2021年7月28日是全球第11个“世界肝炎日”,世界卫生组织的宣传主题是“消除肝炎,时不我待”。我国的宣传主题是“消除肝炎,主动检测,规范治疗,全面遏制肝炎危害”。
目前肝硬化治疗现状

肝炎导致的肝硬化在代偿期由于临床表现不明显,患者通常被发现时已到肝硬化的失代偿期,此时,一般只能采取保守治疗,但效果不突出。
除此之外,肝脏移植也是失代偿期肝硬化行之有效的治疗方法,但肝脏供体来源受限、免疫排斥等问题影响了肝脏移植在临床上的广泛应用。

随着生物医学的发展,间充质干细胞成为治疗失代偿期肝硬化临床研究的一种新的手段,临床研究数据显示,间充质干细胞治疗可以改善肝功能,减轻肝纤维化,降低肝硬化患者发生肝衰竭的概率,提高患者存活率。
间充质干细胞治疗失代偿期肝硬化的可能机制

1、旁分泌途径: 在肝损伤环境中,间充质干细胞可以分泌不同水平的细胞因子如肝细胞生长因子(HGF)、胰岛素样生长因子1(IGF-I)、IL-10等,表现出抗炎症反应的作用,促进肝细胞再生;
2、免疫调节作用: 间充质干细胞可通过免疫调节和炎症抑制的作用,抑制T淋巴细胞、B淋巴细胞的增殖,促进抑制性细胞因子分泌,减少炎症性细胞因子产生,从而减轻肝脏炎性反应和肝细胞的破坏;

3、减轻肝纤维化: 间充质干细胞可抑制肝星状细胞的活化、增殖,并促进其凋亡,同时促进肝细胞的增殖;
4、细胞分化: 间充质干细胞可在肝脏损伤微环境的影响下定植、增殖,并分化成肝样细胞或与驻留细胞融合;
国内外已经有多项干细胞治疗肝硬化的临床试验,其中包括脐带间充质干细胞等在内多种间充质干细胞的应用。
我国干细胞治疗肝病取得良好疗效

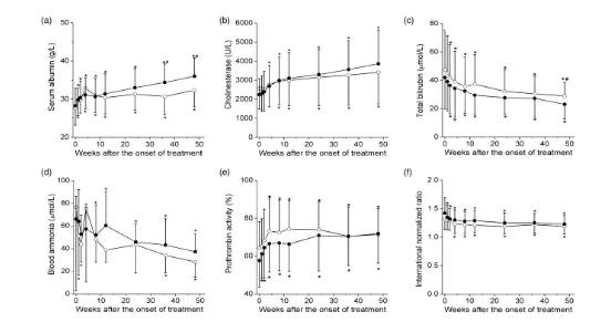
我国王福生院士利用脐带间充质干细胞治疗失代偿期肝硬化的临床研究显示[1],脐带间充质干细胞治疗能有效提高肝功能。在这项研究中,45例慢性乙肝患者被分为2组,其中1组30人使用脐带间充质干细胞进行治疗,并作为实验组,另外一组15人使用生理盐水注射作为对照组。一年后的临床结果表明治疗组没有任何不良副作用,同时各项指标相较于对照组显著降低。

我国解放军第105医院的研究团队使用脐带间充质干细胞治疗失代偿期乙肝肝硬化的研究显示出了良好的疗效[3]。研究纳入了60例乙肝肝硬化患者,其中20例接受单次间充质干细胞肝内移植治疗,20例接受多次细胞移植治疗,另外20例接受常规内科治疗。间充质干细胞移植的方法是使用肝内门静脉穿刺移植间充质干细胞,移植治疗期为1-3次。

结果显示,随访12个月内,多次移植治疗组的患者肝功能改善程度显著比单次移植治疗组好。另外在随访24与36个月时发现接受多次干细胞移植患者肝功能指标进一步改善,并发症发病率明显减少。
未来展望

干细胞治疗可以减轻肝脏炎症,改善肝功能。对于重症肝病患者,临床治疗的重要手段是肝脏移植、人工肝等。当前肝脏供不应求的现象十分显著,在国内供需比甚至达到了1:30的严峻比例。随着再生医学和干细胞技术的发展,人类肝脏再生取得了很大的研究进展。相信未来,无论是肝炎还是需要肝移植治疗的重症肝病,都会迎来更好的治疗局面,造福更多的肝病患者。