原标题:
掺脱硝粉煤灰混凝土中的氨气释放规律研究
摘 要:
混凝土掺脱硝粉煤灰后存在氨气释放,且氨气的释放是一个连续而缓慢的过程。为解决现有试验方法无法连续吸收检测混凝土中氨气释放量的问题,研发了一种混凝土中氨气释放量连续检测装置。采用该装置研究了振捣起始时间、振捣时长和通气速率对混凝土中氨气释放量的影响;对比分析了相同粉煤灰掺量情况下,不同铵含量粉煤灰的混凝土及相同铵含量情况下,不同粉煤灰掺量的混凝土中氨气释放规律。结果表明:振捣时长对混凝土中氨气释放量影响最大,通气速率次之,振捣起始时间影响最小。混凝土中氨气释放量随粉煤灰中铵含量增加而提高,随粉煤灰掺量提高而增大;粉煤灰中铵盐含量越高,混凝土的氨气释放速率越快,但氨气释放百分比越低。混凝土中氨气释放速率随时间变化符合指数衰减规律。通过线性回归计算,混凝土中总铵盐含量与氨气释放量线性相关。
关键词:
脱硝粉煤灰; 粉煤灰混凝土; 检测方法:氨气释放规律; 影响因素;
作者简介:
张思佳(1986—),女,工程师,硕士,主要从事水工混凝土性能研究。E-mali:zhangsijia37@163.com;
基金:
“十三五”国家重点研发计划项目(2017YFC0405004,2016YFB0303601-3);
中国水科院基本科研业务费专项(SM0145B632017,SM0145B842017);
中国水科院青年科学研究专项(SM0145B262019);
中国长江三峡集团公司科研项目(JG/18032B);
引用:
0 引 言
粉煤灰是燃煤电厂的副产物,其微集料效应、形态效应、活性效应等可改善混凝土的施工和易性、长期耐久性和后期力学性能。随着环境保护越来越受到重视,国内大型燃煤电厂为了达到排放标准,都已完成了脱硫脱硝技术改造,电厂产生的粉煤灰将全部为脱硝粉煤灰。目前,国际上最常用的烟气脱硝技术是选择性催化还原技术(SCR)和选择性非催化还原技术(SNCR),两种脱硝技术均采用液氨、*水氨**或尿素作为还原剂,实际应用中氨的逃逸无法完全避免,氨在进入收尘器之前一部分混合在烟气中排出烟囱,一部分附着在粉煤灰表面,一部分与燃烧产生的SO3生成铵盐(NH4HSO4和(NH4)2SO4)残留在粉煤灰中。
在混凝土拌和过程中,脱硝粉煤灰中的铵盐溶于水,成为游离的铵离子

