来自:机电原理
1、为什么暖通很强调水力平衡,给水一般不怎么在意水力平衡。
给排水主要是开式系统水量供给控制,按最大需求保证 供给充足 就可以了。这个好比在大食堂吃饭,你要多少就打多少,食堂保证供给充足。
因为暖通水力平衡主要是 闭式系统循环流量(流速)控制 ,主要是个比例分配问题,精度差了就会出线水量与需求不匹配。
这好比居家做饭,做的总的饭量是按大家饭量加出来的,有吃多了就有人不够吃。控制不了大家的饭量起伏,就只能不惜浪费的多做。
2、做不好水力平衡会怎样,系统就不能运行了吗,项目能平稳运行是否就算水力平衡做好了?
项目水泵总流量一定,如果水量没有按需求分配,有过流的支路也就会有欠流支路。
就有两种后果
①是欠流的支路不能满足要求;
②是欠流的支路水量能满足要求但过流的支路水量浪费。
一般项目设计会有裕量,保证欠流的支路水量能满足要求宁愿过流的支路水量浪费。
设计裕度不足或不平衡严重则可能①②两种情况同时出现。
常见的水力失调现象有:
1) 空调末端表现为夏季:近冷远热,冬季:近热远冷;
2) 整个系统启动时间长,房间温度波动大、舒适性差;
3) 调节阀无谓动作,不正常噪声、振动,调节阀驱动器烧毁;
4) 系统小温差运行,水泵功耗巨大,水泵过热、烧毁;
5) 冷水机组效率低下,无法发挥正常功能。
根据水力失调的特性可将其分为静态水力失调与动态水力失调。
静态水力失调是指由于设计、施工、设备材料等原因导致的系统管道阻力系比值与设计要求的比值不一致,从而致使系统各用户的实际流量与设计流量不一致。静态水力失调是稳态的、根本性的,是系统本身所固有的。造成静态水力失调的根本原因是各环路间实际资用压差与设计压差之间的差异,造成实际流量与设计流量的偏差,该差异是由于各环路管道长度、末端阻力、以及设计与施工的偏差造成的。
动态水力失调是指系统实际运行过程中当某些末端阀门开度改变引起水流量变化时,系统的压力产生波动,其它末端的流量也随之发生改变,偏离设计要求流量。动态水力失调是动态的、变化的,它不是系统本身所固有的,是在系统运过程中产生的。其产生原因是末端设计荷与实际负荷之间的差异,在系统运行过程中无规律,且变化较为频繁。
3、空调箱、FCU水流超速了,不是换热更多吗,为什么是浪费?
设备设计是保证额定水量换热效率,超过额定水量热交换效率降低,水量就被浪费了。

随着冷水流速的增加,盘管换热量增加的速度将减小。
例如:当热传导效率0.33时,300%的水量,散热器散发出的热量只有额定情况下120%。
4、过流主要浪费什么能量。
主要浪费循环水泵的电力。
另外更大的水量意味着更大的压头,所以浪费的电力,比浪费的水量比例更多。

5、空调箱、FCU不都是设计的温度达到要求后就会切断或减少水量吗,这样还有浪费吗?
开闭阀不能控制阀门开时的流速的问题,浪费仍然存在。
调节阀如果设置不当,可能只能起到开闭控制的作用,仍然控制不了流速。
6、水力平衡的主要原则是什么
各分支的压头损失尽量接近,水量变化比例趋势一致是最理想的情况。
管路压头损失尽量小,压头损失尽量在设备,不要因为某些分支压力损失大而把整个系统扬程提高。
平衡阀尽量少用,级数少于两级。
7、空调箱和风机盘管为什 么不宜设置在一条回路?
主要原因是阻力两种设备的阻力相差很大。一般空调箱阻力不超过5kPa,风机盘管阻力0.4~2kPa,放在一起水量都会被FCU抢走。
就像你不能让张飞和林黛玉在一个桌子上抢饭吃一个道理。
8、平衡阀有哪几种,具体区别是什么
一般有静态平衡阀,动态平衡阀,动态平衡电动调节阀,动态平衡电动开关阀
静态平衡阀 就是一个能测流量的手动调节阀,可以设置在一定流量的阻力大小,当流量变化不大时阻力与流量成比例关系。
动态平衡阀 是通过改变阀芯与阀座的间隙(开度),来改变流经阀门的流动阻力以达到调节流量的目的,其作用对象是系统的阻力。在工作压差范围内可以精确控制流量或压差,具有自适应能力。

