『运筹OR帷幄』原创
作者:周徐超 覃含章
周徐超,维也纳经济管理大学在读硕士生,美国密歇根州立大学供应链管理学士,研究方向:供应链管理
覃含章,美国麻省理工学院计算工程和科学博士在读,清华大学工业工程与数学双学士,研究方向:大规模机器学习/数值优化在运营管理中的应用
编者按
满足客户多变需求一直以来是企业追求的目标,而柔性流程设计恰正好满足这一要求。柔性生产理念强调在大规模生产中使用长链策略,决定是否需要对产能平衡,是否有必要对作业人员进行有效安排,为在整个流程中添加适当的柔性, 完成多变的生产计划。
柔性生产理念
流程柔性是针对不断变化的需求而衍生出的一种生产策略。简单来说就是是否需要使用一个工厂/流水线生产不同的产品,以最大满足多变的需求。以可口可乐的生产为例,我们有很多种不同口味的可乐,如基础版可乐,无糖可乐,樱桃味可乐等等。每种不同类型的可乐都有一定的随机需求。为最大满足多变的需求,决策者需要做出以下选择:如何安排哪家工厂生产何种口味的可乐?是否需要投资新增生产线,以便让同一家工厂能够生产更多口味的可乐?
本文分主要讨论过程柔性设计(process flexible)策略中被广泛应用在实际中的“长链“(long chain)策略,并简要介绍关于长链策略在2-flexibility design中的渐进最优分析。
一、先于理论的现象
在工业界,特别是汽车制造业,柔性生产很早就被应用于交叉生产不同的汽车或零件,即使用相同工厂或流水线生产不同的汽车和零件,例如基础版汽车和豪华版汽车的装配通常是在一个装配线上完成的。而这一现象首次被学术界注意到是在1995年,Jordan 和Graves首先发现只需以长链方式(long chain)向系统添加少量“柔性”,系统能满足的需求将大幅上升。据此,他们对某汽车制造商提出了若干引入柔性生产的建议并付诸了实施。下图是他们以长链方式逐步向系统加入“柔性”时产生的效益。

上图以二分图(bipartite graph)的形式给出了工厂和可生产零件的对应关系。左边的图是原生产关系,而右边的图是以长链方式加入柔性后的生产关系。在每个图中,左边的字母A~P是产品,右边的数字1~8是工厂,若有边连接左边与右边,则代表工厂能生产该产品。
对比左右两边,优化后的生产关系只加了6条边(黑色粗线),每条边添加后的效果如下表所示:

从表中可以看出,每增加一条边,满足的需求量(Sales)都在上升。表中的最后一行total flexibility是一种极端情况,表明每一个工厂都可以生产所有种类的产品。用二分图来表示的话,每个工厂和所有商品都有连线。这种极端情况虽然能最大满足需求(表中的sales最大),但在现实中因为高昂的成本而不可能出现,此处仅表明能满足的最大需求数。从表中数据可以看出,在简单的添加6条边之后,满足的需求已经接近最优值的99.5%。
遗憾的是,Jordan和Graves虽然注意到了长链在实践中的显著效果,但他们并没有给出相应的理论解释。这一问题直到20年后才由Simchi-Levi David and Yehua Wei.(2012)和Wang Xuan and Jiawei Zhang(2015)给出了较明确的回答。
二、对原问题的简化与抽象:
现在想象一个情况,一个工厂某部需要生产六种名为A-F的产品,并由6位不同员工完成作业,分别名为Adam, Bob, Carol, Dianne, Edith, Fred, 工作安排地计划如下:

这一生产安排没有任何“柔性”,因此是指定生产计划(dedicated system)。按照此计划,每周收到相应订单后6位员工相继开始工作,每位员工每周产量为10个产品。各种产品的需求量为一个相互独立的均匀的离散分布(8,10,12),也就是说,需求各以1/3的概率为8,10或者12。超出产量的产品需额外支付320美金;培训一名员工所需10000美金。显然每周需要超额工作的可能性为1/3, 那么一周超额工资期望值则为:

改进1:限制性柔性生产:Adam组装产品B
在接下来我们将讨论一种称为限制柔性(limited flexibility)的改进,对一些员工进行培训,对之前不属于他们负责的产品帮助完成生产。当市场对产品A的需求低迷(8个产品/周)却对产品B高涨(12个产品/周)时,其它产品C-F需求保持不变,公司需要考虑是否安排员工Adam在完成自身工作同时协助Bob的超额订单。

产品A周需求为8个,产品B周需求为12个,两个条件同时满足时的可能性为:
1/3*1/3=1/9
计算改进后的超额工资则为:
(2个超额产品)*(320美金/每个产品)*(1/9超额工作概率)*(1名员工)=71美金/员工
以此类推,我们可以计算出培训Adam后生产多余产品B所减少的费用,以一年52个工作周计算即约为3700美金;考虑到对Adam的培训费用已经是10000美金,需要3年时间才能够实现对这项人员投资的“盈利”。此时,对A的需求为8,对B的需求为12 ,因此系统恰能满足所有的需求,需求满足率上升到100%。
改进2:重复改进1,建立长链
重复1的过程,把六名员工以长链的方式紧紧地拴在了一起,形成了一个完整的链条。如图所示:

这样一来,Adam帮助完成部分产品B,Bob帮助完成部分产品C,Carol帮助完成部分产品D,Dianne帮助完成部分产品E,Edith帮助完成部分产品F,而Fred帮助完成产品A。
最终,在长链系统里,6名员工的总加班费用由最初的66560美金降到26295美金,节约了40000多美金。而6名员工的培训费为60000美金,因此可以在1.5年中收回“成本”。每条链产生的效果如下表所示:

三、过程柔性的理论解释

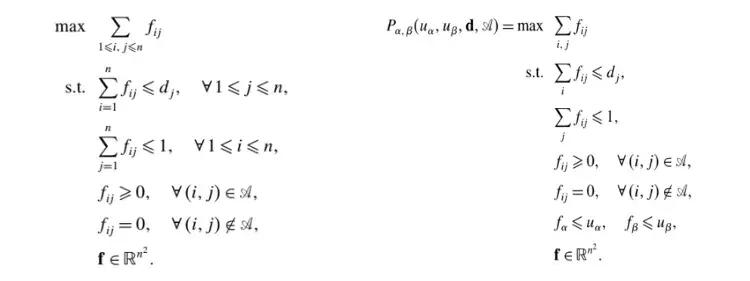
对平衡(balanced)制造系统,即工厂数等于产品数,柔性过程设计本质是一个最大流(max flow)问题,其表示式见左图。假设新增两条边α 和β,每条边上的容量是\μ_{\α}和\μ_{\β}。则模型由左边变为右边。可证明右边的目标函数最优值对\μ_{\α}和\μ_{\β}是supermodular。因为上述结论对任意需求d都成立,因此最优值的期望也满足supermodularity。
由supermodular function的定义可知,向系统中添加一条边会使其他边的边际效益增大,也就是说边与边之间是互补的关系。这一性质符合在实际中观察到的现象,即向系统中增加“柔性”可显著提高需求的满足度。事实上可以证明,从最初的一对一开始,逐步向系统中添加flexible arc会使得目标期望值越来越大,并且增长越来越快。也就是说,以长链方式向系统中增加柔性,随着边数的增多,系统能满足的需求数会增长越来越快,直到最终形成一个长链。
进一步分析可证明最优销售量可由n组不同的程度柔性系统的销售之差相加所得,由上述supermodularity产生的单调性可知,任意两不同柔性程度的系统之差总小于长链与长链缺一边之差,但n组F_n-F_n-1之和恰好是2-flexibility design的最优解,因此长链策略在该种情况下是最优策略。
此外,下列paper利用半正定规划(SDP)和概率论中的优化不等式的技巧证明了long chain design和full flexibility design非渐进(non asymptotic)的deviation bound,并通过数值实验表明在大多数情况下确实这个bound都很小!
Wang, Xuan, and Jiawei Zhang. "Process flexibility: A distribution-free bound on the performance of k-chain."Operations Research 63.3 (2015): 555-571.
四、总结
在有限的资源内,除了提高需求预测的准确度,如何让生产计划安排地更加具有灵活性是一个工厂作业管理中的重要议题。在需求分布概率不同的情况下,实施员工之间两两配合完成生产计划是可行的,但是对此投资的话,收益度却不高,资金周转慢。反而是在员工之间建立起一中链条式的联系,彼此间可以相互协助,减少怠工和加班,使得生产更加灵活。且“链条”的数量越多,资金投资的回报时间越快。这种柔性生产理念同样适用于流程改进,特别是在权衡改进的成本和收益之间的关系。关于柔性生产模型里,由于涉及到了许多数学领域如概率论,随机模型,优化理论,组合分析,也成为运筹学,管理科学上的一个热门研究领域。