古有渡劫飞升,今有超人打架,每一个会飞的物体都是人类向往和崇拜的对象……

极具浪漫主义

超人打的是谁?
但大神们开始将梦想与现实结合的时候,开始从现象向本质去探索,历经磨难,大开脑洞,终于腾空而起,诞生了飞行器,从最初的离地几米到冲出地球,冲向宇宙,神话变成了现实。

是什么能让重于空气的航空器在空中飞行?今天我们就来聊一聊升力。

感觉这是一架不正经的飞行器
一、升力的产生
升力,就是向上的力,再直白一点就是使你上升的力。那么,到底为什么飞机能获得这个升力,而地上的板砖扔出去却没有升力呢?这就涉及到升力的产生机理问题了。升力的成因较复杂,在漫长的科学发展过程中,衍生出了诸多理论。

两位大神的真容,怎么外国人长的都一样
最广泛的一种理论,也被称为“长距理论(Longer Path)”,或“等时理论(Equal Transit Time)”。这种理论解释说,气流在机翼前段被分为上下两个部分,最后在机翼尾部汇合。但机翼上下表面形状是不对称的,气流沿机翼上表面运动的距离更长,自然流速更快,根据伯努利定理,速度越快,气压越小,上下表面的压力差就提供了升力。由于这个理论主要依赖于“伯努利定律”,故称“伯努利派”。

机翼升力图
另一个广泛流传的理论,有人称为“漂石理论(Skipping Stone)”。这种理论认为,升力来源于空气对机翼底部的反作用力,就像打水漂一样,石子在快速滑过水面时,会排开水体从而获得反向的作用力重新离开水体,飞机在飞行时不断向下推开空气,从而依靠反作用力获取升力。由于这个理论主要依赖于牛顿第三定律,故称“牛顿派”

大爷不愧是大爷
对于“伯努利派”而言,升力的产生来源于机翼上下表面的压力差,对于“牛顿派”而言,升力的产生来源于飞机偏移了气流方向从而产生的反作用力。
毫无疑问,伯努力定律当然不错,牛顿定律也不会错。这个两个理论之所以流传甚广,自有其合理之处。为什么现在很多论调都在说这两个理论有问题呢?错误出在哪呢?

复杂的气流
在于使用中都过度简化的应用了伯努利方程和牛顿第三定律。实际中,物体在气流中的受力时非常复杂而无法简化的,简化完算的肯定出问题。但无论如何复杂,依然要遵守动量守恒定律和能量守恒定律,这是不变的真理。
说句题外话,无论哪个流派,非要分出个高下,本身就犯了根本上概念的错误。在经典力学范畴内,所有稀奇古怪的定律都无非是牛顿定律(详见《「每天一点无人机」原理是什么?就是你飞的再牛也要遵循的道理》)在某些特定条件下的应用,伯努力定律本身也是牛顿力学基本原理在流体运动这一特殊场景中,基于一大堆前提,经过推导得到的结论。

牛顿不好惹
当今科技发展得如此之快,尤其是航空技术,从莱特兄弟算起也过了110年,飞机早已不算是新鲜的东西了。然而我相信,没什么科学原理会比升力原理的争议还要大。随着计算机技术和空气动力学理论的不断发展,升力理论也得到了巨大的发展,我们发现在不同的飞行速度下和环境中,还要考虑实际流体的粘性、可压缩性等一大堆让人头大的条件,航空界常用二维机翼理论就有库塔条件、绕翼环量、库塔-茹可夫斯基定理和伯努利定理。

飞行涡旋
那我们经典的伯努力定律还能不能用呢?