动态平衡阀由自动调节阀瓣和手动调节阀瓣两部分组成。系统流体的工作压力为P1,手动调节阀瓣的前后压力分别为P2、P3。当手动调节阀瓣调到某一位置时,即人为确定了“设定流量”,以及相对应的固定(P2-P3)值。当系统流量增大时,(P2-P3)的实际值超过了允许的给定值,此时自动调节阀瓣自动关小,直至流量重新维持到设定流量,反之亦然。
特点1.能使系统流量自动平衡在设定值;2.能自动消除水系统中因压差波动引起的水力失调现象,保持设定流量。
动态平衡电动调节阀: 俗称一体阀,是动态平衡+电动调节阀的结合,因为可以保持调节阀前的压差,因而可以不受系统压力影响的精确调整水量。
压差动态平衡电动开关阀 :动态压差平衡阀和电动开关阀的结合,可以保证风盘等设备的水量稳定。
9、平衡阀常规设置一般遵守什么原则?
平衡阀设置级数要少,尽量不要超过两级。
第一级为了节省费用一般可采用静态平衡阀,一般设置在功能相似的不同空间干管上,但也不一定;例如远端水量变化大,近端用动态平衡阀配合最末端压差变频就能更节能。
动态平衡阀(或动态平衡电动调节阀),动态平衡阀设置的越末端越好(为了造价问题可能空调箱会采用,FCU就一个支路一个)。
后端不用动态平衡阀的支路可以设置根据温差变化的电动调节阀(这个是另外一套调节水量的方法不适合后端用动态阀的)。
10、如果平衡阀设置的级别越少越好,为什么干管还要设置静态平衡阀,能只用一级动态平衡电动调节阀吗?两级动态阀可以叠加使用吗?
可以只用一级动态,只采用一级动态平衡电动调节阀还能提高动态平衡阀的阀权度,有利于控制。
也可以两级动态叠加使用,只是需要更大的压头。
11、用动态平衡电动调节阀一定可以精确控制流量吗?
不一定,需要考虑事情还很多,调节阀的阀权度、阀门的控制特性曲线、调节范围要在阀门的可调比范围以内、阀门需要控制水量最小水量不能低于阀门最小理论流量,阀门两端需要有足够的压差。
12、什么是PID调节,如果自控系统有了PID调节,阀门就会自动稳定在平衡状态,为什么还要动态压差平衡阀呢。
PID调节是种很老的机械调节方法,没有任何记忆或智能学习功能。
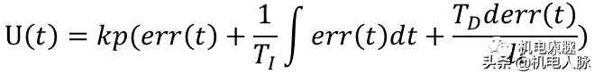
定义: PID,就是“比例(proportional)、积分(integral)、微分(differential)”,是一种很常见的控制算法。


括号内第一项是比例项,第二项是积分项,第三项是微分项,前面仅仅是一个系数。很多情况下,仅仅需要在离散的时候使用,则控制可以化为
每一项前面都有系数,这些系数都是需要实验中去尝试然后确定的,为了方便起见,将这些系数进行统一一下:

总的来说,当得到系统的输出(空调系统就是实际温度与设定温度的温差)后,将输出经过比例,积分,微分3种运算方式,叠加到输入中(阀门开度),从而控制系统的行为,下面用一个简单的实例来说明。
举例:假设我有一个水缸,最终的控制目的是要保证水缸里的水位永远的维持在1米的高度。假设初始时刻,水缸里的水位是0.2米,那么当前时刻的水位和目标水位之间是存在一个误差的error,且error为0.8.这个时候,假设旁边站着一个人,这个人通过往缸里加水的方式来控制水位。
如果单纯的用比例控制算法,就是指加入的水量u和误差error是成正比的。即u=kp*error
“P”
假设kp取0.5,那么t=1时(表示第1次加水,也就是第一次对系统施加控制),那么u=0.5*0.8=0.4,所以这一次加入的水量会使水位在0.2的基础上上升0.4,达到0.6.接着,t=2时刻(第2次施加控制),当前水位是0.6,所以error是0.4。u=0.5*0.4=0.2,会使水位再次上升0.2,达到0.8.如此这么循环下去,就是比例控制算法的运行方法。
但是,考虑另外一种情况,假设这个水缸在加水的过程中,存在漏水的情况(空调系统的环境的热传导),假设每次加水的过程,都会漏掉0.1米高度的水。仍然假设kp取0.5,那么会存在着某种情况,假设经过几次加水,水缸中的水位到0.8时,水位将不会再变换!
“I”
上面的例子,如果仅仅用比例,可以发现存在暂态误差,最后的水位就卡在0.8了。于是,在控制中,我们再引入一个分量,该分量和误差的积分是正比关系。所以,比例+积分控制算法为:
u=kp*error+ ki∗∫ error
还是用上面的例子来说明,第一次的误差error是0.8,第二次的误差是0.4,至此,误差的积分(离散情况下积分其实就是做累加),∫error=0.8+0.4=1.2. 这个时候的控制量,除了比例的那一部分,还有一部分就是一个系数ki乘以这个积分项。由于这个积分项会将前面若干次的误差进行累计,所以可以很好的消除稳态误差(假设在仅有比例项的情况下,系统卡在稳态误差了,即上例中的0.8,由于加入了积分项的存在,会让输入增大,从而使得水缸的水位可以大于0.8,渐渐到达目标的1.0.)这就是积分项的作用。
“D”
微分,说白了在离散情况下,就是error的差值,就是t时刻和t-1时刻error的差,即u=kd*(error(t)-error(t-1)),其中的kd是一个系数项。在接近目标过程中,因为error是越来越小的,所以这个微分控制项是负数,在控制中加入一个负数项,他存在的作用就是为了防止超过目标。从常识上可以理解,越是快速靠近停车线,越是应该注意踩刹车,所以这个微分项的作用,就可以理解为刹车,当车快速靠近目标时,这个微分项的绝对值(实际上是一个负数)就会很大,从而表示应该用力踩刹车才能让车停下来。
切换到上面给水缸加水的例子,就是当发现水缸里的水快要接近1的时候,加入微分项,可以防止给水缸里的水加到超过1米的高度,说白了就是减少控制过程中的震荡。
如果采用静态平衡阀,系统因其他回路调节造成本回路压差的变化会导致阀门需要重新调节,导致系统震荡较多,无法稳定。PID控制器对于线性性好,输入不超过斜坡的系统是非常简单实用的,但是对复杂非线性系统和复杂信号追踪,非常有局限性。

13、为什么有的系统用动态平衡阀不能节能甚至还造成系统调不出平衡。
动态阀的特点是能适应系统压差高和压差波动,但是不能适应系统压差不足(或者说水量不足)的情况,如果系统压差不足用动态阀反而情况会更差。属于能共富贵不能共患难的,系统情况好了它不会多要水,但是系统情况差了它会全开抢水,失去调整性,且会造成远端设备情况更差。所以动态阀要配合变频采用的压差点要用最不利末端变频,如果水力情况变化大最不利末端不定,要多设置几个最不利末端,保证最低压差。
14、为采用两管制的系统冬天重新需要做水力平衡吗,如果采用动态平衡电动调节阀能自适应吗?
需要做,采用动态平衡电动调节阀更需要做,否则采用动态平衡就浪费了。
因为冬天热水泵的水量和夏天相差很大,一般可能为夏天的30~50%左右,末端设备水量全开分配的水量和实际需求会相差很多,有的大于需求,有的会小于需求,阀门PID调节时互相影响很大,难以稳定。
采用静态平衡时各个回路压差不均,虽然可以自动调节,但是有些回路会因压差大水量小难以精确调整。有些回路会因其他阀门调整出现压差不足无法调出。
当采用动态平衡阀时,因系统冬天采用的热水泵水量低扬程低,近端动态阀会因压差不足而阀门全开抢水,造成后端水量不足,水力平衡更差;系统压差动荡更大,更难调整。
总的来说就是一句话,如果夏天需要做水力平衡,那么冬天也要。
15、有些厂家推出的两管制系统动态平衡电动调节阀冬夏切换功能,这个有用吗。
如果物业冬夏切换重新做水量平衡调整,重新调整每个动态阀则可以不要这个功能。
但是如果物冬天时仍然采用夏天的模式运行加这个功能还是有用的,否则系统可能震荡很大,不节能或冷热不均。
16、什么是阀权度?阀权度会影响什么
定义: 调节阀全开时,阀门的压力du损失占该调节支路(包括阀门本身)总压力损失的百分率。
阀权度=阀门在全开并通过设计流量时的降压/阀门关闭时的压降。
从理论上说,这个值越大越好,表明阀门能够对流量进行有效调节从而对能量输出进行有效控制。但在没有其它设施保证其阀权度时,要实现具有较大的阀权度意味着电动调节阀上的压降要大,这又要消耗较多的水泵扬程,运行不经济,是矛盾的,因此综合考虑一般取值为0.5左右(没有动态压差平衡阀时),最低不小于0.3。
举个例子:

Δpv100 :30
Δpv0 :54
因此阀权度是:30/54=0.56。
注:阀门关闭后整个管网系统阻抗增加,压差会升高,此处为近似计算。
阀权度的实质是阀门在调节中的话语权、控制权的权重,也就是其阻抗值在调节管路中的占比。其占比高,话语权就越大,流量就越受阀门精确控制。
因空调末端和管路等设备存在阻抗,阀权度小于1。
阀权度越接近于1 ,阀开度变化对流量的变化控制曲线越趋于理想曲线,调节性较好。
但阀门本身的阻抗会非常大,增加了系统损耗,对水泵的扬程要求就高,不利于节能。
阀权度越接近于0 ,阻力损失较小,阀门开度变化对流量的变化控制曲线越远离理想曲线,调节性能变差。
过小的值会使得阀门的调节特性劣化为开关特性,不利于调节控制。
不同阀权度下的开度和流量特性曲线如下:

对于电动两通阀, 阀权度通常控制在0.25-0.5之间 。不能小于0.25,否则会引起管路之间的压力和流量的震荡。
不同阀权度阀门的开度与空调冷热量的输出。

等百分比阀门在关闭时尚有4%的理论流量, 即小于理论最小流量时,流量就失去 控制。可控流量的最大值 G max与最小值 G min之比
R F(=G max/ G min)称为阀门的可调比。其灵敏度在此范围内是定值,具有等比率特性, 比例阀由此得名。
根据可调比的定义可以知道阀门的可调比决定了流过阀门的可调流量的最大值和最小值。当阀门安装到管网中其最小可控流量值将会受阀权度的影响。当某支路中阀门的阀权度为所选调节阀的可调比二其最小理论可控流量是最大流量的对应的盘管的最小散热量约为。当阀门接近关闭状态时阀门上的压差将增大为其设计值的倍这时阀门的最小理论可控流量由于阀门两端压差的变化而发生变化。图一表示为不同的阀权度对实际最小可控流量的影响。

17、什么是阀门流量特性曲线
阀门的的流量特性,是在阀两端压差保持恒定的条件下,介质流经调节阀的相对流量与它的开度之间关系

阀门流量特性可定义为: 被控介质流过阀门的相对流量,与阀门的相对开(相对位移)间的关系称为调节阀的流量特性。一般来说分为直线、等百分比(对数)、抛物线及快开四种!具体描述及优点如下:
一, 直线特性是指阀门的相对流量与相对开度成直线关系,即单位开度变化引起的流量变化时常数。线性特性的相对行程和相对流量成直线关系。单位行程的变化所引起的流量变化是不变的。流量大时,流量相对值变化小,流量小时,则流量相对值变化大。
二, 等百分比特性(对数)是指单位开度变化引起相对流量变化与该点的相对流量成正比,即调节阀的放大系数是变化的,它随相对流量的增大而增大。等百分比特性的相对行程和相对流量不成直线关系,在行程的每一点上单位行程变化所引起的流量的变化与此点的流量成正比,流量变化的百分比是相等的。所以它的优点是流量小时,流量变化小,流量大时,则流量变化大,也就是在不同开度上,具有相同的调节精度。
三, 抛物线特性是指单位相对开度的变化所引起的相对流量变化与此点的相对流量值的平方根成正比关系。流量按行程的二方成比例变化,大体具有线性和等百分比特性的中间特性。
四, 快开流量特性是指在开度较小时就有较大的流量,随着开度的增大,流量很快就能达到最大,此后再增加开度,流量变化很小,故被称为快开特性。

