2022年黑龙江省哈尔滨市中考化学试卷
一、选择题(1-15小题,每小题2分,共30分,每小题只有一个正确答案)
1.“化学助力,龙江更美!”下列有关叙述错误的是( )
|
|
|
|
|
A.化肥促进粮食增产 |
B.用烧碱保护树木 |
C.稀有气体制成霓虹灯 |
D.科学防治水体污染 |
2.“关爱生命,拥抱健康”是永恒的主题。下列叙述错误的是( )
A.铁、锌、碘都是人体所需的常量元素,应大量摄入
B.吸烟有害健康,青少年一定不要吸烟
C.缺乏维生素C,会引起坏血病
D.为补充蛋白质,可以适量的摄入鸡蛋和牛奶
3.下列粒子在化学反应中易得到电子的是( )
|
|
|
|
|
A. |
B. |
C. |
D. |
4.下列实验操作错误的是( )
|
|
|
|
|
A.读取液体体积 |
B.点燃酒精灯 |
C.过滤 |
D.往试管里送入固体粉末 |
5.下列生活中的做法正确的是( )
A.档案和精密仪器起火,用水来灭火
B.被蚊虫叮咬后,涂硫酸减轻痛痒
C.自行车链条喷漆防锈
D.用加入洗涤剂的水洗掉餐具上的油污
6.下列物质的用途错误的是( )
|
|
|
|
|
A.食品充氧气以防腐 |
B.玻璃钢制船体 |
C.氯化钠用作调味品 |
D.聚乙烯塑料薄膜大棚 |
7.下列叙述错误的是( )
A.废旧电池不能随意丢弃
B.赤铁矿的主要成分是Fe2O3
C.石油炼制可得到汽油柴油等
D.空气中N2的体积分数为50%
8.下列过程中只发生物理变化的是( )
|
|
|
|
|
A.冰雪融化 |
B.检验氧气 |
C.小花喷水后放入CO2中 |
D.铁钉生锈 |
9.下列叙述和对应的化学方程式均正确的是( )
A.用木炭还原氧化铜 C+2CuO

2Cu+CO2↑
B.用天然气作燃料 CH4+3O2═2CO2+H2O
C.氢氧化铝治疗胃酸过多 H2SO4+AlOH═AlSO4+H2O
D.铁丝在空气中燃烧 Fe+O2═Fe3O4
10.下列事实的微观解释错误的是( )
|
|
|
|
|
A.分子不断运动 |
B.两种酸溶液中都含有氢离子 |
C.碳原子的排列方式不同 |
D.温度升高,分子变大 |
11.下列叙述错误的是( )
A.葡萄糖中含有碳元素
B.节约用水是爱护水资源的途径之一
C.为增强作物的抗寒、抗旱能力,应施加氮肥
D.加油站应该标有“严禁烟火”的字样或图标
12.区分下列各组物质的方法错误的是( )
|
选项 |
需区分的物质 |
方法 |
|
A |
水和食醋 |
闻气味 |
|
B |
磷矿粉和硝酸铵 |
加水,搅拌,观察现象 |
|
C |
吸入空气和呼出气体 |
观察颜色 |
|
D |
等量的软水和硬水 |
加入等量的肥皂水、振荡、观察现象 |
A.A B.B C.C D.D
13.如图是甲、乙两种固体物质(均不含结晶水)的溶解度曲线、结合图示判断,下列说法正确的是( )

A.甲的溶解度为20
B.甲、乙两种物质相比较,乙的溶解度受温度变化的影响更大
C.t2℃时,等质量的甲、乙饱和溶液中所含溶质的质量甲大于乙
D.t1℃时,甲、乙溶液中溶质的质量分数定相等
14.除去下列物质中的少量杂质,所用试剂和操作方法都正确的是( )
|
选项 |
物质 |
少量杂质 |
所用试剂和操作方法 |
|
A |
CuO |
Zn |
加入过量的稀硫酸 |
|
B |
N2 |
O2 |
通过足量灼热的铜网 |
|
C |
NaCl |
NaNO3 |
加入AgNO3溶液,过滤 |
|
D |
MnO2 |
KCl |
加水溶解,蒸发结晶 |
A.A B.B C.C D.D
15.未成年人正处于生长发育阶段,需要摄入比成年人更多的钙元素。如图为某钙片的商品标签,若某同学每天服用1片这种钙片,他每天至少可以摄入钙元素的质量为( )

A.0.8g B.1.2g C.1.8g D.2g
二、非选择题
16.(8分)Ⅰ.化学就在我们身边,人类的衣、食、住、行都高不开化学,请回答下列问题:

Ⅱ.“嫦娥揽月、北斗指路、祝融探火……”中国航天砥砺奋进,“神舟十四”再探天河!神舟十四号飞船很多部件都用到了哈尔滨制造的铝合金,如轨道舱壳体结构、返回舱侧壁金属壳体等,这样可以有效的减轻飞船的重量。请结合上述内容,回答下列问题:

(1)铝合金属于________(填“混合物”或“纯净物”)。
(2)铝合金的优良性能有________(填字母)等。
A密度小、硬度大 B.强度高抗腐蚀性差
17.(4分)目前,煤仍是世界各国广泛应用的一种燃料。煤中含有少量的硫元素,在燃烧时产生的SO2会污染空气。为节约能源,减少污染,我国采取了多种方式积极推动传统能源的清洁高效利用。请回答下列问题:
(1)煤是________(填“可再生”或“不可再生”)能源,使其充分燃烧,对于节约能源非常重要。
(2)燃煤工厂会在煤中加入石灰石除去燃烧时生成的SO2,其中涉及的一步反应如下:2SO2+O2+2X

2CaSO4,则X的化学式为 ________,此反应中硫元素的化合价由 ________价变为+6价。请根据向煤中所加入的物质分析,上述反应中X的来源为________________________(用化学方程式表示)。
18.(4分)“宏观辨识与微观探析”是化学学科的核心素养之一。请结合图示回答问题:

(1)2022年北京冬奥会“飞扬”火炬(图1)采用液氢作为燃料,液氢变为氢气时分子之间的间隔 ________(填“增大”或“减小”)。
(2)“氢”洁冬奥,零碳未来!氢气燃烧后的产物是水,一个水分子中含有 ________ 个质子。
(3)为使图2完整准确,应在甲中补充1个________(填“A”或“B”)。
A.

