“亲爱哒,今天是什么日子鸭?”
“当然知道啦~”
“那你还不表示表示?”
“因为我早已准备好——水果派!”
“??”
(白色情人节是要吃水果派吗?)
“今天是π day耶~
π day 吃派,谁都不爱~ ”
?!
!!
∵ π ≈ 3.14
∴ 3月14日又称“π日”(Pi Day),证完.
01
π Day 的来源
很久很久以前——1988年3月14日,在旧金山科学博物馆, 物理学家Larry Shaw 带头整活——让大家绕博物馆纪念碑转了 3又1/7圈(π的近似值) ,然后一起吃了 水果派 (派,即π)。从此以后,这就成了旧金山科学博物馆的传统。2019年11月26日,联合国科教文组织正式宣布3月14日为 “国际数学日” ,旨在庆祝 “数学在我们日常生活中的美丽与重要” ,所以今年是第三个“国际数学日”哦~

02
人与人吃pi的方式
并不相同
同一个世界同一个π——世界的圆不论大小,它的 周长与直径的比值 都是一样的;然而不同的人有着不同的“吃法”。今天,我们就来盘点一下,那些经典的吃pi π方法。

几何人:我爱夹心派
几何人最经典的“ 割圆法 ”有着悠久的历史。以古希腊的数学家阿基米德(前287年-前212年)为代表,他在一个圆里做 内接正多边形 。随着 边数的增加 ,这个正多边形将 越来越接近圆 。因此,只要算出正多边形的周长,再除以圆的直径,便能得到π的近似值。由于两点之间 直线段比曲线段更短 ,所以内接多边形的周长一定小于圆的周长——因此,由内接正多边形算出来的,一定是π的 下界 。同理,若在圆外做 外切正多边形 ,便能得到π的 上界 。真正的π,就在两者之间。

几何人最爱的“夹心派”方法
来源:www.piday.org
阿基米德一直划分到了 96边形 ,得到的π值在3.1408和3.1429之间——这个精度已经可以解决许多实际问题了。值得一提的是,公元480年左右,我国古代数学家 祖冲之 用这个方法将π值精确到了 小数点后7位 ,这个记录持续了 近800年 。就这样,人类在划分正多边形的路上一去不复返——16世纪的荷兰数学家鲁道夫终其一生,将π算到了 小数点后35位 。这对应的正多边形的边数达到了 2^62 ——也就是 正 4611686018427387904边形 。

(圆:有考虑过我的感受么?)
当然,算完这个的鲁道夫也是非常有成就感,还把3.14159265358979323846264338327950288刻在了自己的墓碑上。这也是为什么,今天德国人常常称圆周率为“ 鲁道夫数 ”。

分析人:我爱无穷派
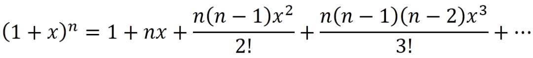
几何人的割圆法简单直观,就是太——费劲。所以到了 1666年 ,23岁的牛顿引入了一种全新的方法后,没有人再执着于割圆了。彼时彼刻正如此时此刻——疫情横行(英国瘟疫爆发),赋闲在家的牛顿就寻思: 整点啥活 呢?那就从最简单的二项式开始吧:

这是当时的人们已经知道的二项式定理,但认为 n只能取正整数 。所以牛顿想要拓展它,去寻找新的边界。
其实观察一下系数的形式不难发现,只有当n取正整数时,展开式的项数才是 有限 的;所以,当牛顿把n换成了 负整数 和 分数 后,本来是有限项的二项式,就变成了一个 无穷级数 。在证明了n的确可以取负整数和分数后,他非常开心——因为他脑海里还有另一个方程:

也就是

牛顿:艾玛,这不就是我的二项式定理嘛(

艾萨克·牛顿
来源:baijiahao
所以,当二项式定理中的 n取1/2 , x换为(-x2) 时,就有了y的无穷级数表达式:

可是这和π有什么关系呢?还记得“ 流数术 ”吗——也就是微积分,牛顿刚好在前一年把它提出来。这不,趁热将微积分与无穷级数配合食使用:左边将y从0→1积分,得到 1/4个圆的面积 ,也就是 π/4 ;而右边每一项,都是简单的幂函数求积分。积分后就能得到π的无穷级数表达式,可以精确到小数点后任意位数:


从此以后,π的求解打开了新世界的大门。
利用三角/反三角函数的级数表达式,π的计算得到了更简练、也更实用(更快收敛)的表达。其中,最具应用价值的应该是1706年,英国数学家梅钦(John Machin)提出“ 梅钦公式 ”,直接将π值的计算突破 100位小数 大关:

接下来,许多“类梅钦公式”如同雨后春笋般涌出,形式与上式一致,仅仅是系数和项数的调整。 人工计算圆周率的最高纪录是π的小数点后808位 ,由弗格森(英)和伦奇(美)于1948年共同发表。

