引言
近年来,我国采取了一系列举措促进双向开放,我国证券业双向开放水平不断提升, 双向开放有利于国内金融体制的改革,优化金融资源配置 ,通过竞争机制提升我国证券市场效率和行业竞争力,在一定程度上促进了我国经济金融发展。
但许多新兴国家在实施双向开放后,其证券业遭受了不同程度的波动,甚至引发金融危机,这些事实引发学者广泛关注双向开放对证券业可能带来的波动风险问题。 证券机构作为证券业的重要组成部分,其波动溢出风险大小对证券业的稳定发挥着重要作用 。
因此本文将关注焦点放在开放经济下的证券机构,将双向开放分为“引进来”和“走出去”两个维度,用2012-2021年21个证券机构数据作为样本, 用证券机构外资持股比例衡量“引进来”,用证券机构海外收入占比衡量“走出去” ,用基于广义方差分解的溢出指数法测度各证券机构的动态波动溢出风险,用面板数据模型测度双向开放对证券机构波动溢出风险的直接影响效应,并分析了其影响路径和异质性。
一、评估证券机构波动溢出风险的方*论法**
1、建立模型
(1)证券机构的时变波动率测度:GJR(1,1)-SKT(v,λ)模型
传统的GARCH模型只有能力描述符合正态分布的金融资产的波动率。然而,许多最近的研究结果显示金融资产的收益率分布呈现出“尖峰、厚尾”的非正态分布特征。
为了更精确地描述这个特点,本文采用GJR(1,1)-SKT(v,λ)模型作为边缘分布模型进行拟合,来更合理地刻画证券机构的时变波动率特性。以下是边缘分布模型的具体形式:

公式(1)

公式(2)

公式(3)
在这里,公式(1)是均值方程,c0代表收益率序列的平均值,ei,t代表第i个证券机构的收益率序列的残差。公式(2)中的SKT(v,λ)表示偏斜的学生t分布,它能描述出收益序列的“尖峰、厚尾、偏斜”的特性。其中,v是自由度参数,λ是非对称性参数。公式(3)是方差方程。其中的I(ei,t<0)是一个指示变量,当ei,t<0时,I取1,否则I取0。这个变量能描述出收益率序列在面临负面冲击和正面冲击时的波动响应差异。
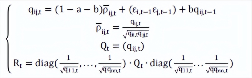
DCC−GARCH模型形成如下:

公式(4)
公式(4)中的 EQ \* jc0 \* "Font:微软雅黑" \* hps12 \o \ad(\s \up 13(——),ρ)ij,t 是εi,t和εj,t之间的无条件相关系数,Rt是时变相关系数矩阵,a和b是DCC模型测度时变联动性的待估参数,它们需要满足a+b<1的约束条件。
(2)证券机构波动性溢出风险测度:DY模型
根据Diebold和Yilmaz(2014)的基于广义方差分解的溢出指数方法,本文测度21个证券机构的波动性溢出风险。模型的建立过程分为三步:首先,构建一个N维p阶VaR模型;其次,进行广义方差分解;最后,构建总溢出指数和方向性溢出指数。设N维VaR(p)模型为:

公式(5)
其中,Xt是各证券机构波动率序列的N维列向量,ϕi是N×N自回归系数矩阵,误差向量的均值是0,σ是协方差矩阵。如果VaR模型有平稳协方差,那么可以将公式(5)转化为移动平均形式(VMA):

公式(6)
基于以上的VaR模型,我们对协方差矩阵进行方差分解,这样可以将每个变量的预测误差方差分解为来自系统内部各变量的影响,从而归因于各个变量的溢出效应。
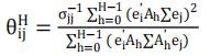
为了测度变量间的溢出效应和总溢出效应,我们定义变量间的溢出效应:变量Xj对变量Xi的溢出效应是由于Xj部分冲击导致的Xi的H步预测误差方差,其中i≠j,H步是VaR模型预测方差的时间跨度,也就是方差分解的期数。表达式如下:

公式(7)
其中, σ-1ij 是第j个变量预测误差的标准差形式,ei是N×1的向量,其第i个元素是1,其余元素是0, θHij 是变量Xj对变量Xi的溢出效应。由于:

因此,为了得到溢出指数值,我们需要对 θHij 进行标准化处理。

公式(8)
得出结果后:

且:

矩阵:

刻画了N个变量之间的波动性溢出效应。矩阵的主对角线元素描绘了变量对自身的波动性溢出效应,非主对角线上的元素描绘了不同变量间的波动性溢出效应。最后,我们构建总溢出指数和方向性溢出指数,构建公式为:

公式(9)

公式(10)

公式(11)
公式(9)是总溢出指数,它测量了21个证券机构的总体波动性溢出风险。公式(10)和(11)都是方向性溢出指数,公式(10)测量证券机构i受到其他证券机构的波动性影响程度,公式(11)测量证券机构i对其他证券机构的波动性影响程度,这些公式全面地描绘了各个证券机构之间的波动性溢出强度和方向。
(3)VaR模型
VaR(ValueatRisk)是指在一定的置信水平下,金融资产在未来一段确定的时间内可能产生的最大损失。它的具体表达式如下:

公式(12)
其中,Xi是第i个证券机构的损失率,VaRiq是证券机构i在q%置信水平下的损失。
2、样本数据选择
本文选择了21个具有代表性的证券机构作为研究对象,表1给出了21个证券机构的日收益率序列的描述性统计和相关检验结果,包括正态分布的JB检验,平稳性的ADF检验,以及异方差的ARCH检验。
在表1中,JG1代表方正证券,JG2代表光大证券,JG3代表华泰证券,JG4代表东吴证券,JG5代表兴业证券,JG6代表太平洋,JG7代表招商证券,JG8代表海通证券,JG9代表华鑫股份,JG10代表西南证券,JG11代表华创阳安,JG12代表国金证券,JG13代表国投资本,JG14代表中信证券,JG15代表山西证券,JG16代表长江证券,JG17代表广发证券,JG18代表国海证券,JG19代表国元证券,JG20代表锦龙股份,JG21代表东北证券。
表121个证券机构收益序列的描述性统计

3、证券机构边缘分布模型参数估计结果
本研究使用GJR(1,1)-SKT(v,λ)模型对证券机构的收益率序列分布进行参数估计,以得到证券机构的时变波动率,从而为证券机构波动溢出风险研究提供数据支持。在整个研究时期,边缘分布的估计结果如表2所示。
21个证券机构的参数α和参数β在1%的置信水平上显著,而参数α与参数β的和近似于1,表明这21个证券机构的波动性具有明显的持久性。除了方正证券、东吴证券、海通证券、华鑫股份、西南证券、华创阳安、国金证券、国投资本、广发证券、国海证券、锦龙股份等,其他证券机构的参数γ通过显著性检验,表明正面和负面的新闻冲击对光大证券、华泰证券、兴业证券、太平洋、招商证券、中信证券、山西证券、长江证券、国元证券、东北证券的波动性具有显著的非对称影响,也就是存在显著的“杠杆效应”。
表2整个时期内各证券机构边缘分布估计结果

4、证券机构时变波动率测度结果及讨论
从整个研究期间的证券机构时变波动率均值来看,波动率最大的前三个证券机构是锦龙股份、国海证券、华鑫股份,而波动率相对较小的三个证券机构则是海通证券、中信证券、广发证券。
这表明,规模较小的证券机构波动率相对较大,而规模较大的证券机构对自身波动有较好的控制能力,其波动率相对较小。对比证券机构的波动峰值,我们发现,出现波动峰值最大的是2014年的锦龙股份(60.99)、2015年的西南证券(32.6)、以及2020年的国投资本(28.47)。根据图5-1、图5-2和图5-3的波动率变化趋势,我们发现,各证券机构在2015年股灾冲击和2020年新冠肺炎疫情冲击下,出现了极端波动走势,波动率相对较大;相比之下,2015年股灾冲击对证券机构的波动影响要远大于2020年新冠肺炎疫情对证券机构的波动影响。