B.

(4)由图2得出化学变化的实质是:在化学变化中,________________,原子又可以结合成新的分子。
19.(4分)分类、类比是学习化学常用的方法。
(1)下列实验过程中均有放热现象,请从发生物理变化或化学变化的角度,将下列实验A与 ________(填字母)分为一类,分类依据是:主要都是由发生________变化引起的放热现象。

(2)请认真阅读资料卡片,并根据其中的内容和所学的知识,回答下列问题:
|
资料卡片 随着学习的深入,我们还可以从元素化合价的角度认识化学反应。凡是有元素化合价升降(变化)的化学反应都是氧化还原反应。 |
下列两组分解反应中,甲组不是氧化还原反应的原因:元素化合价在化学反应前后 (填“有”或“没有”)变化。对比甲、乙两组分解反应的生成物可以得出,四个反应中有 (填物质分类)生成的分解反应一定是氧化还原反应。
|
甲组 |
Cu(OH)2
CuO+H2O H2CO3═H2O+CO2↑ |
|
乙组 |
2H2O2
2H2O+O2↑ 2NaCl
2Na+Cl2↑ |
20.(7分)实验室现有大理石、高锰酸钾、稀盐酸等药品及相关仪器和用品,请结合下列装置回答问题:

Ⅰ.用高锰酸钾制取氧气:
(1)仪器a的名称是 ________ 。
(2)制取氧气时发生反应的化学方程式为 ________________________。
(3)制取氧气的过程有多步操作,其中的两步操作为:①将集气瓶盛满水,连同玻璃片一起倒立在盛水的水槽内;②让试管均匀受热,然后对药品所在部位加热。①在②________(填“之前“或“之后”)相对合理。
(4)图E为用图D中的方法刚刚收集满的一瓶氧气,此时集气瓶内压强 ________(填“大于”或“小于”)外界大气压。将红热的木炭伸入到图E的集气瓶中,观察到木炭燃烧发出 ________、放热。
Ⅱ.用大理石(大理石中的杂质不溶于水,且不参与反应)和稀盐酸制取二氧化碳:
(5)选用C装置收集二氧化碳的原因是:在相同条件下,二氧化碳的密度比空气的密度 ________(填“大”或“小”)。

(6)制取二氧化碳发生反应的化学方程式为 ________________________________ ,B装置内碳酸钙的质量随时间变化的大致趋势如图所示,请结合图像分析,t0时B装置内的溶液中Ca2+与Cl﹣的个数比 ________(填“等于”或“小于”)1:2。
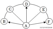
21.(5分)图中的A﹣F六种物质及他们之间的反应关系和转化关系均为初中化学常见的。其中A的浓溶液有吸水性,B的溶液为蓝色,C是目前世界年产量最高的金属,D由两种元素组成,E的溶液俗称石灰水(图中或“一”表示两种物质间能发生反应,“

”表示一种为质能转化为另一种物质,部分反应物、生成物、转化及反应关系已略去,物质间的反应及转化均在溶液中进行,物质是溶液的只考虑溶质)。请回答下列问题:

(1)分别写出B、E物质的化学式。
B:________
E:________
(2)C与A的稀溶液反应时、溶液的颜色由无色变为________。
(3)写出A转化为D的化学方程式 ________________________________。
(4)C与B的溶液发生反应的类型为________(填”化合”或”置换”或“复分解”)反应。
22.(7分)某同学在进行电解水实验时,为增强导电性,加快水的分解速率,取一定质量的Na2SO4溶解于水中,配制成Na2SO4溶液(Na2SO4在水通电分解前后质量不变)。请结合图示回答下列问题:

(1)配制100g3%的Na2SO4溶液,需要Na2SO4的质量为 ________g,水的质量为 ________g。
(2)将上述实验过程中发生反应的化学方程式补充完整:2H2O

________________ 。
(3)根据生成O2的质量,可求出 ________g水发生了分解。
(4)请通过计算确定图中的a=________。
(5)将剩余的ag Na2SO4溶液蒸发掉46.4g水,得到的不饱和溶液中溶质的质量分数为 ________。
23.(6分)某初中化学兴趣小组的同学们利用所学的知识和一些实验用品,围绕着实验室中的一瓶氢氧化钠溶液,展开了一系列的实验探究活动:
【提出问题1】通过所学的知识,同学们已经知道氢氧化钠溶液中的(1)________(填一种离子符号)能使无色酶酞溶液变为红色。如何设计实验验证这一结论?
【实验验证】同学们设计并进行了如图1所示的实验,通过观察到的实验现象,证明了氢氧化钠溶液中的水分子和(2)________(填一种离子符号)都不能使无色酚酞溶液变为红色,由此验证了问题1中的结论。
【讨论交流】氢氧化钠溶液在洁净的空气中可能会变质,请用化学方程式表示出变质的原因(3)________________________________________。

【提出问题2】瓶中氢氧化钠溶液是否变质?若变质是否完全变质?
【实验与结论】小组的同学们设计并进行了如图2所示的实验:
步骤一:向溶液A中滴加过量的(4)________(填化学式)溶液,溶液中产生白色沉淀,得出这瓶氢氧化钠溶液已变质;
步骤二:向过滤后得到的滤液B中通入CO2气体,观察到液面下导管口有气泡冒出,溶液中 ________ ,进而得出这瓶氢氧化钠溶液部分变质。
【提出问题3】已变质的氢氧化钠占变质前纯氢氧化钠的质量分数(即氢氧化钠的变质程度)?
【深入探究】三位同学分别从瓶中取等质量的溶液进行了相应的实验(实验过程中不考虑氢氧化钠再与空气中的任何成分发生反应),并将实验步理及相关数据记录如下:
|
甲同学 |
乙同学 |
丙同学 |
|
|
实验步骤及相关数据 |
将所取溶液蒸干,称量所得固体,质量为4.26g |
向所取溶液中加入足量的Ba(OH)2溶液,充分反应后过滤,将滤渣洗涤、干燥、称量,质量为1.97g |
向所取溶液中加入足量的稀盐酸,充分反应,将溶液蒸干,称量所得固体质量为5.85g |
【分析与结论】通过分析发现,任选两位同学的数据,就可以计算出氢氧化钠的变质程度,氢氧化钠的变质程度为________%。
老师对同学们的探究意识和不断深入的钻研精神给予了充分肯定!
一、选择题(1-15小题,每小题2分,共30分,每小题只有一个正确答案)
1.“化学助力,龙江更美!”下列有关叙述错误的是( )
A.

