在阅读此文之前,麻烦您点击一下“关注”,既方便您进行讨论和分享,又能给您带来不一样的参与感,感谢您的支持。

文 | 晓池扶玥
编辑 | 晓池扶玥
前言
首次介绍了合成和表征Fe@C-CNx组成的混合荧光超顺磁核壳粒子的过程。制备的Fe@C-CNx混合纳米颗粒表现出多功能性,即在紫外-可见光范围内受光激发后,在500纳米处表现出强烈的超顺磁性和明亮的荧光发射。
Fe@C-CNx还表现出与纯无定形CNx相当的有机染料降解光催化活性, 并通过磁分离可重复使用 。核壳结构的Fe@C-CNx纳米颗粒的磁性和荧光性质的结合为它们作为传感器和可磁控可重复使用的光催化剂提供了应用机会。
通过溶液中的氰尿酸氯与氮化锂发生原位化学反应,对共价*能官**化的琥珀酰-Fe@C核壳纳米颗粒进行了涂覆,形成无定形碳氮化物(CNx)的壳层。对合成的混合纳米颗粒的微观结构、磁性和荧光性质进行了详细的物理化学表征。

更高超顺磁性能的替代材料
磁性纳米颗粒因其在癌症治疗等生物医学应用中的独特性质而引起了极大的兴趣,它们结合了靶向药物传递和热疗的功能。超顺磁性氧化铁纳米颗粒(SPIONs)以磁铁矿(Fe3O4)和红赤铁矿(γ-Fe2O3)的形式被广泛用于此目的。
最近还探索了具有更高超顺磁性能的替代材料, 例如铁碳化物和碳包覆。碳包覆的Fe纳米颗粒,Fe@C,表现出强烈的超顺磁性能,并被用作MRI对比增强剂。
核壳纳米结构中碳壳的存在非常重要,因为该壳可作为对抗生物体液中化学成分的磁性核心的保护性涂层,并对pH变化不敏感。碳壳还使颗粒在化学环境和处理过程中保持稳定。

碳壳的存在为在碳表面引入功能基团提供了机会。已经开发了一系列碳材料和基于碳的纳米颗粒的功能化方法。这些方法涉及通过物理吸附化合物(例如聚合物)的非共价功能化,或者通过氧化途径共价引入功能基团。
氧化功能化过程伴随着Fe@C颗粒中 Fe核的氧化和超顺磁性能的降低。 通过碳-碳键的强化学作用,在表面碳网络和功能基团之间引入共价功能基团是首选方法。
两步反应与Fe@C纳米颗粒共价键合
不同的功能基团(例如氨基、羟基、炔基或马来酰亚胺基)已通过与芳香基重氮盐的两步反应与Fe@C纳米颗粒共价键合。该方法仅限于将芳香族基团与纳米颗粒的碳壳表面键合。

对于引入有机功能基团的简单高效方法的持续探索,以便进一步改变纳米颗粒的特性以满足特定应用的需求,是一个活跃的研究领域。
对于特定应用,纳米颗粒中的多功能性工程尤为理想。通过结合至少两种不同的物理化学性质,如光学(荧光)和磁性, 可以引入多功能性。
这种方法已经在生物医学多任务应用中得到探索,如感测和操作。在生物系统中成像磁性纳米颗粒时,通常使用适当的染料或化合物作为添加剂。

相同磁性颗粒具有荧光性质可以消除生物成像所需的有机荧光物质(染料)的添加。为了实现这个想法,可以采取基于在超顺磁金属和金属氧化物纳米颗粒上创建不同涂层壳层以产生混合材料的方法。
磁性纳米颗粒
在潜在的涂层材料选择中,CNx是一个有趣的选择,因为它展现出吸引人的光物理和催化性能的混合。该材料已被用于非常具有挑战性的 催化反应和光化学分解水 以及无金属的电化学氧还反应。
CNx是通过三聚氰胺的热分解和水热法合成的。虽然在这些过程中很难控制形态和纳米结构,但已经有一些尝试将CNx涂覆在不同颗粒上以获得混合特性。

为了制备琥珀酸酰过氧化物, 采用了之前报道的方法 。将10克琥珀酸酐细粉(Aldrich)加入20毫升冰冷的8%过氧化氢,并搅拌30分钟,直到所有粉末溶解并形成白色凝胶状溶液。
将溶液过滤到1微米孔径的PTFE膜(Cole Palmer)上,留下一层沉淀,用少量水洗涤后,空气中干燥10分钟。将白色过氧化物产物从膜上转移到玻璃瓶中,在室温下真空干燥24小时。