图1证券机构时变波动率走势

图2证券机构时变波动率走势

图3证券机构时变波动率走势
5、证券机构静态波动溢出风险测度结果及讨论
本文首先使用基于广义方差分解的溢出指数方法测度21个证券机构之间的波动溢出风险。基于AIC准则,确定VaR模型的最佳滞后阶数为1,并将预测误差方差分解的期数设为5。在研究期间,各证券机构之间的静态波动溢出矩阵见表3。
由表3可知,在研究时期内,21个证券机构的总体净溢出指数为81.29%,显示出总体波动净溢出效应较为显著。各证券机构的波动更多地受到自身前期波动的影响,而其他机构的波动冲击也有一定的影响。
在证券机构间的相互溢出中,最大的溢出效应前四名分别是:海通证券对中信证券的溢出效应(7.7%)、中信证券对海通证券的溢出效应(7.69%)、华泰证券对中信证券的溢出效应(7.44%)、招商证券对中信证券的溢出效应(6.93%)。这些机构都是在证券业总资产规模上排在前列的机构,这可能是因为规模较大的机构具有相对更大的系统重要性,在遇到冲击时风险溢出效应相对较大。
而在证券机构间的最小溢出前三名分别是:华创阳安对招商证券的溢出(0.41%)、华鑫股份对兴业证券的溢出(0.95%)、锦龙股份对华泰证券的溢出(1.17%)。
有约76%的证券机构的最小溢出对象是华创阳安,包括华创阳安在内的最小溢出前三名机构都是资产规模相对较小的机构,这可能是因为小规模机构的系统重要性相对较小,在遇到外部冲击时会产生较小的溢出效应。对于证券机构对股市的溢出,对沪深300指数(HS300)溢出最大的前三名机构依次是:海通证券(6.67%)、山西证券(6.47%)、中信证券(6.14%)。
表3研究时期内证券机构与市场之间的波动溢入溢出结果

由表3可知,整个研究时期,在波动溢出溢入方面,各证券机构的波动溢出溢入效应相差不大,证券机构的波动溢出效应从大到小依次为:海通证券(5.32%)、东吴证券(5.3%)、中信证券(5.21%)、华泰证券(5.03%)、山西证券(5.02%)、光大证券(4.96%)、招商证券(4.96%)、方正证券(4.46%)、国元证券(4.12%)、东北证券(3.95%)、长江证券(3.81%)、兴业证券(3.8%)、广发证券(3.75%)、太平洋(3.67%)、国金证券(3.03%)、国海证券(2.57%)、西南证券(2.36%)、国投资本(2.02%)、华鑫股份(1.61%)、锦龙股份(1.54%)、华创阳安(0.71%)。
各证券机构波动溢入效应从大到小依次为:中信证券(4.04%)、招商证券(4.01%)、海通证券(4.01%)、华泰证券(4%)、东吴证券(4%)、光大证券(3.98%)、东北证券(3.94%)、广发证券(3.9%)、国元证券(3.9%)、长江证券(3.89%)、方正证券(3.88%)、兴业证券(3.88%)、山西证券(3.87%)、太平洋(3.85%)、国金证券(3.69%)、西南证券(3.66%)、国海证券(3.65%)、国投资本(3.15%)、华鑫股份(3.04%)、锦龙股份(2.9%)、华创阳安(2.21%)。
显然,在研究时期内,证券业波动溢出最大的机构是海通证券,波动溢入最大的机构是中信证券,波动溢出和溢入最小的机构均是华创阳安。证券机构中净溢出最大的前三名机构依次是是海通证券(1.31%)、东吴证券(1.3%)、中信证券(1.16%),其余证券机构的总体净溢出效应从大到小依次是:山西证券(1.15%)、华泰证券(1.02%)、光大证券(0.99%)、招商证券(0.96%)、方正证券(0.58%)、国元证券(0.22%)、东北证券(0.0012%)、兴业证券(-0.08%)、长江证券(-0.08%)、广发证券(-0.15%)、太平洋(-0.18%)、国金证券(-0.66)、国海证券(-1.08%)、国投资本(-1.13%)、西南证券(-1.3%)、锦龙股份(-1.36%)、华鑫股份(-1.42%)、华创阳安(-1.5%),可以看出,在研究时期内,其他机构对华鑫股份和华创阳安的波动溢出风险最大。
6、证券行业动态风险波动溢出的测度与探讨
我们以一年期的滚动窗口长度和1个交易日的滚动步长为基准,通过滚动窗*技口**术获取研究期间内各证券机构的总波动溢出指数,以此测量2012-2021年间各证券机构的整体动态波动溢出效应。
从图4来看,该时期的证券机构总溢出指数波动较为剧烈,从2012年的74点涨至2013年阶段性的高点82点,此后一直呈震荡下滑趋势,至2014年下滑至研究期的最低点。然后继续波动上升,到2016年涨至阶段最高点90点,经历小范围波动下滑后,2017年开始上涨至2018年的最高点,自2020年起呈现波动下滑态势。