化肥促进粮食增产 B.

用烧碱保护树木
C.

稀有气体制成霓虹灯 D.

科学防治水体污染
【分析】A、根据化肥的合理使用进行分析;
B、根据烧碱的性质进行分析;
C、根据稀有气体的物理性质进行分析;
D、根据水污染的防治措施进行分析。
【解答】解:A、化肥中含有植物生长所需的元素,适量使用化肥能提高粮食产量,该项正确;
B、烧碱是氢氧化钠的俗称,氢氧化钠属于强碱,具有腐蚀性,不能用来保护树木,该项错误;
C、稀有气体通电后会发出不同颜色的光,可用来制作霓虹灯,该项正确;
D、水体污染会造成赤潮、水华等环境问题,因此应科学防止水污染,该项正确;
故选:B。
【点评】本题对化肥的使用、烧碱的化学性质、稀有气体的用途等知识进行了综合考查,题目较简单。
2.“关爱生命,拥抱健康”是永恒的主题。下列叙述错误的是( )
A.铁、锌、碘都是人体所需的常量元素,应大量摄入
B.吸烟有害健康,青少年一定不要吸烟
C.缺乏维生素C,会引起坏血病
D.为补充蛋白质,可以适量的摄入鸡蛋和牛奶
【分析】A、根据人体中常量元素和微量元素所包括的种类,进行分析判断。
B、根据吸烟有害健康,进行分析判断。
C、根据维生素C缺乏症,进行分析判断。
D、根据富含蛋白质的食物,进行分析判断。
【解答】解:A、铁、锌、碘都是人体所需的微量元素,即使是必需元素,也有一个合理摄入量的问题,摄入不足或过多均不利于人体健康,故选项说法错误。
B、香烟的烟气中含有尼古丁、焦油、一氧化碳等几百种有毒物质,吸烟有害健康,青少年一定不要吸烟,故选项说法正确。
C、缺乏维生素C,会引起坏血病,故选项说法正确。
D、鸡蛋和牛奶中富含蛋白质,为补充蛋白质,可以适量的摄入鸡蛋和牛奶,故选项说法正确。
故选:A。
【点评】本题难度不大,了解人体内常量元素和微量元素的种类、维生素C缺乏症、香烟的危害等是正确解答本题的关键。
3.下列粒子在化学反应中易得到电子的是( )
A.

B.

C.

D.

【分析】若最外层电子数≥4,在化学反应中易得电子,若最外层电子数<4,在化学反应中易失去电子,据此进行分析判断。
【解答】解:A、该原子的最外层电子数为2,但核外只有一个电子层,化学性质稳定,故选项错误。
B、该粒子的最外层电子数为8,属于相对稳定结构,故选项错误。
C、该原子的最外层电子数为7,在化学反应中易得到1个电子而形成阴离子,故选项正确。
D、该原子的最外层电子数为8,属于相对稳定结构,故选项错误。
故选:C。
【点评】本题难度不大,考查学生对粒子结构示意图及其意义的理解,了解粒子结构示意图的意义是正确解题的关键。
4.下列实验操作错误的是( )
A.

读取液体体积 B.

点燃酒精灯
C.

过滤 D.

往试管里送入固体粉末
【分析】A、根据量筒读数时视线要与量筒内液体的凹液面的最低处保持水平进行分析判断。
B、使用酒精灯时要注意“两查、两禁、一不可”。
C、过滤液体时,注意“一贴、二低、三靠”的原则。
D、根据向试管中装粉末状固体药品的方法(“一斜、二送、三直立”)进行分析判断。
【解答】解:A、量筒读数时视线要与量筒内液体的凹液面的最低处保持水平,图中所示操作正确。
B、使用酒精灯时要注意“两查、两禁、一不可”,禁止用酒精灯去引燃另一只酒精灯,图中所示操作错误。
C、过滤液体时,要注意“一贴、二低、三靠”的原则,图中所示操作正确。
D、取用粉末状药品,试管倾斜,用药匙或纸槽把药品送到试管底部,然后使试管直立起来,图中所示操作正确。
故选:B。
【点评】本题难度不大,熟悉各种仪器的用途及使用注意事项、常见化学实验基本操作的注意事项是解答此类试题的关键。
5.下列生活中的做法正确的是( )
A.档案和精密仪器起火,用水来灭火
B.被蚊虫叮咬后,涂硫酸减轻痛痒
C.自行车链条喷漆防锈
D.用加入洗涤剂的水洗掉餐具上的油污
【分析】A、用来扑灭档案和精密仪器等处的火灾不能有水,否则容易受损。
B、根据题意,蚊虫分泌的蚁酸显酸性,可以依据中和反应的原理,涂抹显碱性的物质,进行分析判断。
C、铁与氧气、水充分接触时容易生锈,使铁制品与氧气和水隔绝可以防止生锈。
D、根据洗涤剂具有乳化作用,进行分析判断。
【解答】解:A、用来扑灭档案和精密仪器等处的火灾不能有水,否则容易受损,可用二氧化碳灭火器灭火,故选项说法错误。
B、蚊虫分泌的蚁酸显酸性,可以依据中和反应的原理,涂抹显碱性的物质,硫酸显酸性,且具有腐蚀性,不能涂硫酸减轻痛痒,故选项说法错误。
C、自行车链条喷漆防锈,是不可行的,可涂油,故选项说法错误。
D、洗涤剂具有乳化作用,能将大的油滴分散成细小的油滴随水冲走,可用加入洗涤剂的水洗掉餐具上的油污,故选项说法正确。
故选:D。
【点评】本题难度不大,掌握中和反应的应用、乳化作用、防止铁锈蚀的措施等是正确解答本题的关键。
6.下列物质的用途错误的是( )
A.

食品充氧气以防腐
B.

玻璃钢制船体
C.

氯化钠用作调味品
D.

