高等数学(专升本)精选好题。
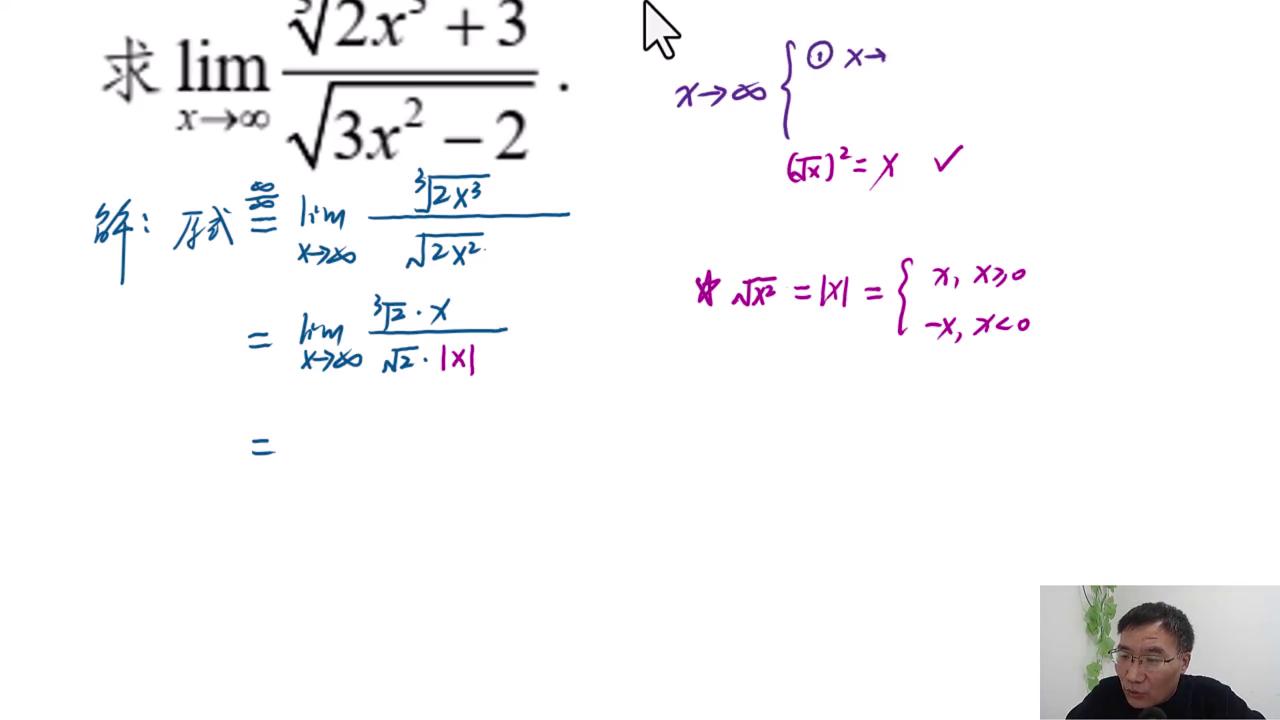
同学们好,高等数学专升本精选好题。今天看一道极限,这个极限其实不难,同学们都知道。拿到一个极限先判断一下类型,x去向于无穷大的时候分子是无穷大,分母是无穷大,它就是典型的无穷比无穷。同学抓个大头就出结果了,这个解题思路是很方便的。
但是这个题抓个大头能不能出结果?这就是这个题错的多的一个原因。所以下边来看这个题到底等于多少。拿到一个题先写上解,然后原是等于。判断类型是无穷比无形,无穷比无穷,这个类型是很好判断的对不对?

作为一个计算题怎么去做?可以抓到头没问题也可以上下同处最大象法。上面的最大象是谁?是x,下边的最大象也是x,因为上面开三次方下面开平方。现在就给大家抓大头好不好?抓大头怎么抓?上面根号里边三不要了这是大头,所以上边是二x的三次方,然后抓出这个来,开三次方这是大头。下边负二减二不要了,它是大头,它是大头是根号二x的平方。

下边关键的问题来了,下边来看一下下边怎么做?它等于什么?x趋向于无穷大的时候二开三次房就是二的三开三次房,x开三次房就是个x,但是下边二开平方就是个根号二x开平方。这个问题就在这,所以这个考点考的时候屡试不爽。每次考到这的时候同学们都会犯错误。

