肥厚型心肌病(Hypertrophic Cardiomyopathy,HCM)并不罕见,相反,是心内科相对常见的常染色体显性遗传性心肌疾病,人群中的发病率约为1/500。部分年轻患者平时无症状,以猝死为首发症状,所以HCM也是青年人和运动员猝死的常见原因之一。然而近50年,肥厚型心肌病的药物治疗一直没有任何突破,成为困扰心内科医生治疗的主要疾病。
直至2016年,一种针对肌节收缩蛋白的靶向抑制药物Mavacamten问世,引起大家的广泛关注,今年更是Mavacamten临床研究结果全面接受检阅的一年,连续在知名心血管杂志——Ann Intern Med(内科学年鉴)、J Am Coll Cardiol、Circulation子刊上发表其2期临床试验结果及3期临床设计之后,即将在2020ESC年会公布的3期临床研究EXPLORER-HCM更将令人瞩目,对于Mavacamten的临床应用前景也将起到决定性的意义。Mavacamten是否能为肥厚型心肌病的治疗带来一线曙光呢?本文将带您一起关注肥厚型心肌病的靶向治疗新药——Mavacamten的前世今生和未来。
作者:娄亚柯,刘巍,刘彤 首都医科大学附属北京安贞医院
背景介绍:肥厚型心肌病的定义
肥厚型心肌病的定义在美国与欧洲指南中存在分歧:
-
2011年ACC/AHA指南:肥厚型心肌病为肌小节基因突变所致,其诊断需排除负荷及全身性疾病导致的室壁肥厚;
-
而2014年ESC指南:肥厚型心肌病为不能用异常负荷因素完全解释的左室壁增厚。
-
因此,美国指南为狭义性肥厚型心肌病,即肌小节突变所致的遗传性心肌病;
-
而欧洲指南为广义性肥厚型心肌病,排除了高血压、主动脉瓣狭窄、主动脉瓣上及瓣下狭窄等负荷增高因素外,均诊断为肥厚型心肌病。
本文阐述的HCM为美国狭义的定义。HCM的病理形态改变主要以室间隔和游离壁肥厚为主,常呈不对称性肥厚,根据肥厚程度对左室流出道(LVOT)的影响可分为梗阻性HCM(oHCM)和非梗阻性HCM(nHCM)。
01 Mavacamten的前世
多少年来,人们对肥厚型心肌病的治疗仍然茫然,不知从何处下手,在此之前,最近的一个oHCM药物治疗的临床试验还要追溯到上个世纪60年代,而最新的临床药物获批则是在1973年。目前HCM的药物治疗主要是非特异性的,通过β受体阻滞剂和非二氢吡啶类钙离子通道阻拮抗剂(CCB)来缓解患者症状,但是这些治疗并没有明显改善HCM的疾病进展和预后,临床上迫切需要一个特异性的靶向药物来改变现状。
从病理生理机制来讲,HCM形成的原因主要是心肌肌节肌球蛋白基因突变引起肌球蛋白与肌动蛋白收缩时间延长(图1)加强了肌节收缩;在组织病理学上表现为心肌细胞增大、排列紊乱和心肌纤维化程度增加等,这些因素早期导致心肌细胞收缩功能增强,后期则会导致心肌舒张功能受限。

图1:小分子肌节蛋白收缩*制剂抑**治疗小鼠肥厚型心肌病机制
2016年Science杂志发表的重磅基础研究(A small-molecule inhibitor of sarcomere contractility suppresses hypertrophic cardiomyopathy in mice),为Mavacamten治疗肥厚型心肌病拉开了序幕,也奠定了其理论基础。该研究首次提出:MYK-461(Mavacamten化学名)作为肌节收缩蛋白的小分子*制剂抑**有望成为HCM治疗的一种有效尝试。
在基础实验中,研究人员首先筛选鉴定出一些能够降低心肌收缩力的特定化合物,然后对这些化合物进行分析,结果发现MYK-461可以通过降低心肌肌球蛋白重链的ATP酶活性来降低心肌收缩力。动物实验表明,给予了MYK-461的HCM突变小鼠其心肌肥厚、心肌细胞紊乱和纤维化程度均明显减轻,表达层面上MYK-461则可以降低HCM小鼠的肥厚及促纤维化相关基因表达,这些数据表明肌节收缩蛋白*制剂抑**可能是治疗HCM的一种有效方法。