铵离子在水泥水化的碱性环境中有如下平衡

铵离子在碱性条件下水解转化为氨分子溶解在水溶液中,并在浓度梯度作用下缓慢地向空气扩散,氨气逸出则使溶液中氨浓度降低,促进电离平衡向右移动,因此溶液中氨气不断生成、不断释放。搅拌使得液膜不断与新鲜空气接触,浓度梯度扩散动力增加,且扰动下氨气的溶解度明显降低,增加氨气的释放。混凝土振捣过程中,高频振动使得溶液中的氨气迅速逸散到空气中,带动两个平衡向右移动;随着水泥水化进程推进,氢氧化钙含量增加,自由水碱性逐渐增强,进一步促进了电离平衡;早期的水化放热使溶液温度升高,电离平衡常数增大,氨气溶解度降低,促进氨气从自由水中逸散到空气中。
因此,混凝土在搅拌、振捣和早期水化过程中均存在明显的氨气释放现象。采用脱硝粉煤灰拌制混凝土过程中不仅出现新拌混凝土含气量与黏性增加、硬化混凝土力学性能与耐久性能降低的问题,而且混凝土在搅拌、振捣与硬化过程中释放的刺激性氨味可能影响工作人员健康,2013年某环路工程进行混凝土浇筑施工时,就闻到混凝土散发出强烈的刺激性气味,类似尿素的味道,施工数小时后,部分施工人员的眼睛干涩、红肿、难以睁开,经医生诊断施工人员的眼睛受到不同程度的灼伤,最终经试验查明原因:混凝土中的碱性条件及内部温度升高,促使含铵粉煤灰释放氨气,且浇筑构建为大体积箱梁,释放量更大,施工时无风,不利于氨气稀释与扩散,高浓度的氨气造成施工人员眼睛受到伤害。施工单位更换粉煤灰后,未再出现类似的问题。因此掺脱硝粉煤灰混凝土中氨气的释放问题更应受到重视,尤其在地下洞室或者封闭空间这些不利于氨气扩散的地方进行大体积混凝土浇筑施工。
国内外对脱硝粉煤灰的研究主要包括粉煤灰中氨含量检测方法、粉煤灰对新拌混凝土和易性、硬化混凝土宏观性能和微观性能影响等。孔祥芝等分别采用蒸馏-滴定法、分光光度法和氨气敏电极法检测粉煤灰中氨含量,研究现行标准方法的适用性与相关性,提出氨气敏电极操作方法简单,可用于快速测定粉煤灰氨含量,蒸馏-滴定法检测结果精确度高,可作为粉煤灰铵含量品质指标实验室检测方法;殷海波等研究粉煤灰中残留铵含量对混凝土性能影响,发现随着硫酸铵含量的增加,混凝土初始含气量略微增大,抗冻性能和抗渗性能略微降低;王利新等采用模拟脱硝脱硫粉煤灰的形式,利用微观测试手段进行机理分析,研究了脱硝脱硫副产物对粉煤灰-水泥体系物相组成、微观形貌、水化产物、水化程度以及孔结构的影响,提出脱硝脱硫粉煤灰的改性方法。
美国肯塔基大学ROBERT等设计简易的氨气吸收装置,采用氨气敏电极测定混凝土在拌和及硬化过程中氨气释放量;白志鹏等通过用环境舱模拟室内环境条件,对硬化混凝土中释放出的氨气进行收集,并采用分光光度计检测,研究环境条件变化对室内混凝土墙体中氨气释放量的影响,发明专利“混凝土试件中氨析出率的测定方法”中将混凝土试件放置在测试箱内,测试箱内模拟建筑物使用时的室内环境状况,采用硫酸吸收液吸收释放出的氨气,并以此计算测试箱中氨浓度。目前国内外关于混凝土中氨气释放量的检测方法均认为吸收液中检测的铵含量即为氨气释放量,忽略了实验箱中氨气浓度,同时上述试验方法均无法实现氨气的连续吸收与检测,影响试验结果的准确度,且对混凝土中氨气释放行为研究较少。
本文采用自主研发的一种混凝土中氨气释放量连续检测装置,选择某大型水电工程大坝与地下洞室混凝土配合比,研究了不同振捣条件对混凝土中氨气释放量影响,相同粉煤灰掺量不同铵含量粉煤灰,以及相同铵含量不同粉煤灰掺量对洞室混凝土中氨气释放规律影响,为脱硝粉煤灰配制混凝土的应用技术及粉煤灰残留铵含量的安全阈值提供试验数据参考。
1 试 验
1.1 原材料
水泥(C)采用42.5低热硅酸盐水泥,粉煤灰(FA)为F类Ι级灰,粉煤灰中铵含量分别为10 mg/kg(10 mg NH3/kg FA)、70 mg/kg、150 mg/kg、250 mg/kg和350 mg/kg,细骨料(S)细度模数为2.61,粗骨料(G)粒径为(5~40) mm连续级配的玄武岩碎石、(5~120) mm连续级配的灰岩碎石,外加剂为聚羧酸减水剂(PCA)、松香树脂类引气剂(AEA),化学试剂为稀硫酸、水杨酸、酒石酸钾钠、氢氧化钠、次氯酸钠等。
1.2 混凝土配合比
采用某水电工程大坝和洞室混凝土配合比,绝对体积法计算,正交试验、掺不同铵含量粉煤灰混凝土和不同粉煤灰掺量混凝土的配合比如表1所列。
1.3 试验装置
混凝土中氨气释放量连续检测装置如图1所示。该装置包括数据采集系统、带密封的实验箱、混凝土振捣装置、氨气吸收装置、供风系统、温度控制系统及氨气浓度自动检测系统等部分组成,其中数据采集系统为上位机,两端分别与温度控制和氨气浓度自动检测系统相连,可实时检测实验箱内温度与氨气浓度,温度控制系统包括温度控制器及温度传感器,氨气浓度自动检测系统包括固定式氨气检测仪及氨气浓度传感器,氨气检测仪采用电化学的工作原理,具有操作简单,反应速度快,精确度高等特点;实验箱的进气口与供风系统相连,出气口通过三通阀与氨气吸收装置相连,通过三通阀的转换实现氨气连续吸收,依据《水质 氨氮的测定 水杨酸分光光度法》(HJ 536—2009)检测吸收液中氨浓度,实验箱内氨气浓度与吸收液中氨浓度之和为掺脱硝粉煤灰后混凝土的氨气释放总量。
通过调控实验箱内温度与风速等,以模拟混凝土施工环境、振捣与硬化过程,实现混凝土中氨气释放量的实时连续检测。

图1 混凝土中氨气释放量连续测定装置
1—数据采集系统;2—实验箱;3—振捣装置;4—氨气吸收装置; 5—供风系统;6—温度控制系统;7—氨气浓度自动检测系统; 8—三通阀;9—截止阀
1.4 计算方法
混凝土中的氨气释放总量计算公式为

式中,C为混凝土中氨气释放总量(μg);C1为吸收液中氨气质量(μg);C2为实验箱内氨气质量(μg)。
吸收液中氨气质量C1的计算公式为

式中C1为吸收液中氨气质量(μg);ρN为吸收液中氨氮的质量浓度(mg/L),以N计;1.2143为转换系数,以N计转化为以NH3计;Vp为吸收瓶中液体体积(L);1000为单位转化系数,将mg转化为μg
吸收液中氨氮的质量浓度ρN的计算公式为

式中,ρN为吸收液中氨氮的质量浓度(mg/L),以N计;As为吸收液的吸光度;Ab为空白试样的吸光度;a为分光光度法校准曲线的截距;b为分光光度法校准曲线的斜率;V为所取吸收液的体积(mL);D为吸收液的稀释倍数。
实验箱内氨气质量C2的计算公式为

式中C2为实验箱内氨气质量(μg);A为氨气浓度自动检测系统的显示数值(ppm);V箱为实验箱内空气体积(L);Vm为气体摩尔体积(L/mol),在20 ℃、101 kPa条件下取24.09,其他实验条件可根据理想气体方程PV=nRT求解;17.03为氨气的摩尔质量(g/mol)。
2 试验结果与分析
2.1 振捣条件对混凝土中氨气释放规律影响
根据现场施工工艺与环境条件,选择具有代表性的因素组合进行正交试验,研究振捣过程中各因素对混凝土氨气释放规律影响,混凝土配合比如表1所列。因素A(振捣起始时间)、因素B(振捣时长)、因素C(通气速率),每个因素取三个水平,振捣起始时间分别为15 min、30 min和45 min,振捣时长分别为15 s、30 s和45 s,实验箱体积为150 L,通气截面的直径为4 mm,通气速率分别为1.0 L/min、2.0 L/min和3.0 L/min,分别对应风力等级中的软风、清风与微风。
表1 各种类混凝土配合比

对混凝土中氨气释放量进行数据分析,找出利于混凝土中氨气释放的振捣条件,正交设计方案及分析结果如表2所列,方差分析结果如表3所列。
表2 正交设计方案及直观分析结果