聚乙烯塑料薄膜大棚
【分析】物质的性质决定物质的用途,根据常见物质的性质与用途,进行分析解答。
【解答】解:A、氧气能供给呼吸,利于微生物、细菌的繁殖,食品充氧气不能防腐,故选项说法错误。
B、玻璃钢既有玻璃般的透明性或半透明性,又有钢铁般的高强度,可用于制船体,故选项说法正确。
C、氯化钠可用作调味品,故选项说法正确。
D、聚乙烯塑料薄膜,可用于制作大棚,故选项说法正确。
故选:A。
【点评】本题难度不大,物质的性质决定物质的用途,了解常见化学物质的性质和用途是正确解答此类题的关键。
7.下列叙述错误的是( )
A.废旧电池不能随意丢弃
B.赤铁矿的主要成分是Fe2O3
C.石油炼制可得到汽油柴油等
D.空气中N2的体积分数为50%
【分析】A、电池中含有镉、铅等重金属;
B、根据赤铁矿的主要成分进行分析;
C、根据石油的炼制原理进行分析;
D、根据空气中各气体的体积分数进行分析。
【解答】解:A、电池中含有镉、铅等重金属,随意丢弃废旧电池会造成环境污染,该项正确;
B、赤铁矿的主要成分是氧化铁,化学式为Fe2O3,该项正确;
C、石油炼制过程是利用各物质的沸点不同进行分馏,得到汽油、柴油、润滑油等,该项正确;
D、空气中氮气的体积分数为78%,该项错误;
故选:D。
【点评】本题对环境保护、空气成分、石油分馏等化学知识进行了考查,题目简单。
8.下列过程中只发生物理变化的是( )
A.

冰雪融化
B.

检验氧气
C.

小花喷水后放入CO2中
D.

铁钉生锈
【分析】物理变化和化学变化的本质区别是物理变化发生时没有新物质产生,化学变化发生时有新物质产生。
【解答】解:A、冰雪融化,物质的状态发生改变,没有产生新物质,属于物理变化,该项正确;
B、是用带火星的木条检验氧气时,木条复燃,产生新物质,属于化学变化,该项错误;
C、二氧化碳与水反应生成碳酸,碳酸能使紫色石蕊小花变红,属于化学变化,该项错误;
D、铁钉在空气中与水蒸气和氧气反应生成铁锈,属于化学变化,该项错误;
故选:A。
【点评】本题对物理变化和化学变化的鉴别进行了考查,需要认识到鉴别物理变化和化学变化时,需要判断变化发生时有无新物质生成。
9.下列叙述和对应的化学方程式均正确的是( )
A.用木炭还原氧化铜 C+2CuO

2Cu+CO2↑
B.用天然气作燃料 CH4+3O2═2CO2+H2O
C.氢氧化铝治疗胃酸过多 H2SO4+AlOH═AlSO4+H2O
D.铁丝在空气中燃烧 Fe+O2═Fe3O4
【分析】根据化学方程式判断正误的方法需考虑:应用的原理是否正确;化学式书写是否正确;是否配平;反应条件是否正确;↑和↓的标注是否正确。
【解答】解:A、该化学方程式书写完全正确,故选项正确。
B、该化学方程式配平错误,缺少反应条件,正确的化学方程式应为CH4+2O2

CO2+H2O,故选项错误。
C、氢氧化铝和胃酸中的盐酸反应生成氯化铝和水,反应的化学方程式为Al(OH)3+3HCl═AlCl3+3H2O,故选项错误。
D、铁在空气中不能燃烧,故选项错误。
故选:A。
【点评】本题难度不大,在解此类题时,首先分析应用的原理是否正确,然后再根据方程式的书写规则进行判断;化学方程式正误判断方法是:先看化学式是否正确,再看配平,再看反应条件,再看气体和沉淀,最后短线改成等号。
10.下列事实的微观解释错误的是( )
A.

分子不断运动
B.

两种酸溶液中都含有氢离子
C.

碳原子的排列方式不同
D.

温度升高,分子变大
【分析】根据分子的基本特征:分子质量和体积都很小;分子之间有间隔;分子是在不断运动的;同种的分子性质相同,不同种的分子性质不同,可以简记为:“两小运间,同同不不”,结合事实进行分析判断。
【解答】解:A、湿衣服晾干,是因为水分子是在不断运动的,运动到空气中去了,故选项解释正确。
B、稀盐酸和稀硫酸的化学性质相似,是因为两种酸溶液中都含有氢离子,故选项解释正确。
C、金刚石和石墨的物理性质存在明显差异,是因为碳原子的排列方式不同,故选项解释正确。
D、用水银温度计测量体温,是因为温度升高,汞原子间的间隔变大,故选项解释错误。
故选:D。
【点评】本题难度不大,掌握分子的基本性质(可以简记为:“两小运间,同同不不”)及利用分子的基本性质分析和解决问题的方法是解答此类题的关键。
11.下列叙述错误的是( )
A.葡萄糖中含有碳元素
B.节约用水是爱护水资源的途径之一
C.为增强作物的抗寒、抗旱能力,应施加氮肥
D.加油站应该标有“严禁烟火”的字样或图标
【分析】A、根据葡糖的元素组成进行分析;
B、根据保护水资源的措施进行分析;
C、根据植物所需不同种类肥料的作用进行分析;
D、根据安全标识的使用进行分析。
【解答】解:A、葡萄糖是由碳,氢,氧三种元素组成的化合物,故葡萄糖中含有碳元素,该项正确;
B、保护水资源的措施包括节约用水和水污染的防治措施,故节约用水可以起到保护水资源的作用,该项正确;
C、为增强作物的抗寒、抗旱能力,应施加磷肥,该项错误;
D、加油站容易发生火灾,因此在加油站应放置“严禁烟火”安全标识,该项正确;
故选:C。
【点评】本题对物质的元素组成、化学肥料的作用、保护水资源等知识进行了考查,题目较简单。
12.区分下列各组物质的方法错误的是( )
|
选项 |
需区分的物质 |
方法 |
|
A |
水和食醋 |
闻气味 |
|
B |
磷矿粉和硝酸铵 |
加水,搅拌,观察现象 |
|
C |
吸入空气和呼出气体 |
观察颜色 |
|
D |
等量的软水和硬水 |
加入等量的肥皂水、振荡、观察现象 |
A.A B.B C.C D.D
【分析】区分物质时,要根据物质的性质进行对比,找出不同点,进而选择合适的方法进行区分。
【解答】解:A、水无味,食醋有酸味,可以通过闻气味的方法区分,故选项正确。
B、磷矿粉难溶于水,硝酸铵易溶于水,加水搅拌后,观察是否溶解可以区分二者,故选项正确。
C、吸入的空气和呼出的气体都是无色无味的,不能通过观察颜色区分,故选项错误。
D、在等量的软硬水中加入等量的肥皂水振荡,泡沫多的是软水,泡沫少浮渣多的是硬水,故选项正确。
故选:C。
【点评】掌握不同物质的性质是区分物质的主要依据,根据选项结合所学知识细心分析即可。
13.如图是甲、乙两种固体物质(均不含结晶水)的溶解度曲线、结合图示判断,下列说法正确的是( )