图2:R403、R719和R453分别为不同基因突变导致的HCM,红色实线为未经MYK-461治疗HCM小鼠,蓝色实线为经MYK-461处理后的HCM小鼠,LVWT为左心室壁厚度,可见无论对于那种基因变异所产生的HCM,MYK-461均能够减少LVWT(p<0.05)

图3:红色柱体为未经MYK-461处理的HCM,蓝色柱体为经过MYK-461处理的HCM,纵轴为纤维面积,可以看出MYK-461减少了HCM小鼠心脏的纤维化

图4:红色柱体为未经MYK-461治疗的HCM,深蓝色柱体为早期行MYK-461治疗HCM,浅蓝色柱体为晚期行MYK-461治疗的HCM,纵轴为HCM小鼠相对于野生型小鼠HCM相关基因的表达倍数,可以看出无论在早期还是晚期行MYK-461治疗均可降低HCM相关基因的表达
02 Mavacamten的今生
MYK-461可以降低小鼠HCM发生这一研究结果促进了Mavacamten的药物研发,随之而来的是一系列的临床研究。分别在2020年5月及2019年4月发表的MAVERICK-nHCM和PIONEER-oHCM研究则是Mavacamten首次登台演出。作为Mavacamten的II期临床研究,MAVERICK-nHCM和PIONEER-oHCM一开始就取得了不俗的成绩。
1)
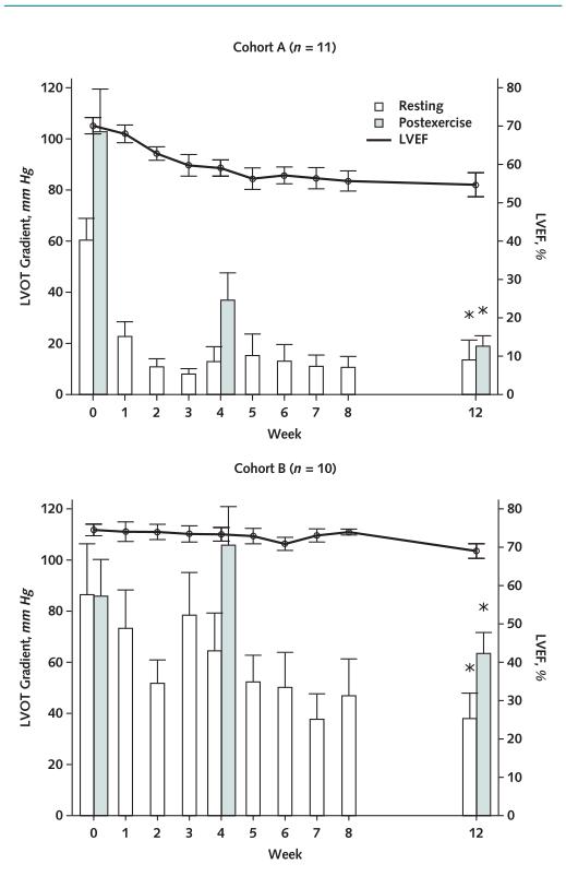
PIONEER-HCM简介
PIONEER-HCM研究在2017年美国心衰学会年会上公布,于2019年4月发表于《内科学年鉴》。在该研究中,研究人员纳入了21名梗阻性HCM患者接受Mavacamten治疗,其中A队列11名患者接受10-20mg的Mavacamten治疗,B队列10名患者接受2-5mg的Mavacamten+β受体阻滞剂治疗。
12周随访显示接受10-20mg Mavacamten的患者运动后LVOT的平均压力梯度从基线时的103 mmHg降低到了19 mmHg,平均降低89.5 mmHg(95%CI:[-138.3 ,-40.7] mmHg]; p=0.008),静息LVEF也降低了15%(95%CI:[-23% ,-6%]),最大摄氧量平均增加了3.5 mL/kg/min(95%CI, [1.2, 5.9] mL/kg/min)。
而在接受2-5mg的Mavacamten+β受体阻滞剂治疗的B组患者中,运动后LVOT的平均压力梯度从基线时的86 mmHg降低到了64 mmHg,平均降低25 mmHg(95%CI:[-47.1,-3.0] mm Hg]; p=0.020),静息LVEF也降低了6%(95%CI:[-10% ,-1%]),最大摄氧量平均增加了1.7 mL/kg/min(95%CI, [0.03, 3.3] mL/kg/min)。在症状性指标方面,两组患者的呼吸困难及NYHA分级均得到了改善。