注:振捣起始时间为从混凝土出机到开始振捣的时间间隔
表3 方差分析结果

由表2的极差结果可知,混凝土中氨气释放量影响因素的主次顺序为振捣时长>通气速率>振捣起始时间,由表3的方差分析结果可知,F(B,振捣时长)=15.69>F0.10(2,2)=9.0,为显著因素,最优水平应选取最大K值对应的水平,为B3,即振捣时长为45 s,结合现场施工情况与经验,振捣起始时间选取为A2,通气速率选取为C2,即振捣起始时间30 min,通气速率2.0 L/min。
2.2 掺不同铵含量粉煤灰混凝土的氨气释放规律
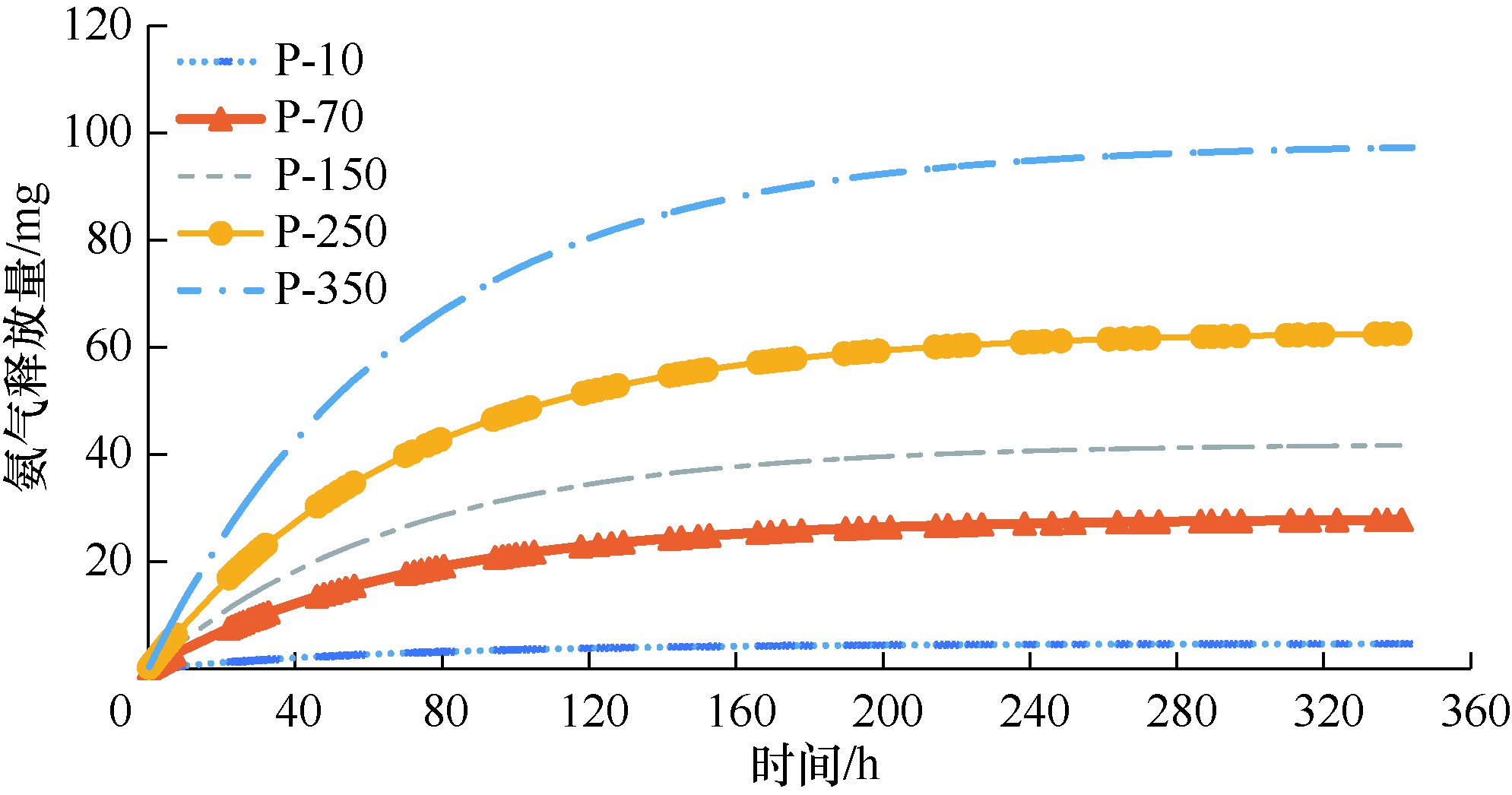
选择10 mg/kg、70 mg/kg、150 mg/kg、250 mg/kg和350 mg/kg共5种不同铵含量粉煤灰进行混凝土中氨气释放规律研究,混凝土配合比如表1所列。
不同铵含量粉煤灰混凝土在硬化过程中氨气释放量、释放百分比和释放速率的发展趋势分别如图2、图3和图4所示。从氨气释放量看,混凝土中氨气释放量在硬化早期显著增加,随着时间的增长,氨气释放量逐渐提高并趋于稳定;粉煤灰中铵含量越高,混凝土中氨气释放量越大。从氨气释放量百分比看,曲线趋于稳定后,不同铵含量粉煤灰混凝土中的氨气释放百分比在26%~53%之间;粉煤灰中残留铵含量越低,混凝土中的氨气释放百分比越高。从氨气释放速率看,混凝土中氨气释放速率随粉煤灰中铵含量增加而提高,不同铵含量粉煤灰混凝土中的氨气释放速率随时间变化曲线符合指数衰减规律。