A.甲的溶解度为20
B.甲、乙两种物质相比较,乙的溶解度受温度变化的影响更大
C.t2℃时,等质量的甲、乙饱和溶液中所含溶质的质量甲大于乙
D.t1℃时,甲、乙溶液中溶质的质量分数定相等
【分析】根据题目信息和溶解度曲线可知:甲、乙两种固体物质的溶解度,都是随温度升高而增大,而甲的溶解度随温度的升高变化比乙大;
A、物质的溶解度;
B、甲的溶解度随温度的升高变化比乙大;
C、t2℃时,等质量的甲、乙饱和溶液中所含溶质的质量甲大于乙正确;
D、交点的含义。
【解答】解:A、甲的溶解度为20错误,因为没有温度,单位是g;故选项错误;
B、甲、乙两种物质相比较,乙的溶解度受温度变化的影响更大错误,因为甲的溶解度随温度的升高变化比乙大;故选项错误;
C、t2℃时,等质量的甲、乙饱和溶液中所含溶质的质量甲大于乙正确,因为该温度下,甲的溶解度大于乙;故选项正确;
D、t1℃时,甲、乙溶液中溶质的质量分数定相等错误,因为没有指明是饱和溶液;故选项错误;
故选:C。
【点评】本考点考查了溶解度曲线及其应用,通过溶解度曲线我们可以获得很多信息;还考查了有关溶液和溶质质量分数的计算,有关的计算要准确,本考点主要出现在选择题和填空题中。
14.除去下列物质中的少量杂质,所用试剂和操作方法都正确的是( )
|
选项 |
物质 |
少量杂质 |
所用试剂和操作方法 |
|
A |
CuO |
Zn |
加入过量的稀硫酸 |
|
B |
N2 |
O2 |
通过足量灼热的铜网 |
|
C |
NaCl |
NaNO3 |
加入AgNO3溶液,过滤 |
|
D |
MnO2 |
KCl |
加水溶解,蒸发结晶 |
A.A B.B C.C D.D
【分析】根据原物质和杂质的性质选择适当的除杂剂和分离方法,所谓除杂(提纯),是指除去杂质,同时被提纯物质不得改变。除杂质至少要满足两个条件:①一般加入的试剂只能与杂质反应,不能与原物质反应;②反应后不能引入新的杂质。
【解答】解:A、Zn、CuO均能与过量的稀硫酸反应,不但能把杂质除去,也会把原物质除去,不符合除杂原则,故选项所采取的方法错误。
B、氧气通过灼热的铜网时可与铜发生反应生成氧化铜,而氮气不与铜反应,能除去杂质且没有引入新的杂质,符合除杂原则,故选项所采取的方法正确。
C、NaCl能与AgNO3溶液反应生成氯化银沉淀和硝酸钠,反而会把原物质除去,不符合除杂原则,故选项所采取的方法错误。
D、KCl易溶于水,MnO2难溶于水,可采取加水溶解、过滤、洗涤、干燥的方法进行分离除杂,故选项所采取的方法错误。
故选:B。
【点评】物质的分离与除杂是中考的重点,也是难点,解决除杂问题时,抓住除杂质的必需条件(加入的试剂一般只与杂质反应,反应后不能引入新的杂质)是正确解题的关键。
15.未成年人正处于生长发育阶段,需要摄入比成年人更多的钙元素。如图为某钙片的商品标签,若某同学每天服用1片这种钙片,他每天至少可以摄入钙元素的质量为( )

A.0.8g B.1.2g C.1.8g D.2g
【分析】根据化合物中某元素的质量=该化合物的质量×该元素的质量分数,进行分析解答。
【解答】解:每片中含碳酸钙≥2g,若某同学每天服用1片这种钙片,他每天至少可以摄入钙元素的质量为2g×

×100%=0.8g。
故选:A。
【点评】本题难度不大,理解题意、灵活运用化学式的含义与有关计算等是正确解答本题的关键。
二、非选择题
16.(8分)Ⅰ.化学就在我们身边,人类的衣、食、住、行都高不开化学,请回答下列问题:

Ⅱ.“嫦娥揽月、北斗指路、祝融探火……”中国航天砥砺奋进,“神舟十四”再探天河!神舟十四号飞船很多部件都用到了哈尔滨制造的铝合金,如轨道舱壳体结构、返回舱侧壁金属壳体等,这样可以有效的减轻飞船的重量。请结合上述内容,回答下列问题:

(1)铝合金属于 混合物 (填“混合物”或“纯净物”)。
(2)铝合金的优良性能有 A (填字母)等。
A密度小、硬度大
B.强度高抗腐蚀性差
【分析】Ⅰ、(1)根据常见的有机合成材料进行分析;
(2)根据人体所需营养素的来源进行分析;
(3)根据活性炭的性质进行分析;
(4)根据汽车尾气中的空气污染物进行分析;
Ⅱ、(1)根据合金的定义进行分析;
(2)根据题目信息进行解答。
【解答】解:Ⅰ、(1)涤纶属于合成纤维的一种,属于合成有机高分子材料;
故答案为:合成;
(2)蔬菜和水果中含有丰富的维生素;
故答案为:维生素;
(3)活性炭具有吸附性,能吸附色素和异味;
故答案为:吸附;
(4)汽车尾气中含有氮氧化物、一氧化碳等空气污染物,汽车的催化净化装置是将尾气中的一氧化碳和氮氧化物转化为氮气和二氧化碳,一氧化碳的化学式为CO;
故答案为:CO;
Ⅱ、(1)合金是由一种或一种以上金属与另一种金属或非金属熔合而成的具有金属特性的混合物,因此铝合金属于混合物;
故答案为:混合物;
(2)合金具有硬度大、熔点低的特点,另外根据题目信息可知,铝合金可用于制造轨道舱壳体结构、返回舱侧壁金属壳体等,可以有效的减轻飞船的重量,说明铝合金还具有密度小,强度高、耐腐蚀的特性,故选A;
故答案为:A。
【点评】本题对有机合成材料、人体所需营养素、活性炭的性质、合金的定义和合金的特性等知识进行了考查,题目较简单,解题时可以根据题目中的材料信息进行分析。
17.(4分)目前,煤仍是世界各国广泛应用的一种燃料。煤中含有少量的硫元素,在燃烧时产生的SO2会污染空气。为节约能源,减少污染,我国采取了多种方式积极推动传统能源的清洁高效利用。请回答下列问题:
(1)煤是 不可再生 (填“可再生”或“不可再生”)能源,使其充分燃烧,对于节约能源非常重要。
(2)燃煤工厂会在煤中加入石灰石除去燃烧时生成的SO2,其中涉及的一步反应如下:2SO2+O2+2X

2CaSO4,则X的化学式为 CaO ,此反应中硫元素的化合价由 +4 价变为+6价。请根据向煤中所加入的物质分析,上述反应中X的来源为 CaCO3

CaO+CO2↑ (用化学方程式表示)。
【分析】(1)根据化石燃料属于不可再生能源进行分析;
(2)根据化学反应前后原子的种类和个数守恒进行解答。
【解答】解:(1)煤是化石燃料的一种,属于不可再生能源;
故答案为:不可再生;
(2)化学反应前后原子的种类和个数守恒,根据题目信息可判断X的化学式应为CaO;反应物中二氧化硫中氧元素的化合价为﹣2价,根据化合物中各元素的化合价袋数和为0,可知硫元素的化合价为+4价,故反应中硫元素的化合价由+4价变为+6价;石灰石的主要成分是碳酸钙,在高温条件下分解能够产生氧化钙,化学方程式为:CaCO3

CaO+CO2↑;
故答案为:CaO;+4;CaCO3

CaO+CO2↑。
【点评】本题对能源类型、质量守恒定律、元素化合价的计算、化学方程式的书写等知识进行了考查,题目较简单。
18.(4分)“宏观辨识与微观探析”是化学学科的核心素养之一。请结合图示回答问题:

(1)2022年北京冬奥会“飞扬”火炬(图1)采用液氢作为燃料,液氢变为氢气时分子之间的间隔 增大 (填“增大”或“减小”)。
(2)“氢”洁冬奥,零碳未来!氢气燃烧后的产物是水,一个水分子中含有 10 个质子。
(3)为使图2完整准确,应在甲中补充1个 B (填“A”或“B”)。
A.

B.

(4)由图2得出化学变化的实质是:在化学变化中, 分子可以分成原子 ,原子又可以结合成新的分子。
【分析】(1)根据微粒的性质分析;
(2)根据一个水分子中有2个氢原子和1个氧原子,氢原子质子数为1,氧原子质子数为8分析;
(3)根据质量守恒定律,反应前后原子种类、数目不变分析;
(4)根据微观示意图分析。
【解答】解:(1)一般情况下,气体分子间间隔大于液体分子间间隔,故液氢变为氢气时分子之间的间隔增大;
(2)水的化学式为H2O,一个水分子中有2个氢原子和1个氧原子,氢原子质子数为1,氧原子质子数为8,一个水分子中含有质子数=1×2+8=10;
(3)根据质量守恒定律,反应前后原子种类、数目不变,反应后有4个氢原子和2个氧原子,反应前有2个氢原子和2个氧原子,还少2个氢原子,故选:B;
(4)由图2得出化学变化的实质是:在化学变化中,分子可以分成原子,原子又可以结合成新的分子。
故答案为:
(1)增大;
(2)10;
(3)B;
(4)分子可以分成原子。
【点评】要想解答好这类题目,要理解和熟记微粒观点及模型图的应用,以及与之相关的知识。
19.(4分)分类、类比是学习化学常用的方法。
(1)下列实验过程中均有放热现象,请从发生物理变化或化学变化的角度,将下列实验A与 C (填字母)分为一类,分类依据是:主要都是由发生 化学 变化引起的放热现象。

(2)请认真阅读资料卡片,并根据其中的内容和所学的知识,回答下列问题:
下列两组分解反应中,甲组不是氧化还原反应的原因:元素化合价在化学反应前后 没有 (填“有”或“没有”)变化。对比甲、乙两组分解反应的生成物可以得出,四个反应中有 单质 (填物质分类)生成的分解反应一定是氧化还原反应。
|
甲组 |
Cu(OH)2=CuO+H2O H2CO3═H2O+CO2↑ |
|
乙组 |
2H2O2
2H2O+O2↑ 2NaCl
2Na+Cl2↑ |
|
资料卡片 随着学习的深入,我们还可以从元素化合价的角度认识化学反应。凡是有元素化合价升降(变化)的化学反应都是氧化还原反应。 |
【分析】(1)根据变化的特征分析;
(2)根据化合价原则、物质的分类分析回答。
【解答】解:(1)由实验可知,A中红磷燃烧放出了热量,实验A与C分为一类,分类依据是:主要都是由发生化学变化引起的放热现象。
(2)由化合价原则可知,甲组不是氧化还原反应的原因:元素化合价在化学反应前后没有变化。对比甲、乙两组分解反应的生成物可以得出,四个反应中有单质生成的分解反应,一定有元素化合价的变化,一定是氧化还原反应。
故答案为:(1)C;化学;
(2)没有;单质。
【点评】本题较为简单,了解变化的特征、化合价原则、物质分类的方法等知识即可分析解答。
20.(7分)实验室现有大理石、高锰酸钾、稀盐酸等药品及相关仪器和用品,请结合下列装置回答问题:

Ⅰ.用高锰酸钾制取氧气:
(1)仪器a的名称是 铁架台 。
(2)制取氧气时发生反应的化学方程式为 2KMnO4

K2MnO4+MnO2+O2↑ 。
(3)制取氧气的过程有多步操作,其中的两步操作为:①将集气瓶盛满水,连同玻璃片一起倒立在盛水的水槽内;②让试管均匀受热,然后对药品所在部位加热。①在② 之前 (填“之前“或“之后”)相对合理。
(4)图E为用图D中的方法刚刚收集满的一瓶氧气,此时集气瓶内压强 大于 (填“大于”或“小于”)外界大气压。将红热的木炭伸入到图E的集气瓶中,观察到木炭燃烧发出 白光 、放热。
Ⅱ.用大理石(大理石中的杂质不溶于水,且不参与反应)和稀盐酸制取二氧化碳:
(5)选用C装置收集二氧化碳的原因是:在相同条件下,二氧化碳的密度比空气的密度 大 (填“大”或“小”)。

(6)制取二氧化碳发生反应的化学方程式为 CaCO3+2HCl=CaCl2+H2O+CO2↑ ,B装置内碳酸钙的质量随时间变化的大致趋势如图所示,请结合图像分析,t0时B装置内的溶液中Ca2+与Cl﹣的个数比 等于 (填“等于”或“小于”)1:2。
【分析】(1)根据实验室常用仪器的名称和用途进行分析;
(2)根据化学反应原理书写化学方程式;
(3)根据实验步骤分析;
(4)氧气能将水排出集气瓶,说明瓶内压强大于外界大气压;根据木炭燃烧现象分析;
(5)根据气体的密度、溶解性及特殊要求选择收集装置;
(6)根据化学反应原理书写化学方程式;根据图像信息分析。
【解答】解:(1)仪器a的名称是铁架台;
(2)高锰酸钾在加热条件下反应生成锰酸钾、二氧化锰和氧气,化学方程式为:2KMnO4

K2MnO4+MnO2+O2↑;
(3)制取氧气的过程有多步操作,其中的两步操作为:①将集气瓶盛满水,连同玻璃片一起倒立在盛水的水槽内;②让试管均匀受热,然后对药品所在部位加热。①在②之前较合理;
(4)氧气能将水排出集气瓶,说明瓶内压强大于外界大气压,将红热的木炭伸入到图E的集气瓶中,观察到木炭燃烧发出白光,放热;
(5)密度比空气大的气体,用向上排空气法收集,选用C装置收集二氧化碳的原因是:在相同条件下,二氧化碳的密度比空气的密度大;
(6)实验室用石灰石或大理石与稀盐酸反应制取二氧化碳,石灰石、大理石主要成分碳酸钙,碳酸钙和盐酸反应生成氯化钙、水和二氧化碳。化学方程式为:CaCO3+2HCl=CaCl2+H2O+CO2↑。由图像可知,t0时碳酸钙质量不变,说明反应结束了,碳酸钙质量大于0,说明碳酸钙有剩余,盐酸完全反应,此时溶液中的溶质为氯化钙,故t0℃时B装置内的溶液中Ca2+与Cl﹣的个数比为1:2。
故答案为:
(1)铁架台;
(2)2KMnO4

K2MnO4+MnO2+O2↑;
(3)之前;
(4)大于;白光;
(5)大;
(6)CaCO3+2HCl=CaCl2+H2O+CO2↑;1:2。
【点评】在解此类题时,首先要将题中的知识认知透,然后结合学过的知识进行解答。
21.(5分)图中的A﹣F六种物质及他们之间的反应关系和转化关系均为初中化学常见的。其中A的浓溶液有吸水性,B的溶液为蓝色,C是目前世界年产量最高的金属,D由两种元素组成,E的溶液俗称石灰水(图中或“一”表示两种物质间能发生反应,“

”表示一种为质能转化为另一种物质,部分反应物、生成物、转化及反应关系已略去,物质间的反应及转化均在溶液中进行,物质是溶液的只考虑溶质)。请回答下列问题:
(1)分别写出B、E物质的化学式。
B: CuSO4
E: Ca(OH)2
(2)C与A的稀溶液反应时、溶液的颜色由无色变为 浅绿色 。
(3)写出A转化为D的化学方程式 H2SO4+BaCl2═BaSO4↓+2HCl 。
(4)C与B的溶液发生反应的类型为 置换 (填”化合”或”置换”或“复分解”)反应。

【分析】(1)浓硫酸具有吸水性,所以A是硫酸;硫酸铜溶液为蓝色,所以B是硫酸铜;目前世界年产量最高的金属是铁,所以C是铁;氢氧化钙溶液俗称石灰水,所以E是氢氧化钙;硫酸能转化生成酸和盐,而盐酸能与铁和氢氧化钙反应,所以D是盐酸;硫酸和氧化铁反应生成硫酸铁和水,硫酸铁能和氢氧化钙反应,所以F可能是硫酸铁。
(2)根据铁和稀盐酸反应产物的特点分析现象。
(3)根据复分解反应发生的条件来分析。
(4)根据反应物和生成物类别判断反应类型。
【解答】解:(1)B为硫酸铜,化学式为:CuSO4;E为氢氧化钙,化学式为:Ca(OH)2;
(2)铁和稀盐酸反应会生成氯化亚铁,亚铁离子在溶液中显浅绿色,所以溶液由无色变为浅绿色。
(3)硫酸制盐酸,需要将硫酸根离子除去,引入氯离子,同时满足这两个条件的只有氯化钡。硫酸和氯化钡反应会生成硫酸钡沉淀和盐酸,故化学方程式为:H2SO4+BaCl2═BaSO4↓+2HCl。
(4)铁的活动性强于铜,能与硫酸铜反应生成铜和硫酸亚铁,而一种单质和一种化合物反应生成另一种单质和另一种化合物的反应叫做置换反应。
故答案为:(1)CuSO4;Ca(OH)2;
(2)浅绿色;
(3)H2SO4+BaCl2═BaSO4↓+2HCl;
(4)置换。
【点评】本题主要考查物质的性质,解答时要根据各种物质的性质,结合各方面条件进行分析、判断,从而得出正确的结论。
22.(7分)某同学在进行电解水实验时,为增强导电性,加快水的分解速率,取一定质量的Na2SO4溶解于水中,配制成Na2SO4溶液(Na2SO4在水通电分解前后质量不变)。请结合图示回答下列问题:

(1)配制100g3%的Na2SO4溶液,需要Na2SO4的质量为 3 g,水的质量为 97 g。
(2)将上述实验过程中发生反应的化学方程式补充完整:2H2O

2H2↑+O2↑ 。
(3)根据生成O2的质量,可求出 3.6 g水发生了分解。
(4)请通过计算确定图中的a= 96.4 。
(5)将剩余的ag Na2SO4溶液蒸发掉46.4g水,得到的不饱和溶液中溶质的质量分数为 6% 。
【分析】(1)根据溶质质量=溶液质量×溶质质量分数,溶液质量=溶剂质量+溶质质量进行分析;
(2)根据水通电生成氢气和氧气分析;
(3)根据化学方程式进行计算;
(4)剩余硫酸钠溶液质量=原溶液质量﹣反应的水的质量;
(5)溶质质量分数=

×100%。。
【解答】解:(1)配制100g3%的Na2SO4溶液,需要Na2SO4的质量为=100g×3%=3g,水的质量为100g﹣3g=97g;
(2)水通电生成氢气和氧气,化学方程式为2H2O

2H2↑+O2↑;
(3)设水的质量为x
2H2O

2H2↑+O2↑
36 32
x 3.2g

x=3.6g
(4)a=100g﹣3.6g=96.4g;
(5)得到的不饱和溶液中溶质的质量分数为=

。
故答案为:(1)3;97;
(2)2H2↑+O2↑;
(3)3.6;
(4)96.4;
(5)6%。
【点评】在解此类题时,首先要将题中的知识认知透,然后结合学过的知识进行解答。
23.(6分)某初中化学兴趣小组的同学们利用所学的知识和一些实验用品,围绕着实验室中的一瓶氢氧化钠溶液,展开了一系列的实验探究活动:
【提出问题1】通过所学的知识,同学们已经知道氢氧化钠溶液中的(1) OH﹣ (填一种离子符号)能使无色酶酞溶液变为红色。如何设计实验验证这一结论?
【实验验证】同学们设计并进行了如图1所示的实验,通过观察到的实验现象,证明了氢氧化钠溶液中的水分子和(2) Na+ (填一种离子符号)都不能使无色酚酞溶液变为红色,由此验证了问题1中的结论。
【讨论交流】氢氧化钠溶液在洁净的空气中可能会变质,请用化学方程式表示出变质的原因(3) 2NaOH+CO2=Na2CO3+H2O 。

【提出问题2】瓶中氢氧化钠溶液是否变质?若变质是否完全变质?
【实验与结论】小组的同学们设计并进行了如图2所示的实验:
步骤一:向溶液A中滴加过量的(4) CaCl2(合理即可) (填化学式)溶液,溶液中产生白色沉淀,得出这瓶氢氧化钠溶液已变质;
步骤二:向过滤后得到的滤液B中通入CO2气体,观察到液面下导管口有气泡冒出,溶液中 产生白色沉淀 ,进而得出这瓶氢氧化钠溶液部分变质。
【提出问题3】已变质的氢氧化钠占变质前纯氢氧化钠的质量分数(即氢氧化钠的变质程度)?
【深入探究】三位同学分别从瓶中取等质量的溶液进行了相应的实验(实验过程中不考虑氢氧化钠再与空气中的任何成分发生反应),并将实验步理及相关数据记录如下:
|
甲同学 |
乙同学 |
丙同学 |
|
|
实验步骤及相关数据 |
将所取溶液蒸干,称量所得固体,质量为4.26g |
向所取溶液中加入足量的Ba(OH)2溶液,充分反应后过滤,将滤渣洗涤、干燥、称量,质量为1.97g |
向所取溶液中加入足量的稀盐酸,充分反应,将溶液蒸干,称量所得固体质量为5.85g |
【分析与结论】通过分析发现,任选两位同学的数据,就可以计算出氢氧化钠的变质程度,氢氧化钠的变质程度为 20 %。
老师对同学们的探究意识和不断深入的钻研精神给予了充分肯定!
【分析】【提出问题1】根据碱的概念进行分析;
【实验验证】根据图1的实验进行分析;
【讨论交流】根据二氧化碳和氢氧化钠的反应进行分析;
【实验与结论】步骤一根据碳酸盐和可溶性钙盐或钡盐的沉淀进行分析;
步骤二根据溶液的成分及通入二氧化碳后发生的反应进行分析;
【深入探究】根据沉淀的质量结合反应的方程式计算碳酸钠的质量,进而计算质量分数。
【解答】解:【提出问题1】氢氧化钠溶液中的氢氧根离子能使无色酶酞溶液变为红色,故答案为:OH﹣;
【实验验证】氯化钠溶液中滴入酚酞溶液,不变色,说明水和钠离子都不能使酚酞变色,故答案为:Na+;
【讨论交流】二氧化碳和氢氧化钠反应生成碳酸钠和水,化学方程式为2NaOH+CO2=Na2CO3+H2O,故答案为:2NaOH+CO2=Na2CO3+H2O;
【实验与结论】步骤一得出实验结论为氢氧化钠溶液已变质,说明溶液中含有碳酸钠,碳酸盐和可溶性钙盐或钡盐都能产生白色沉淀,故答案为:CaCl2(合理即可);
步骤二进一步得出这瓶氢氧化钠溶液部分变质,通入二氧化碳后,二氧化碳和氢氧化钠反应生成碳酸钠和水,碳酸钠和过量的氯化钙反应生成碳酸钙沉淀和氯化钠,实验现象是溶液中产生白色沉淀;故答案为:产生白色沉淀;
【深入探究】设变质生成碳酸钠的质量为x
Na2CO3+Ba(OH)2=BaCO3↓+2NaOH
106 197
x 1.97g

x=1.06g
根据化学反应前后元素质量不变,则变质的氢氧化钠的质量为(1.06g×

)

=0.8g,则氢氧化钠的变质程度为

,故答案为:20%。
【点评】氢氧化钠与空气中的二氧化碳反应生成碳酸钠而变质,验证变质的程度,需要先除去碳酸钠,在验证是否含有氢氧化钠,除去碳酸钠的过程中不能对氢氧化钠的验证产生干扰。




