隔膜阀的流量特性接近快开特性,蝶阀的流量特性接近等百分比特性,闸阀的流量特性为直线特性,球阀的流量特性在中启闭阶段为直线,在中间开度的时候为等百分比特性。

在一般情况下,球阀和蝶阀通常不被做调节之用,如果做调节用,也是在开度很小的情况下才起到调节作用,一般可以归为快开型,而真正作为调节用的大部分基本上是截止阀,把阀头加工成如抛物线形锥形、球形等,都会用不同的曲线特性,一般来说作为调节,基本上用等百分比的特性用的比较多。

按照O派理论反向非线性特征调节阀对受控换热器的非线性特性进行补偿,获得换热器热输出量与阀门开度的线性控制特性,在末端非线性热出力情况下,利用 具有等百分比特性的阀门 ,可以获得温控阀阀杆行程与盘管热出力的线性关系,如图上图所示。
18、变频泵的变频控制方式有哪些种?
变频泵控制方式一般有压差控制和温差控制。
压差控制又分为干管定压差控制,最不利末端定压差控制,变压差控制,定温差变流量控制


19、阀门参数中的Kvs含义:
Kvs即流量系数(亦称流通能力)。
Kvs指的是阀门两端压差为0.1MPa,水的密度为1g/cm^3,阀门全开时的流量。它是调节阀的重要参数,反映调节阀的容量。
流量系数是指单位时间内、在测试条件中管道保持恒定的压力,管道介质流经阀门的体积流量,或是质量流量。即阀门的最大流通能力。流量系数值越大说明流体流过阀门时的压力损失越小。阀门的CV值须通过测试和计算确定。
20、水力系统稳定性如何定 量分析?
水力稳定性是水系统本身的属性,它与具体的调节器、控制器特性以及控制参数等没有关系。
为评价管网中各支路间的相互影响, 可以这样定义支路 i 的稳定性: 当调节支路 i 的阀门, 使该支路流量变化ΔGi, 这时若此支路与其它支路相互影响, 则由于支路 i 的调节, 会导致各支路的流量都有一些变化。其中一部分支路不希望流量被改变, 因此可以调整这些支路的阀门, 使这 些支路的流量恢复到原来的流量, 但这又使支路 i 流量向回变化 ΔG′ i, 这两个流量变化之比可称作支路 i 的稳定性KS : KS =ΔGi′ /ΔGi (22)
KS 为 0表明支路 i 流量将不使其它支路流量变化, 或其它支路的调节不会影响支路 i,因此稳定性最好;
KS 为 1 表示调节支路 i 后尽管流量有所变化, 但其它支路为了保证其流量不变而进行的调节将又使 i 的流量恢复原状。因此 KS 为 1 表示支路 i 的稳定性极不好;
当 0<KS<1 时, 经过一个回合的调节, 支路 i 的流量仅变化了希望变化的流量 ΔGi 的( 1-KS) ,
若 KLS 不等于0, 则需要这样调节 L 个回合, 支路 i 才能达到要求的流量。
KS <0.2 表明 "在该工况下其他回路对被调回路的水力稳定性很好。此时若各回路参数已经单独整定,在运行时基本不需要重新整定" 回路的控制参数即可得到较好的控制品质。在供热空调系统设计时,应尽量使各回路的水力稳定性在此范围内,从而为系统的控制和运行调节奠定基础。
0.2<KS <0.8表明相应工况下 "被调回路的水力稳定性较差。此时,如果各回路参数已经单独整定,投入运行后一般需要对控制参数进行一些调整才能使得系统正常运行。
0.8<KS 表明相应回路的水力稳定性极差,这时如果各回路控制参数单独整定,系统整体闭环运行时 几乎不可避免地发生不可控的现象。需要考虑一些其他的控制措施,如解耦控制等。
1<KS时, 回路被调量对调节量的响应在被调回路中所有回路闭合时将会反向 。这就是说,如果回路单独整定后可以独立正常工作的话,只要被调中的所有回路一闭合,这个本来稳定的回路马上就不稳定。当然在闭合运行时也可以通过将回路的调节器动作方向反过来以使得系统的调节恢复稳定,但这显然是一种不安全的情况, 因为如果被调中的回路置于手动或受到约束,系统的运行调节就将变成正反馈。因此,在输配系统的设计和控制变量的配对上要极力避免这种情况。
21、水力平衡的主要设计流派有哪些,主要区别是什么?
主要有两个流派:①采用水力平衡阀平衡压差;简称为 O 派(沿用一篇论文叫法,为了方便,没啥特殊意义)②降低系统阻力,末端冷量主动性调节与时间通断调节;简称为 C 派 。



