第五讲 常用巧算速算中的思维与方法(4)
方法一:拆数加减
在分数加减法运算中,把一个分数拆成两个分数相减或相加,使隐含的数量关系明朗化,并抵消其中的一些分数,往往可大大地简化运算。
(1) 拆成两个分数相减。
例如

又如

(2) 拆成两个分数相加。
例如

又如

方法二:同分子分数加减
同分子分数的加减法,有以下的计算规律:
分子相同,分母互质的两个分数相加(减)时,它们的结果是用原分母的积作分母,用原分母的和(或差)乘以这相同的分子所得的积作分子。
分子相同,分母不是互质数的两个分数相加减,也可按上述规律计算,只是最后需要注意把得数约简为既约(最简)分数。
例如

(注意:分数减法要用减数的原分母减去被减数的原分母。)

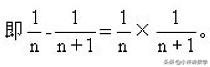
由上面的规律还可以推出,当分子都是1,分母是连续的两个自然数时,这两个分数的差就是这两个分数的积,

根据这一关系,我们也可以简化运算过程。例如

方法三:先借后还
"先借后还"是一条重要的数学解题思想和解题技巧。
例如


做这道题,按先通分后相加的一般办法,势必影响解题速度。现在从"凑整"着眼,采用"先借后还"的办法,很快就将题目解答出来了。