图4证券机构总体波动溢出指数
为研究重大开放政策对证券行业波动溢出风险的影响,我们选取证券行业波动溢出指数(ZQYBDYC)作为应变量。2020年4月1日全面取消证券机构外资持股比例限制、2014年11月17日沪港通机制正式启动、2016年12月5日深港通机制正式启动以及2019年9月10日取消QFII和RQFII投资额度限制及取消RQFII试点国家和地区限制四个重大开放政策的时间点被选为虚拟变量,分别标记为D1、D2、D3、D4。政策发布日期前设为0,发布日及之后设为1。我们使用了2012年12月11日至2021年6月30日的日度数据,并将证券市场波动率(BDL)作为控制变量。
回归结果表4显示,全面取消证券机构外资持股比例限制、沪港通机制和深港通机制的正式启动在1%的信心水平上显著抑制了证券行业波动溢出。
表4重要开放政策对证券业波动溢出风险的影响

一方面,通过引进海外投资者,沪港通和深港通使市场的投资者更为多样化,有助于股市的平稳波动。取消证券机构外资持股限制,外资股东能为证券机构带来先进的管理经验和技术,同时起到一定的监管作用,提高了证券机构的风险控制能力,降低了证券行业的波动溢出风险。
另一方面,与国内的散户相比,我国香港地区的投资者及外国投资者的投资策略更为理性,有助于缓解证券行业的波动溢出风险。
在比较D1、D2、D3的系数后发现,深港通机制的启动对证券行业波动溢出的抑制作用最大。取消QFII和RQFII投资额度限制,以及取消RQFII试点国家和地区限制在1%的信心水平上显著推动了证券行业波动溢出。这可能是因为取消QFII和RQFII投资额度限制和RQFII试点国家和地区限制会加速外资流入我国证券市场,可能会加大市场的波动。在比较D1、D2、D3、D4的系数绝对值发现,取消QFII和RQFII投资额度限制以及取消RQFII试点国家和地区限制对证券行业波动溢出的影响最大。
从各证券机构对沪深股市的动态溢出指数走势来看(参见图5、图6、图7),我们可以观察到证券机构的走势有一定的同步性。大部分证券机构的动态溢出指数自2012年开始波动下滑,直到2015年达到历史最低点。然后在2015年下半年的股市灾难中,由于股市波动的影响,证券机构的波动溢出指数大幅上升。此外,我们还可以看出,动态溢出指数在2017年达到历史峰值,并在整个研究期间保持较大的震荡状态。
特别要注意的是,广发证券、海通证券和山西证券对沪深股市的动态溢出效应相对较大,这些机构位列所有证券机构之首,因此需要成为有关部门重点监控的对象。

图5证券机构动态溢出指数走势

图6证券机构动态溢出指数走势

图7证券机构动态溢出指数走势
二、对双向金融开放对证券机构风险波动溢出的效应影响的探究
1、解析模型构建与变量数据
我们将金融双向开放分为两个维度:“引进来”和“走出去”,并通过构建面板数据模型研究这两个维度对证券机构波动溢出风险的影响。通过Hausman检验的结果,我们决定选择固定效应模型。具体模型如下:

公式(13)
在此模型中,i代表个体,t代表时间,BDYCit表示因变量,即波动溢出风险。“引进来”指标(YJLi,t−1)是核心自变量之一,用证券机构外资持股比例表示,即证券机构的所有外资持股占总股本的比重;
“走出去”指标(ZCQi,t−1)是另一个核心自变量,用证券机构的海外收入占营业总收入的比重表示。控制变量(Control)包括资产规模、企业年龄、偿债能力、营运能力、GDP同比增长率、广义货币M2同比增长率、金融业重要度、一年期实际*款贷**利率、股市波动率、全球经济政策不确定性指数、中国经济政策不确定性指数、证券机构外资持股比例取消、沪港通机制正式启动、放开QFII和RQFII限制等。δi代表个体效应,εi,t是随机扰动项,β0是常数项,β1是核心变量的待估参数。
本研究根据申万行业分类方法筛选出所有上市证券机构,并排除了上市年数较少的机构,最终选取21家上市证券机构数据作为研究样本。我们用所有外资持股占总股本的比重和海外营业收入占营业总收入的比重来衡量“引进来”和“走出去”的核心自变量。这些数据通过手动收集各证券机构的财务报表获得。
其余原始数据源自东方财富choice数据库。所有变量都使用月度数据,研究时期为2012年12月至2021年6月。
在选择因变量时,我们使用GJR(1,1)−SKT(v,λ)模型和基于广义方差分解的溢出指数方法(DY法)来计算各证券机构对股票市场的波动溢出指数,并将该指数作为因变量。
考虑到“引进来”和“走出去”对证券机构波动溢出风险影响可能具有时滞性 ,除了反映证券机构外资持股比例取消、沪港通机制正式启动、放开QFII和RQFII限制的虚拟变量和股市波动率外,本文的核心自变量和其余控制变量均采用滞后一阶的形式。在控制变量的筛选方面,本文将其归纳为微观机构特征与宏观经济两大部分。
首先,我们来看微观机构特征的控制变量:
资产规模:
通过证券机构的总资产来定义资产规模,使用自然对数形式。资产规模反应了机构的系统重要性,具有较大资产规模的机构在外部环境发生冲击时可能会引发更大的风险溢出。
企业年龄:
通过证券机构的成立年数定义企业年龄,使用自然对数形式。长久的成立历史可能意味着企业有更强的抵御风险能力,因为它们积累了更多的管理经验并具有竞争优势。
偿债能力:
通过现金债务总额比定义企业的偿债能力。这个比例的增长意味着企业承担债务的能力增强,可能面临的债务风险降低。
盈利能力:
用总资产收益率反映企业的盈利能力。一个较高的总资产收益率通常代表企业有更大的盈利能力,意味着它可能有更强的风险承受能力。
成长能力:
通过营业收入同比增长率衡量企业的成长能力。拥有较高增长性的企业在经营方面具有较强的适应性,可能拥有更强的防风险能力。
营运能力:
通过总资产周转率反映企业的营运能力。总资产周转率越快,销售能力越强,业绩越好,这有助于更好地应对外部风险。
其次,我们再看从宏观经济环境角度选取的控制变量:
GDP同比增长率:
反映了宏观经济的整体状况,这个状况往往会影响公司的经营表现。
广义货币M2同比增长率:代表我国的数量型政策工具。
金融业重要性:
用金融业对GDP的占比来反映当期金融业在国民经济中的重要程度。
一年期实际*款贷**利率:代表我国的价格型政策工具。
股市波动率:
使用HS300指数波动率来衡量。
全球经济政策不确定性指数:
通过Baker等人基于新闻报道构造的全球经济与政策不确定性指数来衡量,并采用对数形式。
中国经济政策不确定性指数:
用Baker等人基于新闻报道构造的指数来衡量,用对数形式表示。
证券机构外资持股比例取消:
使用2020年4月1日证券机构外资持股比例全面取消政策公布日期作为虚拟变量。
沪港通机制正式启动:
使用2014年11月17日沪港通机制正式启动政策公布日期作为虚拟变量。
放开QFII和RQFII限制:
使用2019年9月10日取消QFII和RQFII投资额度限制政策公布日期作为虚拟变量。
表5给出了各变量的描述性统计
表5描述性统计结果