① 采用水力平衡阀
“水力平衡”最初的想法来自于 Tour and Agenturer,1953 年,他提出通过调整局部的水流阻力(吸收局部过剩的 Dp)获得所需的流量。1957 年,瑞典TA水力平衡公司生产出世界上第一个平衡阀,1962 年,又获得世界上第一个平衡阀专利,随后又相继开发了旨在解决系统动态水力失调的动态水力平衡阀,包括自力式压差控制阀、自力式流量控制阀和温控阀等。TA公司还拥有自己的《全面水力平衡》理论——ROBERT PETITJEAN,是有水力平衡计算软件及绘图软件的厂家。
国外早期的有关于水力平衡方法的研究主要侧重于产品,比如现在主要平衡阀厂家产品方面的各种技术文献所涉及的性能参数都非常繁杂而全面,但很少涉及到系统,主要的原因应该是当时的系统都比较小而且简单,系统对产品功能的影响较小。到上世纪七、八十年代,水力平衡愈来愈偏重于系统的研究。
我国在这方面的研究起步较晚,1989 年,中国建筑科学院空调研究所才开始立项研究平衡阀,1991 年有关企业开始研究自力式压差控制阀,随后在借鉴国外技术的基础上,开发出我国自己的平衡阀、自力式压差控制阀和自力式流量控制阀。到 2002 年,动态平衡产品,特别是一些具有动态平衡功能的电动阀产品开始在工程项目中逐渐地采用。 在暖通空调系统设计中,由于水力平衡产品使用的合理性和节能性,平衡阀的应用已普遍存在,国内学者也对此做了许多相关的分析和研究。虽然有关平衡阀在水系统中的流量特性和调节能力的分析说明、研究成果等十分丰富,但是在水系统中应用平衡阀所产生的节能效果究竟有多大,在国内外文献中提及较少。
这个主要国外学者在20世纪提出的全面水力平衡技术:他们认为所谓的水力失衡其实质是不同流量工况下水系统流动阻力的不平衡;寄厚望于水力平衡阀来实现水力平衡,采用增加并联支路阻力、限制过盈水量的技术手段实现系统水力平衡。其核心思想可用一 个“堵”概括,即采用平衡阀限制有利端的冗余流量。
O派推荐在冷水机组和换热器进水管处设置动态流量平衡阀,在空气处理机组冷却盘管、加热盘管回水管处设置动态平衡电动调节阀,在风机盘管供水管处设置动态平衡 电动两通阀,期望使系统达到动态水力平衡。其依据是:在系统中各个末端设备的流量达到末端设备实时负荷要求流量的同时,各个末端设备流量的变化只受设备负荷变化的影响,而不受系统压力波动的影响,即系统中各个末端设备流量的变化互不干扰。
动态平衡阀的缺点在于需要系统又较高的余压储备,在部分负荷工况下系统末端温控阀的主动性调节造成流经冷水机组蒸发器和动态流量平衡阀的流量下降,动态流量平衡阀的开度相应增大,其两端压降随之降低,以维持流经蒸发器的流量恒定。这就需要两端在 设计流量工况下有足够的冗余压降储备,不能期望设计工 况下动态流量平衡阀仅有几kPa的理想压降,否则这类平 衡阀将在低于设计流量工况下丧失流量调节功能。
另外,在风机盘管供水管处设置动态平衡电动两通 阀的技术措施值得质疑。尤其是在异程末端定压差系统和 同程末端定压差系统中,末端在部分负荷工况下的资用压差减小,并存在欠流现象,末端离系统定压差点越远,欠流现象越严重。欠流支路中的动态压差平衡阀不仅额外消 耗支路的资用压差而增大欠流量,也失去了动态调节能力。
总体上来说O派的设计和调节中都要保证有充足的系统压力余量,否则阀门就是累赘,而相比增加的压头,减少的水量真的能节能多少C派认为是有待商榷。因为变流量系统中压头减少也是节能重要一坏,而O派系统压头减少是受限的。
O 派关注阀门调节特性的基础研究,基于调节阀的阀权度的理论认为,通断式调节阀没有基本的节流功能, 故需要串联一个平衡阀来限制流量。