答案是伯努力定律只适用于低速情况(0.2~0.3马赫以下,也就是速度在360公里/小时以下,空气近似不可压缩),此时可以认为伯努力定律主导了飞机产生升力的机理。随着马赫数升高,压缩性效应逐步凸显时,例如在超声速飞行时由于空气是可压缩的,伯努利定理不成立。此时无环流运动,升力主要靠机翼上下表面的激波所导致的压力差,就不能将产生升力的机理归于伯努力定律了。也就是说,我们研究的民用无人机范围的升力产生机理可以放心的用伯努力定律。
好的,我们用这个角度来分析一下升力。
牛顿曰(终于没鲁迅和孔子什么事了),有受力物体必有施力物体。

鲁迅说过
因此,无论升力成因多复杂,有一点可以明确,飞机受到的升力,是空气施加的,且由于飞机的表面是个曲面,也就意味着每一点都有切向和法向。我们说法向的作用力,我们称为压力(其实就是升力),而切向的作用力我们称为摩擦力,气动力就是这两个力的合力。我们把空气作用在飞机表面每个点的合力加起来(也就是求积分),就得到了飞机从空气得到的总气动力。所以飞机的气动力,一般会被分解为两个分量,就是升力和阻力。

气动力分解示意图
而且摩擦力的大小会比压力(升力)小1~2个数量级,在升力方向的贡献微乎其微。所以说,飞机的升力是由机翼上下表面的压力差产生的,原则上是正确的。所以,飞机升力的主要来源就是压力差,不是摩擦力,不是意志力,更不是想象力,这是对升力性质的界定。

压力差
一、升力公式
首先我们回顾一下伯努利原理。伯努利原理实质是流体的机械能守恒,即:动能+重力势能+压力势能=常数。其最为著名的推论为:等高流动时,流速大,压力就小。即由不可压、理想流体沿流管作定常流动时,流动速度增加,流体的静压将减小;反之,流动速度减小,流体的静压将增加。但是流体的静压和动压之和,称为总压始终保持不变。
根据伯努利定理,升力是飞机的机翼与空气做相对运动时,由于机翼上下表面之压力差所升成的力,因此,升力不是一个单纯的、原生的力,而是一个把所有压力加总起来的合力,它垂直于飞行轨迹和横轴,在水平飞行中升力的方向与重力相反。
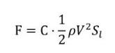
对飞行器来说,升力就是用来抵抗重力的性能表现,当飞行器的升力大于重力时,飞行器会产生向上的加速度,换句话说,就是爬升率的增加。若是升力与重力相同时,飞行器的垂直速度是不会改变的。如果机翼有一定的迎角(小于临界角),则上下翼而压强差更大升力将更大。具体的升力公式:

升力公式
其中,C为升力系数,V为空速,S为机翼面积,ρ为空气密度。
二、迎(攻)角
相对气流方向与翼弦所夹的角度叫迎角,也叫攻角。在飞行速度等其它条件相同的情况下,得到最大升力的迎角,叫做临界迎角。在小于临界迎角范围内增大迎角,升力增大;超过临界临界迎角后,再增大迎角,升力反而减小。迎角增大,阻力也越大,迎角越大,阻力增加越多:超过临界迎角,阻力急剧增大。

飞机迎角示意图
要有升力,翼型则必须要有攻角或是弯度。有弯度的翼型,其零升攻角不为零,也就是说在攻角为0度时,有中弧线的翼型有升力。而对称翼不具有中弧线,所以在攻角为0度时没有升力,必须要有攻角,翼型才能提供升力。

翼型的升力与攻角
攻角易与俯仰角搞混。俯仰角是指机翼弦线与水平面间的夹角,而攻角是指机翼弦线与来流之间的夹角,也可以理解为机翼俯仰角与机翼运动方向的夹角。当飞机水平飞行时,攻角等于俯仰角;不是水平飞行时,攻角不等于俯仰角。
计算公式:攻角=俯仰角-机翼运动方向与水平夹角