计算机: 吃得越多越能耐
紧接着自然而然地,到了计算机时代。然后自然而然地, 人类开摆,计算机开始比赛 !这里小编为大家罗列了一部分 里程碑事件:
1950年
世界第一台电脑ENIAC计算出π的 2037 个 小数位,用时 70小时 ;
1955年
海军兵器研究计算机IBM NORC 计算出π的 3089 个小数位,用时 13分钟 ;
1973年
电脑CDC 7600 计算出π的 100万 个小数位;
1989年
巨型电子计算机Cray-2和IBM-3090/VF计算出π的 4.8亿 个小数位;
2010年
日本科学家近藤茂将家用计算机与云计算结合,计算出π的 5万亿 个小数位;
2019年
3月
谷歌工程师爱玛利用谷歌云平台计算出π的 31415926535897 个小数位(约 31.4万亿 ),历时 4个月 ;
2021年8月
瑞士DAViS团队创下最新记录,将π计算到小数点后 62.8万亿 位,历时 108天 。
眼瞅着这精度逐渐走向离谱......其实对计算机来说,π究竟是多少无所谓的,重要的还是通高精度计算来 测试计算机处理能力。 如果你还好奇 计算机是用什么公式计算π 的,欢迎快进到参考文献[9],试试用自己的电脑能不能算叭!
π:没戳,我的精度就是(电脑的标)尺!

来源:新浪微博

物理人:一切皆可派
在物理人眼里,π是多少也无所谓,重要的还是 和小滑块一起玩 (bushi
所以, 我们是否可以让小滑块自己 撞出一个π 来呢?

假设一个质量为 m 的小物块在一光滑水平面上,左边是墙,右边是一个质量为 M = Nm 的大物块(N > 1)。假设向左为正方向,碰撞为完全弹性碰撞。初始状态下,小物块静止,大物块速度为v > 0。假设小物块与大物块第i 次碰撞后,二者的速度分别为为ui和vi, 于是第i 次小物块与墙壁碰撞后速度为−ui。

大小物块碰撞模型
来源:3Blue1Brown
由 能量守恒定理 :

我们发现第二个方程是一个形如x+y=1的圆方程,这意味着 每一次碰撞后的大小物块的速度,都对应单位圆上的一个点 。设

于是大小物块运动状态对应的点就在单位圆上折返前行,从最右侧到最左侧。

接下来要求这个过程中小物块总的碰撞次数,这个运用一下 动量守恒定理 就ok啦:

由此可以看出, 相位角α在每次碰撞后都改变了相同的角度 !因此,单位圆会被这些状态点按角度均匀分割。当N →∞时,

有

这里我们考虑到半圆对应的相位角为π, 当状态点对应的相位角α增加到π 时, 碰撞过程就停止 了,i就是总的大小物块间的碰撞次数。需要注意,因为碰撞次数i只能取 整数 ,所以第二个等式只是近似相等。
由上面的公式,小物块与大物块的碰撞总次数为0.5πN, 而小物块与墙也会碰撞这么多次,所以整个过程中,小物块碰撞次数为πN。当 N取100的幂次方倍 时,小物块的碰撞次数就会显示出圆周率啦。

喵星人:吃派属于常态
终于,在小编要收工的时候,卫生间里传来了一阵熟悉的诡秘声音——

《 世 界 名 画 》
来源:见水印
以前总觉得这是“ 没有一只猫咪抵挡得住卫生卷纸的诱惑 ”;而今天看来…… 猫咪极有可能是在计算π !所用的公式大概就是——卷纸的总长度为

其中n为卷纸的层数(中间变量),

算得

l——卷纸总长度
R——卷纸外径
r——卷纸内径
t——单张卷纸厚度
所以只要测出了以上四个量,就能估计π值了!所以猫主子咬卷纸=测量卷纸半径R和r,猫主子把卷纸缠身上=测量卷纸总长度l——猫主子喜欢玩卷纸的谜团解开,以后请不要打扰它!

毕竟小猫咪能有什么坏心思呢?
来源:TIGGER FUNNYWORKS

“这题我会哦,喵~”
来源:腾讯网
写在最后

看到这里的都是真爱
话不多说
就让我们一起
吃个pi庆祝一下吧~

参考文献
-
高质量科普:人类是如何计算出圆周率的?(双语字幕)_哔哩哔哩_bilibili
-
【官方双语】为什么方块碰撞能够用来计算π?_哔哩哔哩_bilibili
-
What is Pi? | Pi Day
-
鲁道夫·范·科伊伦_百度百科 (baidu.com)
-
国际圆周率日_百度百科 (baidu.com)
-
$pi$ and its computation through the ages (free.fr)
-
The constant (free.fr)
-
The geometric period (free.fr)
-
y-cruncher - A Multi-Threaded Pi Program (numberworld.org)
-
超级计算机历时108天创下纪录 圆周率精确到小数点后62.8万亿位_新闻频道_央视网(cctv.com)
-
圆周率(圆的周长与直径的比值)_百度百科 (baidu.com)
-
圆周率π的发展历史,人类为何对它如此痴迷?- 知乎 (zhihu.com)
特别鸣谢:平平无奇小叶榕, Eric
表情包来源: 网络
编辑:蕉