大家好,我是你们的朋友摇摇。这是我个人业余时间打理的一个公众帐号,旨在从数据角度对已经公布的房源信息进行加工筛选,便于大家在摇到号之后方便的选到心仪的房子。话不多说,let's go!
项目介绍

今天帮大家筛选的是来自热门板块武侯新城的项目:新希望锦悦楠庭。位于四环路内侧,地铁三号线二期的双凤桥站,交通非常便利。低密洋房产品,改需定位,清水上市颇有诚意。

选房指南
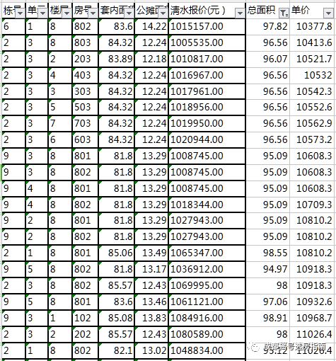
根据摇摇已整理完毕数据分析得知,新希望锦悦楠庭项目整体单价均价为11102元,最高到最低单价跨度约为2041元左右,已知最低单价约为10377元,分布于6栋1单元8楼1、2号房,已知最高单价为12418元,分布于2栋4单元1楼1号房。目测可能有花园赠送,请一定跟销售核实,该楼盘官网上仅有99平米x2、115平米、130平米4个户型,但房源面积较为混乱,只能尝试解读了。具体价格分布如下。
90平米以下 户型价格详情

不太清楚户型情况,需要到售楼部详细垂询,如果1F赠送花园,那这几套房子就相当有性价比了。
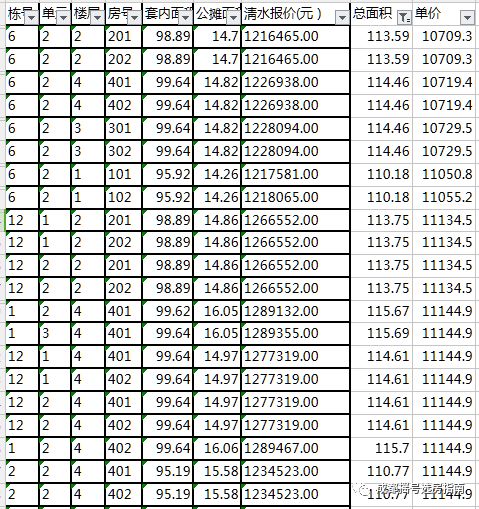
90-100平米区间 户型详情
官网上有99.69、99.93两个户型,户型差别较大,请注意尽量不要购买99.69版型的户型,从风水上来说,厨房位置相当相当不好,慎重考虑。


抛开户型问题,该面积区间楼层定价也比较奇怪,大家随意选择自己喜欢的楼层,摇摇觉得5-8F房源很有性价比。
100—110平米区间 户型单价

预估本区间依然是套三双卫户型;避开刚才说的那个户型即可,其他随意选择。
110—120平米区间 户型单价

同上
120平米以上 户型单价

目测该表格内户型为标注的130平米四室两卫户型,该户型主卧的衣帽间也略奇葩,建议入手后装修时多注意整改。

本期选房指南就此结束,改需项目,价位不高,规划应该不错,户型设计师应该要拖出去TJJ , 白瞎好地段了。另外不同楼层之间面积参差不齐,也能反映一些问题。摇摇手里无总平图,就不做户型和朝向分析了。
预祝幸运的小伙伴们都能选到称心如意的好房子!
所有信息来源于成都房协官方网站,人工录入难免出错,一切以成都房协官方发布为准,本内容仅供参考!