每次出门前,大家都会系好鞋带,但是为什么走着走着鞋带就会自己松开?“系紧的鞋带为什么会自己松开”这个千古之谜,今天大院er请来物理学博士给你讲讲。
我有一双登山鞋,它的鞋带大概长这样。

图1 登山鞋的鞋带(图片来源:网络)
每当我穿上它时,我的运动量就有了保障——因为我要不停地弯腰给它系鞋带。有一天我又穿着这双鞋和父亲去爬山,当我再一次不厌其烦地弯腰系鞋带时,父亲终于忍不住说:“你为什么不给它系紧点!你看我的鞋带,从来不会松开。“
我解释说:“这并不能怪我,这个鞋带是更容易松开的,不信,我从头论证给您听。”
为啥有些鞋带更容易松开?
大部分人系鞋带的结是所谓的平结(Square knot):

图2 平结(图片来源:网络)
或者纵结(Granny knot ):

图3 纵结(图片来源:网络)
还有一些其他的不常见的结。不过它们都有一个共同点,就是都包含这样一个结构,跟动滑轮是一样的:

图4 左边是鞋带绳结的结构;它等价于右边的动滑轮(图为作者绘制)
如果你拉绳头部分,当拉力大于摩擦力时,绳子会滑动。绳头部分会变长,而绳圈部分逐渐缩小,最后绳结被解开。所以这种结统称为“活结”,优点是好解开。
那么人在走路的时候,没有人去拉绳头,鞋带怎么也会自动解开呢?
答案是,有一种力在拉绳头,不是灵异事件,这就是惯性力。当你系好鞋带走路或者跑步的时候,由于双脚加速,减速,绳圈和绳头部分会受到惯性力。说通俗点,就是“甩来甩去”的那种力量。
关于这个问题,加州伯克利的一位教授还专门做了研究。他用高速摄影机拍摄实验对象跑步时鞋带散开的过程,测量出跑步过程中鞋带末端的加速度可以达到7倍的重力加速度(想看他的研究请戳“阅读原文”) 。
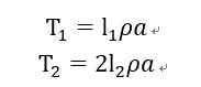
这个加速度乘以绳子头的质量,就等于绳子头受到的惯性力,也就是说绳子头会感受到一个拉力T1(即图4中“惯性力1”),这个力可以大到绳头部分自身重量的7倍。与此同时,绳圈部分也感受到一个惯性力(即图4中“惯性力2”),是和绳头方向相反滑动的拉力。同时鞋带之间还有一个阻碍它自由滑动的摩擦力 f。于是上面的结构就变成了中学物理里出镜率极高的“动滑轮”——绳结相当于有摩擦力的定滑轮、绳圈相当于动滑轮、绳头上的惯性力相当于拉力,而绳圈上的惯性力相当于动滑轮上的重物。
当绳结处两个惯性力的合力大于摩擦力时,鞋带就会发生滑动。特别是如果绳头方向的惯性力(惯性力1)更大的时候,鞋带就滑向解开的方向;而如果绳圈方向的惯性力(惯性力2)更大的时候,鞋带就向相反的方向滑动,最后鞋带退化成一个死结。而无论是哪个情况,都可以统称为:“你鞋带又散了!”
鞋带不散6大建议
那么绳头和绳圈受到的惯性力是什么决定的呢?是由它们的质量和加速度乘积决定的。而它们的质量又是它们各自的长度和鞋带密度的乘积,即:

( l1和 l2分别是绳圈和绳头部分的长度,ρ是鞋带的密度,α是鞋带甩动时产生的加速度;注意:由于绳圈部分是两股绳子,因此它的总长度是2l2,但因为它是动滑轮,因此绳结处感受到的拉力只是1/2,因此与2l2的2抵消。)
因此问题的核心是:| l1- l2 |ρα与摩擦力比大小的问题。即:

有了这番分析,我们可以得到几个很实用的建议:
1、 换用轻质鞋带。这相当于减小鞋带的密度ρ。两个惯性力因此均得以减小。
2、 保证尽可能地让绳圈部分和绳头部分长度相等,这相当于减小( l1-l2)的绝对值, 惯性力的合力因此得到减小。
3、 走路稳重一点。这相当于减小加速度a,两个惯性力因此得以减小。
4、 鞋带系紧点!(父母朴素的建议),相当于提高摩擦力F。
5、 把硬的圆鞋带换成软的扁鞋带。因为前者在结的位置接触面积小于后者,所以能提供的摩擦力F也小于后者。
6、 避免使用很重的金属鞋带头。因为这会更加大绳头部分受到的惯性力。
(7、穿不用系鞋带的鞋~)
在得到“如何避免鞋带散开”的六条建议以后,我们再反过来看看我这双登山鞋的鞋带:鞋带材质很硬并且截面很圆;鞋带自身很重并且带尖还坠着很重的金属。这种鞋带不容易散开才怪呢!
至此,我向父亲论证了鞋带频繁散开的主要责任在于鞋带本身,而不是我。父亲听罢沉吟半晌,然后欣慰地颔首道:“学过物理果然不一样,连狡辩都那么有内涵。”