图5:结果显示,无论对于检测性指标(如运动后LVOT压力梯度,静息LVEF水平,NT-proBNP等)还是症状性指标(如NYHA分级,呼吸困难评分),使用Mavacamten后均可以得到改善,且改善程度和药物浓度呈正相关
2)
MAVERICK-HCM研究简介
PIONEER-HCM研究纳入人群为梗阻性HCM患者,而在同期进行的MAVERICK-HCM研究则观察了Mavacamten对于非梗阻性HCM患者的治疗效果,该研究是一个随机对照试验,主要纳入有症状的nHCM患者,纳入标准为NYHA II/III级、LVEF≥55%,NT-proBNP≥300 pg/ml,共有19名患者分配到Mavacamten血浆浓度200 ng/ml组,21名患者分配到500 ng/ml组,19名患者分配到安慰剂对照组。
患者的基线信息无明显差异,16周随访显示应用Mavacamten患者NT-proBNP平均下降53% vs 1%(安慰剂组)(p=0.0005),治疗组和对照组cTNI水平分别为-34% vs +4% (p=0.009)。但是和PIONEER-HCM研究略有不同的是,该研究的其他终点如NYHA分级和最大摄氧量等在随访时均未见明显差异。

图6:由图可见在应用Mavacamten药物16周时患者NT-proBNP和cTNI改善水平最为明显,随后经过8周的洗脱期至24周时,患者原有的NT-proBNP和cTNI改善逐渐消失
03 Mavacamten的未来
无论是2016年发表的基础研究还是新近发表的2期临床试验,虽然都显示出了Mavacamten的美好前景,但这些到真正的大规模临床应用还有一段距离,而即将发布的EXPLORER-HCM研究最有可能将这一新药推向上市。
Mavacamten已经进行了临床前的大型随机对照试验,今年6月,Circulation: Heart Failure上发表了EXPLORER-HCM研究设计。该试验纳入了251名梗阻性HCM伴NYHA II/III级患者,按照1:1随机分为治疗组和对照组。在30周的时候进行随访,随访结局仍然为II期试验的结局,即包括最大摄氧量、NYHA分级、运动和静息LVOT压力梯度以及患者呼吸困难改善等。
虽然已有部分报道显示使用Mavacamten治疗30周的所有结局与安慰剂相比具有高度统计学意义,但是该报道却未具体指出Mavacamten对于HCM患者各项指标究竟改善了多少,另外ESC官网显示EXPLORER-HCM结果将于今年9月的ESC会议上Hotline正式公布。如果用一句话来概括Mavacamten对HCM的治疗前景就是:未来可期。

专家点评

刘彤 教授
首都医科大学附属北京安贞医院
肥厚型心肌病患者在人群中占有重要比例,目前来讲还未有特异性的治疗方法,现在的β受体阻滞剂以及CCB类药物治疗只能单纯改善症状,但是对于患者的预后并无显著作用,关于肥厚型心肌病的药物治疗也一直在探索但是未见显著的进步。Mavacamten作为一种小分子肌节蛋白*制剂抑**,可以抑制ATP酶的活性,在基础和临床试验中都显示出了良好的效果,有望解决肥厚型心肌病这一难题,为肥厚型心肌病的治疗带来了新的希望。
我们说从HCM的病因学层面上发现小分子的*制剂抑**靶向治疗HCM是一件不容易的事情,而将Mavacamten推向临床,获取循证医学的依据,更是一个艰辛漫长的过程。首次的临床II期研究PIONEER-oHCM的研究结果是满意的,Mavacamten与对照组相比,经过12周的治疗,试验组oHCM患者明显降低了LVOT的压力阶差,降低了LVEF,改善了患者的运动耐量,缓解了临床症状;随后临床III期研究EXPLORER-oHCM扩充了HCM的患者,整体研究设计及临床观察终点与PIONEER-oHCM一模一样,研究结果将在2020年ESC年会上公布;对于非梗阻肥厚型心肌病的患者,MAVERICK-nHCM临床研究的结果,与对照组相比Mavacamten治疗组仅仅降低了nHCM患者的心脏压力和损伤的生物学标志物,而对功能学水平、临床症状和生活质量没有达到统计学的意义。
尽管初期的临床研究结果是满意的,但是3项研究也有一定的局限性:
1. 因为临床观察周期较短,在临床终点事件的选择上均用了替代终点,未来作为临床医生我们更希望看到靶向药物Mavacamten对HCM的患者能够逆转左心室的肥厚,降低HCM患者的猝死发生率,改善HCM患者的预后;
2. MAVERICK-nHCM临床研究的结果对HCM患者的功能学水平、临床症状和生活质量没有达到统计学的意义,这可能与入选的患者异质性较强有关联,在MAVERICK-nHCM入选患者中并非所有人都进行了基因检测,因此真正是我们所说的狭义的HCM患者还有待经一步商榷。
当前由于HCM患者药物治疗的局限性,靶向治疗Mavacamten的出现无疑是HCM患者黑暗中的一线曙光,Mavacamten明显降低oHCM患者LVOT的压力阶差,改善了患者的临床症状,随着临床观察周期的延续我们希望Mavacamten能够逆转HCM患者肥厚的左心室,降低HCM患者的猝死率,那么未来时间肥厚型心肌病将是完全能治愈的遗传性心肌病。
参考文献:
1. Green EM, Wakimoto H, Anderson RL, et al. A small-molecule inhibitor of sarcomere contractility suppresses hypertrophic cardiomyopathy in mice. Science. 2016; 351(6273): 617-621. doi:10.1126/science.aad3456.
2. Heitner SB, Jacoby D, Lester SJ, et al. Mavacamten Treatment for Obstructive Hypertrophic Cardiomyopathy: A Clinical Trial. Ann Intern Med. 2019; 170(11): 741-748. doi:10.7326/M18-3016.
3. Ho CY, Mealiffe ME, Bach RG, et al. Evaluation of Mavacamten in Symptomatic Patients With Nonobstructive Hypertrophic Cardiomyopathy. J Am Coll Cardiol. 2020; 75(21): 2649-2660. doi:10.1016/j.jacc.2020.03.064.
4. Ho CY, Olivotto I, Jacoby D, et al. Study Design and Rationale of EXPLORER-HCM: Evaluation of Mavacamten in Adults With Symptomatic Obstructive Hypertrophic Cardiomyopathy. Circ Heart Fail. 2020; 13(6): e006853. doi:10.1161/CIRCHEARTFAILURE.120.006853.