图2 不同铵含粉煤灰的混凝土硬化过程中氨气释放量随时间变化曲线

图3 不同铵含粉煤灰的混凝土硬化过程中氨气释放百分比随时间变化曲线

图4 不同铵含粉煤灰的混凝土硬化过程中氨气释放 速率随时间变化曲线
氨在粉煤灰中主要有两种存在形式,一种是吸附在粉煤灰表面的NH3与水发生反应生成*水氨**,而*水氨**又极易分解,挥发出氨气,一种是残留在粉煤灰中的NH4+在水泥水化的碱性条件下与OH-反应,生成氨气。水泥水化产生热量,加速了粉煤灰中残留铵的反应与氨气的释放,随着水化的进行,混凝土逐渐硬化,水泥水化释放出的热量减少,粉煤灰中残留铵反应活性降低,部分未能逸出的氨气在混凝土内部形成气孔,因此在水化早期混凝土中氨气释放量显著增加,但释放速率呈指数衰减趋势。虽然后期混凝土中氨气释放量增长缓慢,但从释放速率试验结果可知,采用铵含量大于150 mg/kg的粉煤灰配制的混凝土,氨气仍在持续释放,混凝土中氨气释放是一个长期且缓慢的过程。
2.3 不同粉煤灰掺量混凝土的氨气释放规律
选择铵含量为150 mg/kg的粉煤灰,掺量分别为15%、25%和35%,研究相同铵含量粉煤灰在不同掺量下混凝土中氨气释放规律,混凝土配合比如表1所列。
不同粉煤灰掺量的混凝土在硬化过程中氨气释放量、释放百分比和释放速率的发展趋势分别如图5、图6和图7所示。分析试验结果可知,提高粉煤灰掺量,混凝土中残留铵含量随之增加,因此氨气释放量随粉煤灰掺量增加而提高。曲线趋于稳定后,不同粉煤灰掺量混凝土中的氨气释放百分比在27%~35%之间,氨气释放百分比随粉煤灰掺量降低而提高。粉煤灰掺量越高,混凝土中残留铵含量越高,混凝土中氨气释放越快,氨气释放速率随时间变化曲线符合指数衰减规律。