攻角和俯仰角的区别
有人用对称翼型或平板反驳伯努力解释,这是不对的,例如纸飞机。对称翼型在对称流场(零迎角)时确实不会产生升力,上面已经提到了。但在有迎角时,对称翼型可以产生升力。此时,以来流作为参考,翼型的几何形状其实已经不对称了,前缘驻点会移动到翼型的下表面,上表面气流的路程确实更长。同理,飞机可以倒飞(upside down)也是这个道理。
三、飞行速度
1.飞行速度分类
飞行速度是指飞行器单位时间内飞经的距离,是航空器重要的飞行性能之一。航空器飞行速度的度量有表速、空速和地速之分。通常说的飞行速度指的是空速。
(1)表速
空速表上显示的飞行速度。它是空速表通过测量气流总压与静压之差而间接测出的航空器相对于未扰动大气的飞行速度,即仪表速度。空速表的刻度是针对大气的标准状态设计的,没有考虑大气密度随高度的变化。表速是对气流动压(速压)的度量。飞机在起飞、着陆时,为保证安全,动压不得低于某一极限值,因此表速主要供驾驶员使用。

空速表
(2)空速
由表速经过修正得出的飞行速度,又称真速或真实空速。由于大气密度、压强、温度随高度的变化,加上空速管的安装位置、空气的粘性、仪表的机械摩擦和间隙及飞行姿态等原因,测得的表速会有一定的误差。修正这些误差后才能更准确地反映出航空器相对于周围空气的运动速度。
(3)地速
航空器相对于地面坐标系的运动速度,它是空速与风速的向量之和。无风飞行时,空速就是地速。

一个靠空速,一个靠地速
飞行速度越大,空气动力(升力、阻力)越大。因为飞行速度愈大,机翼上表面的气流速度将增大得愈多,压力降低愈多。与此同时,机翼下表面的气流速度减小得愈多,压力也增大愈多。于是,机翼上、下表面的压力差愈加相应增大,升力和阻力也更加相应增大。实验证明:速度增大到原来的两倍,升力和阻力增大到原来的四倍;速度增大到原来的三倍,升力和阻力增大到原来的九倍。即升力、阻力与飞行速度的平方成正比例。
2.飞行速度相关参数
一定的飞行器只能在预先设计的最小速度和最大速度范围内飞行,越过这个范围时,飞行就不安全甚至不能持续。对航空器来说,还有上升速度、离地速度、接地速度、下降速度和巡航速度等参数。
(1)上升速度
上升速度,也叫上升率、爬升率、爬高率,指飞机在单位时间内上升的高度。以米/秒或米/分计算。飞机在某一高度上,以最大油门状态,按不同爬升角爬升,所能获得的爬升率的最大值称为该高度上的"最大爬升率"。以最大爬升串飞行时对应的飞行速度称为"快升速度",以此速度爬升,所需爬升时间最短,也最省油。飞机的爬升性能与飞行高度有关,高度越低,飞机的最大爬升率越大,高度增加后,发动机推力一般将减小,飞机的最大爬升率也相应减小。达到升限时,爬升率等于0。

这个爬升估计要吓死
(2)离地速度
离地速度是指起飞滑跑结束时,飞机离地时的瞬时速度。最小离地速度,是指不呈现任何危险特征,飞机能进行离地后继续起飞爬升,不会出现机尾触地危险的速度。

离地速度
(3)接地速度
接地速度又称着陆速度,是飞机从开始着陆到接地,需要采取的速度。它包括进场操作速度、进场速度、进场着陆速度和接地速度,接地速度过大会造成弹跳和机体损伤。

接地就是着陆
(4)巡航速度
巡航速度是指飞机在进入预定航线后连续飞行(即巡航)时所采用的速度,通常认为此速度下能最省油、经济。巡航速度是根据机体重量、飞行高度、外气温度、发动机功率状态等参数确定的,因此表示有人机巡航速度时不能单纯地使用速度,同时还要给出构成其背景的各种条件,无人机可相对要求较少。