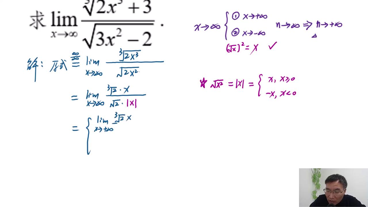
这个平方开方开出来是x,x是正值负可不知道,所以要加上绝对值。记住平方开方一定要加上绝对值,它和这个东西完全是不一样的。这个是等于x,这个没有错,但是平方再开方得保证x是正的。x是什么时候是正的?x大于等于零时直接去掉绝对值,x小于零时去掉绝对值是不是假符号?考的就是这样的知识点。

x的平方开方开出来是不是x的绝对值?开出来是x的绝对值。下边来看,这个时候x趋向于无穷大。知道函数的x趋向于无穷大有两个含义。第一个含义是趋向于正无穷。第二个含义是趋向于负无穷。它和数列n趋向于正无穷截然不同。数列里边n趋向于正无穷就是代表的趋向于正无穷。因为n是个自然数,这是个x是个函数,所以趋向于无穷大就代表两个含义。

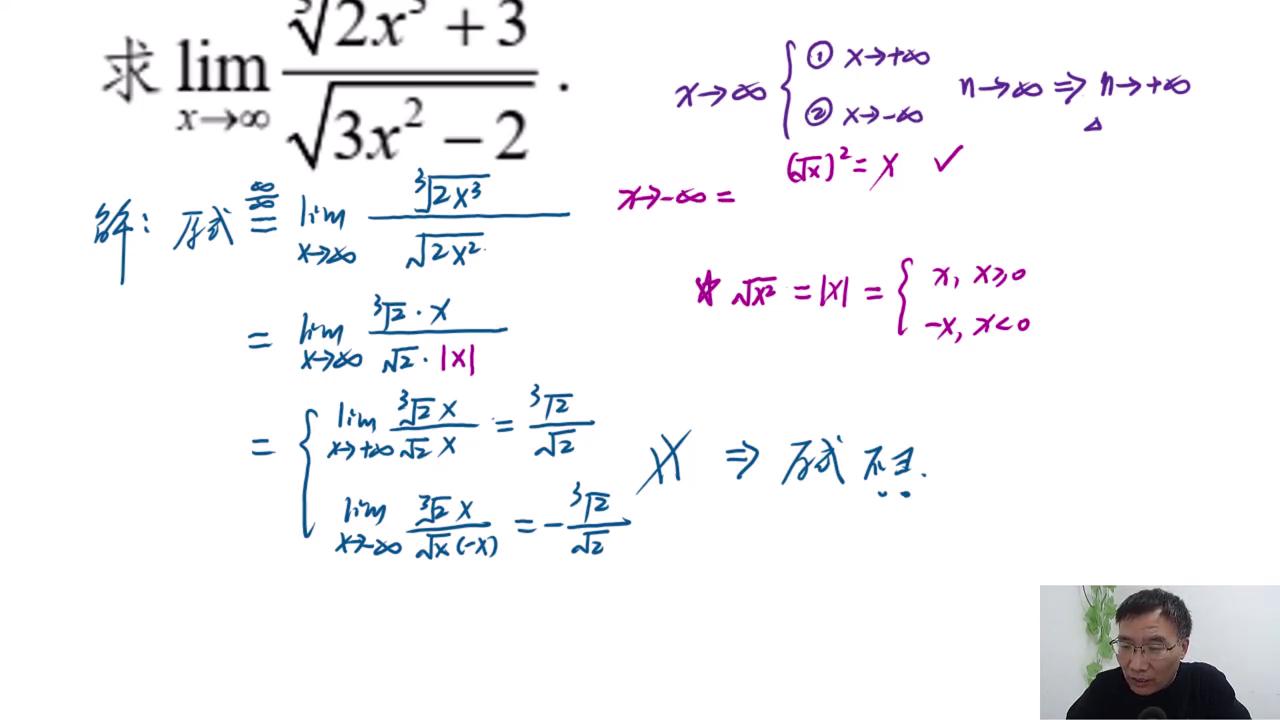
一个含义是趋向于正无穷。正无穷的时候绝对值就直接去掉,就是x方x一约,它是不是根号二分之二开。三次方。

x趋向于负无穷的时候,这个时候开三次方x下边绝对值是不就是个负x,所以它等于负的根号二分之二,开三次方左右极限不相等,所以得到原极限不存在。
所以遇到这种无穷比无穷抓到头的时候一定要小心,之前给大家讲过当x趋向于负无穷的时候第一步怎么办?做负代换,让x等于负t,这个时候就转换成t的极限,t是趋向于正无穷,就避免了负无穷抓到头的尴尬。

考试当中要么是正无穷,要么是负无穷,当遇到负无穷做负代换,遇到正无穷直接做,要是x趋向于无穷要小心,有两种情况,正无穷直接做,负无穷要小心有个符号的问题,这就是这个题错误多的一个原因。这个题未必能做对,所以同学们好好把这个知识点来巩固一下。