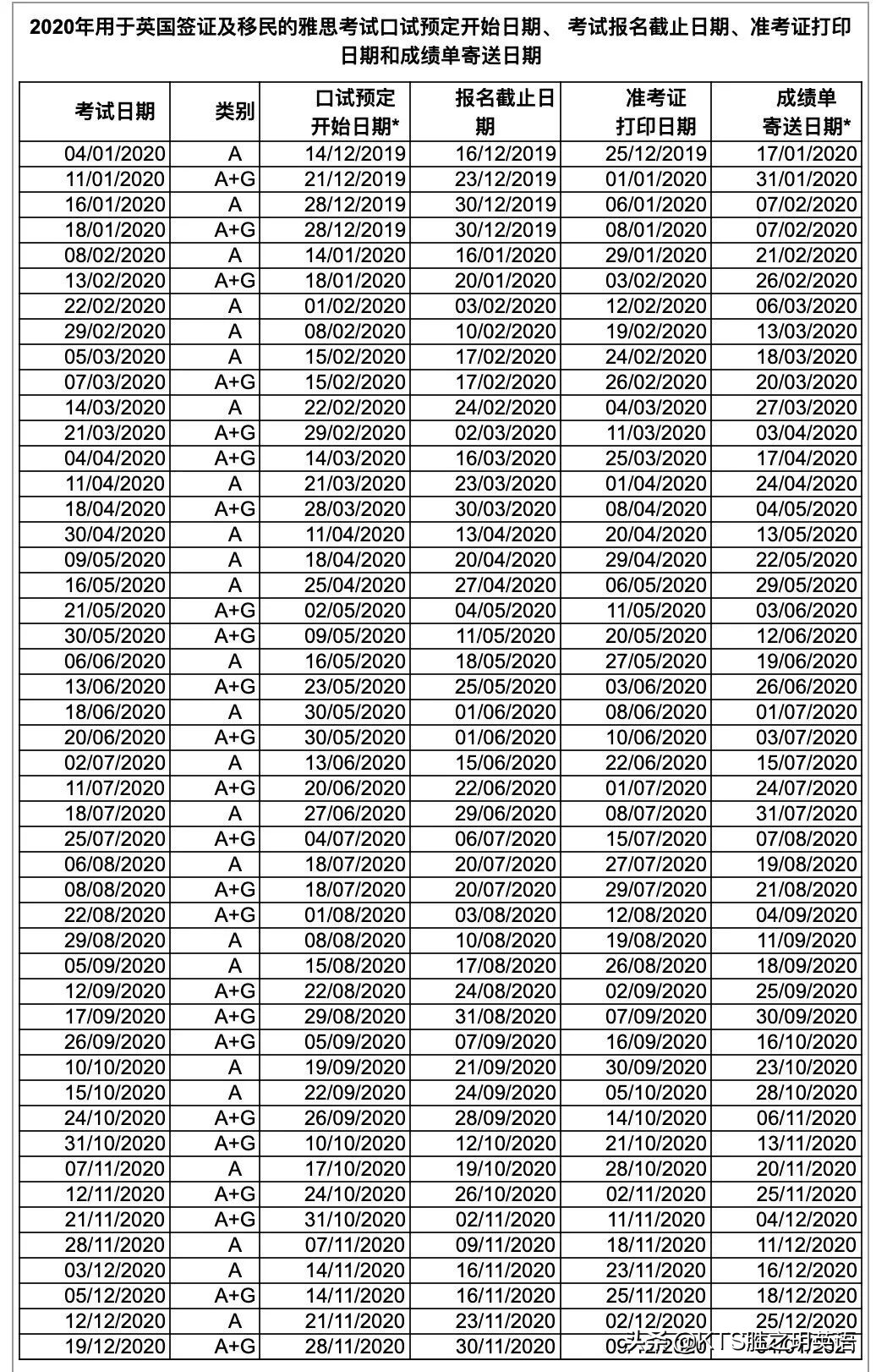
2020年用于英国签证及移民的
雅思考试口试预定开始日期
考试报名截止日期
准考证打印日期和成绩单寄送日期

<<点击大图查看>>
虽然2020年起,雅思考试费用涨价了:
雅思考试费(含税金额):2,170元人民币
用于英国签证及移民的雅思考试费(含税金额):2,220元人民币
但是该屠鸭还是要努力屠鸭哦。烤鸭们可以登陆中国教育部考试中心雅思报名网站查询,目前2020年第一季度(1-3月)已经开放报名了。
近期有考试安排的烤鸭们可以安排起来啦,祝各位宝宝屠鸭顺利!

最后的最后,考雅思并非只是单枪匹马的努力,老师和同学的监督学习也同等重要!
如果你正在处于备战的瓶颈期,KTS可以帮到你。

—END—
KTS(Key to Success)专注留学英语和高端商务英语培训,行业内首推“英语规划师”概念,实行一对一学习督导服务,为学员定制和规划学习方案;同时自创“PLP”教学产品线,自主研发了iTask一系列线上任务包。
添加VX咨询:selena123-hong
更多留学资讯、干货经验、资料福利
欢迎关注公众号:KTS胜之玥留学英语/KTS胜之玥英语