飞机巡航速度
四、空气密度
空气密度指的是在一个标准大气压下,每立方米空气所具有的质量(千克)。常温下大约是1.21~1.25千克.同时,也指在一定的温度和压力下,每立方米空气所具有的质量就是空气密度。
空气密度在0摄氏度、绝对标准指标下,密度为1.293kg/m³。中国国家标准规定的标准大气压,采用海平面温度为15℃,气压为1013.25百帕,密度为1.2250Kg/m³;在11千米以下,高度每增高100米,温度降低0.65℃;在11~20千米,温度保持-56.5℃。这样规定的标准大气压,与中国中纬度(北纬45°)实际大气十分接近。
空气的密度大小与气温,海拔等因素有关,海拔越高密度越低。空气密度大,空气动力大,升力和阻力自然也大。这是因为,空气密度增大,则当空气流过机翼,速度发生变化时,动压变化也大,作用在机翼上表面的吸力和下表面的正压力也都增大。所以,机翼的升力和阻力随空气密度的增大而增大。
实验证实,空气密度增大为原来的两倍,升力和阻力也增大为原来的两倍。即升力和阻力与空气密度成正比例。显然,由于高度升高,空气密度减小,升力和阻力也就会减小。
五、机翼面积
机翼面积是单纯机翼的投影面积,一般不包括机身。机翼面积是整个飞机气动力数据的参考物,而气动力数据则是飞机进行详细设计的基础。

机翼面积
由于在同一技术水平下机翼的升力系数差别不大,因此机翼面积就成了衡量飞机产生升力的能力的重要指标。同时,机翼面积的大小,还影响着机翼的内部布置和机翼的结构重量。一直以来都有这个说法:机翼的设计水平决定了飞机80%以上的性能。在世界上能够设计机翼的国家比能够设计飞机的还要少。
六、升力系数
飞机的升力与升力系数成正比,升力系数是迎角的函数。在一定范围内,迎角越大,升力系数也越大。但是,当迎角超过某一数值(称为临界迎角),升力系数反而开始减小,当超过临界迎角时,分离区扩及整个上翼面,阻力系数急剧增大。这时飞机就可能失速。

升力系数与迎角的关系
七、失速原理
失速不是指失去速度,而是指机翼攻角增加到临界值时翼型所产生的升力突然减小的一种状态。攻角达到临界值,飞机再也无法获得足够的升力,于是开始坠落,这点的速度称为失速速度。
其原理是如果机翼的迎角大到了一定程度,靠近机翼翼面附近的气流在绕过上翼面时,由于自身粘性的作用,流速会减慢,甚至减慢到零,而上游尚未减速的气流仍然源源不断地流过来,减速了的气流就成为了阻碍,最后气流就不可能再沿着机翼表面流动了,它将从表面抬起进入外层的绕流,这就叫做边界层分离。当气流从机翼表面抬起时,受外层气流的带动,向后下方流动,最后就会卷成一个封闭的涡,叫做分离涡。像这样旋转的涡中的压力是不变的,它的压力等于涡上方的气流的压力。而涡上方的气流流线弯曲程度并不大,所以其压力与下翼面的压力相比小不了多少,这样机翼的升力就比原来减小了。这种情况就形成了失速,对应的机翼迎角叫做失速迎角或临界迎角。

分离涡的形成
失速之后的机翼气动效率极低,已经不能够产生足够的有效升力。所以对现在的飞机,都要求在临界迎角以下一定范围内飞行,不允许靠近更不允许超过,以避免发生尾旋等危险。
今天我们分享了升力的一些知识,希望能帮大家梳理一下民用无人机升力的产生机理和影响因素。不过,实际上,“飞”不一定要靠伯努利原理,飞行界有一句经典的话:“只要动力足,板砖也上天!”实际上只要装上推力足够大的引擎,任何东西、包括洗衣机,都可以飞起来。这要提到另一个概念——推重比,但这跟今天主题有些偏差,以后再提。
视频加载中...
只要动力足,门板也能上天