作者简介

娄亚柯
-
首医医科大学附属北京安贞医院心内科在读研究生
-
以第一作者发表SCI论文一篇,中文综述一篇
专栏专家简介

刘巍教授
-
首都医科大学附属北京安贞医院心内科主任医师,副教授,硕士生导师,博士,先后在新加坡国立大学Tan Tock Seng医院,日本东邦大学大森医院心血管介入中心,美国休斯顿德州医学中心Methodist医院Debacky心血管中心及德州大学医学部接受心内科及心血管介入培训
-
擅长冠心病诊治,结构性心脏介入治疗
-
目前担任欧洲心脏病学会委员,美国心脏协会委员,中华医学会心血管分会冠心病与动脉粥样硬化学组委员,北京医学会心血管分会青委会副主任委员,中国医师协会心血管分会青年委员
专栏专家简介

吴小凡教授
-
首都医科大学附属北京安贞医院主任医师,教授,博士研究生导师,现任安贞医院心内二十一病房B区副主任
-
入选“教育部新世纪优秀人才”(2012年),“北京市卫生系统高层次卫生技术人才”(2013年), “北京市百千万人才” (2019年)
-
主要从事冠心病精准介入治疗和综合防治,精通各种腔内影像与生理学技术在冠脉介入手术中的应用
-
全国心血管疾病介入诊疗技术培训项目培训基地(冠心病介入)导师
-
主要社会兼职:中华医学会心血管分会委员,北京心脏协会理事,北京医学会心血管分会青年委员,中国老年保健协会心血管疾病预防与康复专业委员会常务委员,中国医师协会整合医学分会心血管病专业委员会委员,美国心脏病学会委员(FACC)
专栏专家简介

房芳教授
-
首都医科大学附属北京安贞医院,北京市心肺血管疾病研究所,北京安贞医院睡眠中心主任,主任医师,博士生导师,教授
-
主要社会兼职:欧洲心脏病协会Fellowship (FESC),欧洲心脏影像协会成员,欧洲心力衰竭协会成员,亚太结构性心脏病俱乐部成员,中国医师协会睡眠专业委员会心肺学组副组长,中国老年睡眠协会心肺血管疾病组副组长,等
专栏专家简介

刘彤教授
-
首都医科大学附属北京安贞医院心内科心衰病房,医学博士,主任医师,副教授,硕士生导师
-
主要研究方向为重症心衰治疗以及心肌纤维化、左室重塑的发病机制及病理研究
-
主要社会兼职:中华医学会心血管病学会心力衰竭学组委员,中国心血管病研究杂志编委,等
-
近5年第一作者及通讯作者发表有关临床心衰研究SCI文章20篇,在临床研究中主要负责临床课题的实验设计、心脏影像学资料的分析及数据处理