2、金融双向开放对证券公司波动性风险的直接影响
表格6描述了“引进来”的直接效应与“走出去”的对证券公司的直接影响。
第(1)列的估计结果表明,“引进来”在1%的置信水平上对证券公司的波动风险产生显著的抑制效应。具体来说,每提升1%的“引进来”,将降低证券公司的波动风险0.5843%。这个结果验证了假设2,即“引进来”与证券公司的波动风险呈负相关。
相对地, “走出去”会增加证券公司的波动风险。每提高1%的“走出去”,证券公司的波动风险将提升0.1226% 。虽然“走出去”在一定程度上促进了证券公司的波动风险,但是这个估计系数并不显著。
原因可能是因为我国的金融双向开放长期以“引进来”为主, 无论是设立B股市场,实施QFII制度,还是不断降低外资在国内投资的门槛 ,都是围绕“引进来”。
相比之下,“走出去”的历史较短,相关业务的规模也相对较小,甚至在一定程度上受到限制。因此,总的来看,我国金融双向开放在“引进来”的进展远大于“走出去”。
对我国的证券公司来说,由于对外投资规模较小,海外项目参与较少,国际化程度相对较低, 所以难以对公司的波动风险产生显著影响。此外,证券公司在“走出去”的过程中,面临不熟悉的海外环境 ,容易受到海外政治、经济、文化等因素的冲击,从而增加了其波动风险。
在控制变量方面,资产规模、全球政策不确定性指数、中国经济政策不确定性以及股市波动率对证券公司的波动风险具有促进作用 ,而企业年龄、现金债务总额比、资产收益率、营业收入同比增长率、营运能力、金融业的重要程度、一年期实际*款贷**利率、沪港通机制的启动以及深港通机制的启动对证券公司的波动风险具有抑制作用。同时,取消QFII和RQFII投资额度限制及试点国家和地区限制对证券公司的波动风险也有促进作用。
表6双向开放对证券机构的直接影响效应

3、双向金融开放如何影响证券机构风险波动的溢出路径
本文为了验证双向金融开放对证券机构风险波动溢出的影响通路,采用了中介效应模型。该模型使用逐步法来检测由中介变量导致的中介效应,主要通过检验方程中回归系数的显著性进行。
中介效应检验模型如下:

公式(14)

公式(15)

公式(16)
检查方程14中X对Y的系数c的显著性,如果c不显著,表明直接效应不显著,检验不成立。接着在方程5-15中检验X对中介变量M的系数a的显著性,如果a不显著,证明中介变量不显著,检验也不成立。最后,在方程16中,检验M对Y的系数b以及X对Y的系数c'的显著性,如果c'不显著,但b显著,那么存在完全中介效应;如果c'和b同时显著,那么存在部分中介效应。部分中介效应等于系数a和b的乘积,总效应是直接效应和中介效应的和。
对于金融双向开放的“引进来”和“走出去”两种形式,本文分别研究了它们对证券机构风险波动溢出的影响效应。但是,由于“走出去”对证券机构风险波动溢出的影响不显著,所以本文主要讨论了“引进来”对证券机构风险波动溢出的影响路径。
在逐步检验过程中,我们发现,证券机构的偿债能力、成长能力和运营能力作为中介变量时,都存在中介效应。这里,偿债能力通过现金债务总额比进行测量,成长能力通过营业收入同比增长率进行测量,运营能力通过总资产周转率进行测量。
具体的估计结果见表7至表9。从表7,我们可以看到存在如下影响路径:“引进来→偿债能力→波动溢出”。换言之,“引进来”通过提升证券机构的偿债能力,从而降低了证券机构的波动溢出风险,这种效应主要表现为部分中介效应,其比例为12.52%。
表8显示了另一影响路径:“引进来→成长能力→波动溢出”,这说明“引进来”可以通过提升证券机构的成长能力来降低其波动溢出风险,此中介效应占比1.18%。表9展示了第三条影响路径:“引进来→运营能力→波动溢出”,它告诉我们“引进来”可以通过提升证券机构的运营能力来降低其波动溢出风险,这种中介效应的比例是2.54%。
如果从纵向比较的角度来看,偿债能力作为中介变量时,中介效应的绝对值和中介效应占总效应的比值都是最大的。这说明,相比于通过提升证券机构的成长能力和运营能力两种方式,"引进来"通过提升证券机构的偿债能力来降低其波动溢出风险的效果更为显著。
表7以偿债能力为中介变量的中介效应检验

