【项目地址】 位于春临三路与公田五路交汇处曲江城市运动公园旁。


【交通轨道】 地铁4号线金滹沱站。
【生态资源】 200亩曲江城市运动公园,660亩曲江电竞公园,西安市新植物园,中国唐苑,杜陵遗址生态公园。
【商业配套】 曲江电竞park mall商业综合体,金地广场,格调餐饮,私人会客厅,空中森林书吧。
【教育配套】 小区自建3000平幼儿园,周边曲江三小,曲江四小,曲江二中,航天小学中学曲江校区。
【医疗配套】 西安市人民医院,西北妇女儿童医院,航天总院。
项目概况:
总占地面积:82210 ㎡
户型面积:188㎡
总套数:1542户
绿化率:38%
容积率:2.98
物业费:3.2元/月・㎡
车位总数:2481
装修情况:毛坯

项目西侧紧邻曲江文化运动公园,南侧紧邻电竞主题公园,双公园环绕,环境优美。

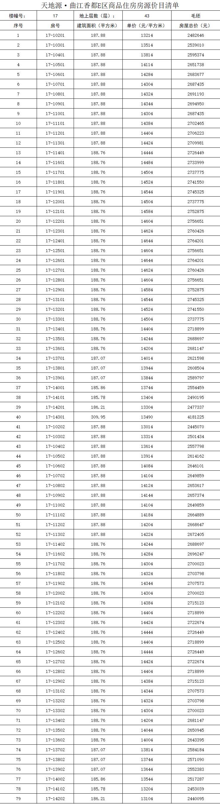
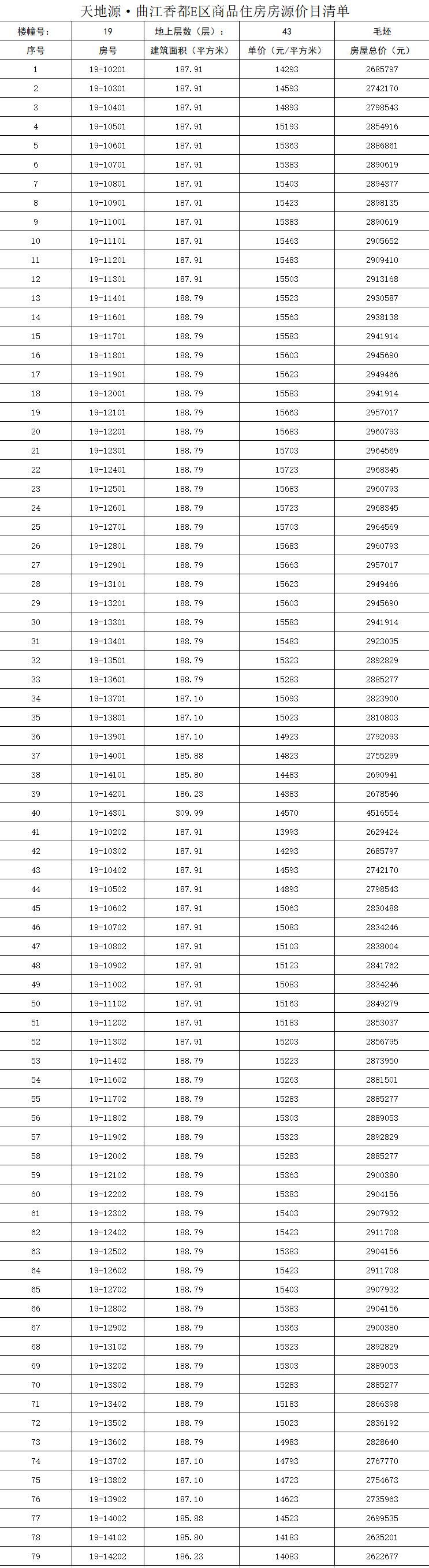
即将开盘17#、19#、23#,位于小区核心位置,两梯两户,层高43层,单套户型面积188㎡,观景超高大平层。
具体一房一价表如下:


