

撰文 | 王聪
针灸 ,属于我国传统医学,通过将针刺入身体内的各个“穴位”达到治疗的目的,但针灸的疗效仍然存在广泛争议。在我国,针灸作为镇痛的辅助疗法,在改善和预防疼痛痛复发等方面具有悠久的历史,之前国内外也有不少随机对照研究报道针灸在治疗疼痛方面的作用,但是这些研究往往质量不高、样本量不足。
2021年8月17日,中国中医科学院广安门医院 刘志顺 教授联合东直门医院、华西医院等十家三甲医院,在《内科学年鉴》(Annals of Internal Medicine)(IF=21.317)发表了题为:Efficacy of Acupuncture for Chronic Prostatitis/Chronic Pelvic Pain Syndrome:A Randomized Trial 的研究论文。
这项多中心随机试验表明,与假治疗相比, 8周内进行20次针灸治疗可更大程度地改善中重度慢性前列腺炎/慢性骨盆疼痛综合症 (CP/CPPS) 的症状,且治疗效果持续了24 周以上。

慢性前列腺炎/慢性骨盆疼痛综合症 (CP/CPPS)是在过去6个月中至少有3个月表现出骨盆区域的不适或疼痛,但没有感染迹象。也可能涉及下尿路症状、心理问题和性功能障碍。该疾病还涉及许多神经心理生理和病理生理因素,例如前列腺炎症、焦虑和压力以及协同排尿障碍,因此,患者的生活质量可能较差。
抗生素、α受体阻滞剂和抗炎药是临床实践中治疗该疾病的主要方法,但它们的效果有限,并且与长期使用的不良事件相关。 针灸 已显示出作为替代疗法的前景,但缺乏高质量的证据。
研究团队招募了440名患有中重度慢性前列腺炎/慢性骨盆疼痛综合症 (CP/CPPS)的男性患者,然后将他们按照1:1随机分配到两组,每组各220人,分别接受为期8周时间的20次针灸治疗和假治疗,以评估针灸对改善症状的长期疗效。
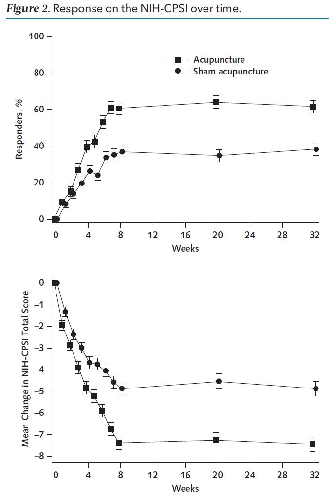
如果参与者在第8周针灸治疗结束时和第32周时慢性前列腺炎症状指数比基线水平降低了至少6分,则该治疗被认为是有效的。在这两个时间点两组之间均具有统计学意义的差异才能确定该治疗具有持续疗效。
统计结果表明,与假治疗组相比, 针灸治疗组有更大比例的参与者报告症状显著或中度改善 。在第8周,针灸治疗组和假治疗的症状改善比例分别为60.6%和36.8%。在第32周时,针灸治疗组和假治疗组的症状改善比例分别为61.5%和38.3%。
针灸治疗组和假治疗组分别报告了20起 (9.1%)和14起(6.4%)不良事件,没有报告严重不良事件。

这表明与假治疗相比,在8周时间里进行20次针灸治疗对中重度 慢性前列腺炎/慢性骨盆疼痛综合症 (CP/CPPS)的症状有更大改善效果,治疗后24周时该效果仍然持久。 这些结果显示了针灸的长期疗效,并为临床实践和指南推荐提供了高质量的证据。
该研究的领导者刘志顺主任医师,一直致力于针灸的理论研究和临床应用。曾与2017年6月在国际四大医学期刊之一的 JAMA 发表 电针减少女性压力性尿*禁失**漏尿的随机临床试验 。

这篇 JAMA 论文是 我国针灸学者目前发表的最具国际影响力的论文,提升了我国针灸临床研究水平和国际认可度,促进了针灸学科发展。
论文链接:
https://www.acpjournals.org/doi/10.7326/M21-1814
https://jamanetwork.com/journals/jama/article-abstract/2633916