图5 不同粉煤灰掺量的混凝土硬化过程中氨气释放量随时间变化曲线

图6 不同粉煤灰掺量的混凝土硬化过程中氨气释放 百分比随时间变化曲线

图7 不同粉煤灰掺量的混凝土硬化过程中氨气释放 速率随时间变化曲线
2.4 混凝土中总铵含量与氨气释放量
选择不同铵含量粉煤灰混凝土与不同粉煤灰掺量混凝土,计算各种类混凝土中总铵含量及不同时段的混凝土中氨气释放量,并对总铵含量与氨气释放量进行一元线性回归分析,结果如表4所列,线性回归分析如图8所示。由回归分析结果可知,混凝土中总铵含量与氨气释放量线性相关,且相关系数良好。
表4 混凝土中总铵含量与氨气释放量


图8 混凝土中总铵含量与氨气释放量关系
图8 混凝土中总铵含量与氨气释放量关系 *载下**原图
混凝土中总铵含量即为粉煤灰中残留铵盐总量,目前各国粉煤灰技术标准中均没有残留铵含量的限值,但根据国家职业卫生标准《工作场所有害因素职业接触限值 化学有害因素》(GBZ 2.1—2007)对工作场所空气中氨容许浓度的规定,以时间为权数规定的8 h工作日、40 h工作周的平均容许接触浓度为20 mg/m3,即工作场所有限空间内氨气的浓度应小于20 mg/m3,因此在一定空间内,混凝土中总铵含量与氨气浓度线性相关,依据氨气释放量与释放百分比,可指导脱硝粉煤灰中残留铵含量安全限值的制定。
3 结论与展望
3.1 结 论
(1)采用研发的一种混凝土中氨气释放量连续测定装置,模拟振捣过程与硬化环境,可实现混凝土中氨气释放量的实时连续检测。提出氨气释放总量为吸收液中氨气质量与实验箱内氨气质量之和的计算方法,修正仅用吸收瓶内氨浓度计算氨气释放总量的测量误差,提高检测精度。
(2)由极差和方差分析法结果可知,对混凝土中氨气释放量的影响程度依次为振捣时长、通气速率和振捣起始时间,其中振捣时长为显著影响因素。
(3)混凝土中氨气释放量在硬化早期增长显著,随着时间的延长逐渐提高并缓慢趋于稳定,氨气释放量随粉煤灰中铵含量增加而提高,随粉煤灰掺量提高而增大。
(4)粉煤灰中残留铵盐含量越高,混凝土的氨气释放速率越快,但氨气释放百分比降低;混凝土中氨气释放速率随时间变化曲线符合指数衰减规律。
(5)混凝土中总铵盐含量与氨气释放量线性相关,且相关性良好。
3.2 展 望
本文采用研发的混凝土中氨气释放量连续测定装置,研究了不同振捣条件对氨气释放量影响,揭示了混凝土中氨气释放规律。因室内试验受场地与设备的限制,对于大体积混凝土施工,特别是隧洞和地下工程,可结合现有试验成果,依据实际情况开展现场试验,更加科学合理的确定混凝土中氨含量的安全限值,从而指导脱硝粉煤灰中残留铵含量安全阈值的制定。
水利水电技术
水利部《水利水电技术》杂志是中国水利水电行业的综合性技术期刊(月刊),为全国中文核心期刊,面向国内外公开发行。本刊以介绍我国水资源的开发、利用、治理、配置、节约和保护,以及水利水电工程的勘测、设计、施工、运行管理和科学研究等方面的技术经验为主,同时也报道国外的先进技术。期刊主要栏目有:水文水资源、水工建筑、工程施工、工程基础、水力学、机电技术、泥沙研究、水环境与水生态、运行管理、试验研究、工程地质、金属结构、水利经济、水利规划、防汛抗旱、建设管理、新能源、城市水利、农村水利、水土保持、水库移民、水利现代化、国际水利等。
