一、选择题(每小题3分,共24分)
1.理想流体在一水平管流动,作稳定流动时,截面积S、流速 v 、压强P间的关系为
(A)S大处v 小P小 (B)S大处v 大P大
(C)S小处v 大P小 (D)S小处v 小P小 [ ]
2.一平面简谐波在弹性媒质中传播时,某一时刻在传播方向上媒质中某质元在负的最大位移处,则它的能量是
(A)动能为零,势能最大 (B)动能为零,势能最零
(C)动能最大,势能最大 (D)动能最大,势能为零 [ ]
3. 两块平板玻璃构成空气劈尖,左边为棱边,用单色平行光垂直入射。若上面的平板玻璃慢慢地向上平移,则干涉条纹
(A)向棱边方向平移,条纹间隔变小 (B)向棱边方向平移,条纹间隔变大
(C)向棱边方向平移,条纹间隔不变 (D)向远离棱边的方向平移,条纹间隔不变 [


|
得 分 |
|
|
评卷人 |



|
得 分 |
|
|
评卷人 |
三、计算题(每小题10分,共50分) 1.波长400 nm的平行光垂直照射到透射光栅上,测得第三级亮纹的衍射角为30°,且第二级亮纹不出现。求:(1)光栅常数 d ;(2)光栅中各透射光缝的宽度 a ;(3)屏幕上可呈现的全部亮纹。


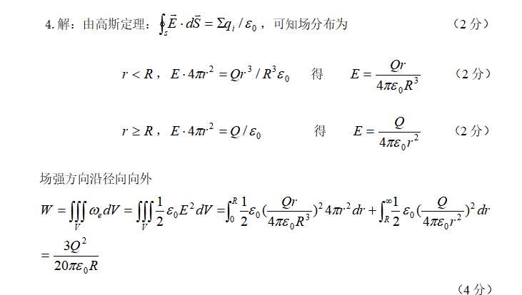
4.一半径为 R 的球体,均匀地带有电荷,总带电量为 Q ,设球内、外介质的介电常数均为 ε 0 ,求电场强度的分布和静电能。


2017年下学期医用物理学参考答案
一、 选择题
1.C 2.B 3.C 4.D 5.C 6.D 7.A 8.A





