在学习了幂的运算的两个基本公式:同底数幂的乘法和幂的乘方两个基本公式之后,今天我们即将学习一个新的公式:积的乘方。

什么是积的乘方呢?
从字面意思来理解,在一个整式的运算中既有积的运算,又有幂的运算,那么这样的整式该如何运算呢?本小节我们就来学习和探究这个问题。
先尝试着完成一组运算:

观察上述算式计算前后底数和指数各有什么关系?你发现了什么?
先用自己的语言概括:

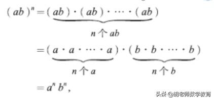
来看看积的乘方的公式的推导过程:

积的乘方公式表述如下:

在运用公式的时候需要注意什么问题?
1.注意积的乘方的特征:
积的乘方底数是几个代数式的积,注意是积而不是和,计算的结果依然是积的形式。
字母的系数不要漏掉乘方;注意符号,负数的偶数次幂为正,负数的奇数次幂为负。
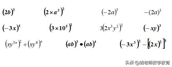
运用积的乘方的公式完成下列练习:

2.要注意灵活运用公式:
对公式要学会灵活运用,要学会逆同公式。

注意:在逆用积的乘方的运算法则时,要注意灵活运用,若底数互为倒数,则可适当变形,使它们的指数相同,从而简化计算。
完成下列练习:

本章节讲解视频:
视频加载中...
练习题:

答案解析:


如果觉着有用,别忘记点赞、评论、收藏和转发。