表8以成长能力为中介变量的中介效应检验

表9以营运能力为中介变量的中介效应检验

三、稳健性和内生性验证
1、稳健性验证
为确保本文的研究结论的稳健性,我们将证券机构的价值在险(VaR)替代为因变量,以替换原先的证券机构的波动溢出风险(BDYC),然后对此进行回归。这样做是为了验证“引进来”对证券机构的价值在险的影响是否与之前的结论一致。
表10稳健性检验

表10的结果表明,“引进来”能够降低证券机构的在险价值,这与我们的原研究结论一致,因此,我们的原结论具有稳健性。由于“走出去”对证券机构的波动溢出风险影响不显著,本文只对“引进来”对证券机构的波动溢出风险的影响进行稳健性和内生性验证。
2、内生性验证
证券机构的波动溢出风险常常具有不同程度的惯性,也就是说,前一期的波动溢出风险会对后一期的波动溢出风险产生影响,这可能会导致内生性问题。
表11基于系统GMM法的检验结果

因此,本文将滞后一期的证券机构波动溢出风险作为核心自变量,并使用修正的系统GMM法进行估计。表11的第二列的结果显示,证券机构的波动溢出风险具有显著的惯性。当考虑到证券机构波动溢出风险的惯性影响后,“引进来”仍然对证券机构的波动溢出风险具有显著的抑制作用。因此,我们可以认为原回归结果具有稳健性。
3、异质性分析
由于双向开放可能对不同规模的证券机构的波动溢出风险产生不同的影响,本文将证券机构按照总资产规模划分为大型、中型和小型证券机构,并对这三类证券机构进行分别的回归分析。
表12证券机构“引进来”异质性分析

如表12所示,"引进来"对三类证券机构的波动溢出风险影响具有显著的差异。具体来说,"引进来"对大型和中型证券机构的波动溢出风险具有显著的抑制作用,其中对中型证券机构的抑制作用大于大型证券机构。
然而,值得注意的是,小型证券机构在"引进来"的过程中,其波动溢出风险反而会显著增加。这可能是因为小型证券机构的业务规模较小,管理能力和经营能力较弱,因此,在开放过程中,它们在业务扩展、资源整合和风险控制等方面不如大中型证券机构,从而更容易增加自身的风险溢出。
表13证券机构“走出去”异质性分析

另外,表13的结果显示,“走出去”对大型证券机构的波动溢出风险有显著的增加作用,对中型和小型证券机构的影响虽然也有提升,但并不显著。“走出去”对大型证券机构的波动溢出风险的影响最大,其次是中型机构,而对小型证券机构的影响最小。
这可能是因为,相比中小型证券机构,大型证券机构的"走出去"规模更大,业务更复杂,因此在"走出去"的过程中会产生更多的波动溢出风险。而中小型证券机构由于自身规模和发展程度的限制,其"走出去"的规模较小,业务较简单,因此在"走出去"的过程中不容易产生显著的波动溢出风险。