氮气氛中加热混合物
然后在氮气氛中加热混合物110°C,持续反应2天,并周期性地添加总计2.5克琥珀酸过氧化物。反应完成后,通过倒入大量氯仿并超声处理30分钟,然后进行过滤洗涤产物。最终产物,琥珀酰功能化的Fe@C,用THF和乙醇多次洗涤。
为了实现这一目的, 采用了通过氰尿酸氯与硝酸锂反应原位生成CNx的方法, 在此过程中,以琥珀酰功能化的Fe@C作为核心模板,在端羧基团的作用下为CNx球形纳米颗粒提供了锚定位点。

将硝酸锂(5.2毫摩尔)和氰尿酸氯(10.4毫摩尔)溶于150毫升干燥的二乙二醚中,并置于圆底烧瓶中,在氮气氛下回流反应24小时(方案1)。反应分别在有和没有加入琥珀酰功能化Fe@C的情况下进行。
反应产生的缓慢沉淀的黄色粉末经过滤除去二乙二醚,用乙醇和水洗涤,然后在真空烘箱中干燥。 使用琥珀酰功能化Fe@C获得的粉末再次在水中重新分散, 然后通过强磁铁将具有磁性活性的材料与非磁性的CNx副产物分离。

然后将溶液暴露于365纳米的Pen Ray紫外光线,强度为145微瓦/平方厘米,并在不断磁搅拌下进行反应。定期从反应混合物中取出测试样品,并通过0.2微米的PTFE膜过滤器将光催化剂除去。
使用紫外-可见分光光度计测量滤液的吸收光谱
傅里叶变换红外光谱(FTIR)谱图在使用装有金刚石ATR附件的Thermo Fisher仪器中以ATR模式获取。 样品放置在金刚石晶体表面,进行64次扫描,分辨率为4 cm−1。
功能化后Fe@C材料的晶体结晶性变化通过X射线粉末衍射图谱进行分析,该图谱是使用Rigaku D/Max Ultima II型仪器获得的,该仪器配有Cu Kα辐射源,工作电压为40 kV,电流为40 mA。

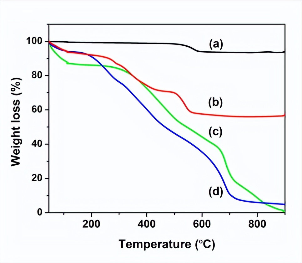
热重分析(TGA)实验使用TA Q500仪器进行,氮气作为净化气体,流量为40 mL/min,加热速率为10˚C /min,最高温度达到900˚C。将温度与重量的变化绘制成曲线。
功能化和涂覆CNx的Fe@C样品的形态学通过扫描电子显微镜(SEM)进行分析,使用JEOL场发射扫描电子显微镜JSM-7800。
通过在15 kV下进行EDS元素分析,与工作距离为10毫米,确定了原样品,功能化样品和涂覆CNx的Fe@C样品中 铁、氧、碳和氮的相对比例。

积分球用于漫反射测量
使用Quantum Design MPMS SQUID System测量了Fe@C的超顺磁性能,在进行功能化和涂覆CNx之前和之后的测量均在300开尔文下进行,采用动态模式在反极性条件下,最高磁场达到5特斯拉。
X射线光电子能谱(XPS)数据是在Physical Electronics PHI 7500 XPS光谱仪上收集的,使用Al Kα辐射源(1486.6 eV), 功率设置为350 W, 分析器通能量为23.5 eV。
荧光测量使用Horiba Jobin Yvon Fluorolog 3光谱荧光仪进行,配备单光栅单色仪和光电倍增管探测器,精度为0.5 nm。光吸收光谱数据在Shimadzu UV-3600 UV-VIS-NIR分光光度计上进行收集,配备有积分球用于漫反射测量。

样品准备在玻璃片上涂覆硅脂。光谱仪光栅发射的光正常入射到样品表面。测量范围在300-800 nm的光谱范围内进行。比较了Fe@C、琥珀酰功能化的Fe@C和涂覆琥珀酰功能化的Fe@C颗粒的ATR-FTIR光谱。
琥珀酰功能化确认了功能化过程
琥珀酰功能化的Fe@C光谱中出现 这些峰确认了功能化过程。 我们的结果与早先关于碳纳米管侧壁在与琥珀酸过氧化物反应时的非氧化功能化的报道一致。

通常使用的Fe@C颗粒的氧化功能化过程往往会氧化碳壳和金属核心。目前使用琥珀酸过氧化物的方法似乎对碳壳表面没有破坏性, 主要保持Fe核心的完整。
功能化的Fe@C纳米颗粒已经表面涂覆了CNx,以获取由此产生的混合颗粒的额外好处。通过不同方法制备的石墨化CNx材料已知具有荧光性质。
在二乙二醚介质中通过氰尿酸氯与硝酸锂的化学反应制备的球形CNx展现了比高温(460˚C - 650˚C)反应合成的石墨化CNx更高的荧光量子效率。

*能官**团的伸缩模式宽带引起的弱带也出现在光谱中
ATR-FTIR光谱如下所示:(a) Fe@C,(b) 琥珀酰功能化的Fe@C,(c) 琥珀酰功能化的Fe@C颗粒经过磁铁分离并涂覆了CNx。3342 cm−1处的NH和NH2(以及可能的OH)*能官**团的伸缩模式宽带以及2177 cm−1处由CºN*能官**团引起的弱带也出现在光谱中。
光谱还在2800 - 3000 cm−1区域 呈现了两个弱带, 并在1250和1735 cm−1处出现了较强的带,分别属于CNx涂覆的琥珀酰功能化Fe@C中琥珀酰基的CH2,C-O和C=O伸缩模式。

为了了解Fe@C颗粒的Fe核在功能化过程中是否发生氧化状态的变化,进行了X射线粉末衍射测定。原样的Fe@C和功能化的Fe@C粉末的XRD图谱,与铁及其氧化物的参考峰进行对比。原样粉末的分析显示42 - 44 2θ区域存在bccFe (110)和Fe3C (211)的峰。
荧光磁性核壳颗粒的简便化学方法
Fe3C峰保持完整, 而在Fe@C的XRD中没有出现其他显著峰。 这些数据表明,在琥珀酸过氧化物处理过程中,Fe@C粉末中的碳壳没有发生显著破坏。

SEM图像如下所示:原样的Fe@C(a),琥珀酰功能化的Fe@C(b),涂覆有CNx的琥珀酰功能化的Fe@C(c)。
显示Fe@C在900˚C下的总重量损失非常低(小于7 wt%), 这很可能是由于部分碳壳的降解, 其中包含了一个氧原子,导致CO2的消除。

结论
描述了一种合成杂化荧光磁性核壳颗粒的简便化学方法 。该方法采用一种特别温和的技术,对超顺磁性 Fe@C 纳米颗粒核心上的厚碳壳进行共价有机功能化,然后原位生成球形 CN x涂层。
本文描述的合成方法不仅为制备Fe@C基化合物而且为制备其他磁性金属核-荧光CN x 壳化合物提供了新的机会。
这些混合纳米结构的创建使这些化合物在利用磁性和荧光特性的不同应用中独一无二 ,使其在传感领域具有特殊用途、驱动和粒子的操纵。
参考文献
[ 1 ] Jordan, A.、Scholz, R.、Wust, P.、Fakhling, H. 和 Felix。R. (1999) 磁流体热疗 (MFH):利用交流磁场诱导生物相容性超顺磁纳米颗粒的激发进行癌症治疗。磁性与磁性材料杂志,201, 413-419。
[ 2 ] Duerr, S.、Janko, C.、Lyer, S.、Tripal, P.、Schwarz, M.、Zaloga, J.、Tietze, R. 和 Alexiou, C. (2013) 用于癌症治疗的磁性纳米颗粒。纳米技术评论,2,395-409。
[ 3 ] Revia, RA 和Zhang, M. (2016) 用于癌症诊断、治疗和治疗监测的磁铁矿纳米颗粒:最新进展。《今日材料》,19,157-168。
[ 4 ] Rana, S.、Jadhav, NV、Barick, KC、Pandeyb, BN 和 Hassan, PA (2014) 聚苯胺壳交联 Fe3O4 磁性纳米粒子用于热激活*伤杀**癌细胞。道尔顿交易,43,12263-12271。
[ 5 ] Devkota, J.、Mai, TTT、Stojaka, K.、Ha, PT、Pham, HN、Nguyen, XP、Mukherjee, P.、Srikanth, H. 和 Phan, MH (2014) 多功能 Fe3O4 纳米缀合物的合成、感应加热和基于磁阻抗的检测。传感器和执行器 B, 190, 715-722。