O 派提出采用 反向非线性特征调节阀对受控换热器的非线 性特性进行补偿。
但是O派的调节阀对末端换热器的非线性补偿理论 就要面对两种实际工况的挑战:
一是依据阀权度的定义,温 控阀压差的实际变化范围在Δ p min~Δ p max之间,而不是调节阀的G = f ( h )(特性表示在恒定压差下阀门的流量G与其行程 h 之间的关系这两个量均用最大值的百分比表示)所定义的恒定压差值;
二是末端换热器的静特性 是一簇曲线,而不是一条特定的曲线。

实际工程 中末端表冷器的瞬时析湿系数 ξ 不是定值,而是随进风参数而变化,因此末端换热器的静特性并不是图13a所示的 一条特定曲线,而是一簇曲线,如图14所示的 ξ =1和 ξ = 2.3两条静特性曲线包络的阴影区间。
再者,在系统末端冷负荷主动性调节过程中,各房间的温度波动并不一致,且波动周期也不一样,上述条件均难以满足恒定不变或等比例变化,加之不可控流量的客观存在,故图13c仅是一种理想特性, O派的设想在理论上存在缺憾,精度难以做高。
传统末端压差控制方法至少存在以下两项缺陷:
首先,当末端负荷减小时,末端压差增大,水泵转速降低,这将导 致各用户流量偏小,空气侧温度逐渐升高,于是开大阀门加 大流量,造成末端压力监测点的压力降低,进而导致水泵转 速增加。由于各用户是依据空调区的实际工况调节其末端 阀门的,具有较大的热惯性和较长的时间滞后,而阀门及水 泵的调节所导致的末端压力变化惯性则很小。因此很容易 造成上述的振荡过程发生,需要仔细设计控制算法和整定 调节器控制参数,方可消除振荡。
其次,在部分负荷工况 下末端的资用压头减小,存在欠流现象,末端离系统定压差 点越远,欠流现象越严重。
② 降低系统阻力 ,简称为 C派 。
国内基于对水力失衡机理的认识提出的逆向思维的分析方法,其核心思想是降低系统阻力,减少系统中不同末端并联环路之间的管网阻力,其核心思想可用一个字“疏”描述。江亿院士分别于1997年和2011年先后提出了基于末端阀门开度和供回水温差的两级泵系统控制逻辑,及采用大管径低压损和末端通断控制的技术手段实现系统大流量小温差的节能设计理念和分析方法,奠定了末端冷量主动性调节理论研究的基础;与采用平衡阀的方式“真实的平衡只能通过平衡阀同时测定实际流量和必要时重新调整目标值,用其产生的压 力降进行补偿来获得”理念截然不同。
C派提出的并不是一种系统设计形式或方案,而是一 种与 O派学说逆向思维的分析方法。降低水系统的沿程阻力、减少压力损失和末端换热器实施流量通断控制以及基于末端冷量主动性调节的变频水泵节能控制策略是 其中的关键技术。
减小水系统沿程阻力损失后,由水泵提供的系统压头主要消耗在冷热源和末端用户两侧。系统末端并联环路之间阻力损失的相对差额即可被控制在可接受范围内, 不必采取额外的水力平衡措施即可满足现行设计规范的要求。不仅减少了采购和安装平衡阀的费用和时间, 也避免了烦琐的水力平衡调试工序。原来之所以需要反复调整平衡阀,是因为距离水泵较远的末端资用压头较低、流量小,近处的资用压头较高、流量大,导致系统失衡。减小系统沿程阻力损失后,水系统的失衡率被控制在允许范围内,有利于从根本上控制不利端支路之间阻力损失的相对差额。
C派认为风机盘管采用的电磁或电动通断式两通阀的开启频率类似于两通式调节阀的开度。通断式阀门采用时间脉冲方式调节通过阀体过流截面的水量。流体在一定时间周期内的平均体积流量可以表示为时间的函数。借鉴数字控制学的分析方法,令阀门全开时为1,关闭时为0,则在相同的部分负荷条件下通断阀有多种控制方式可选择。例如在50%负荷工况下,在10min内通断时间各为5 min,可选用1010101010 (见 图 12)或1111100000 ,1100110010 等多种控制方式来实现线性调节。实践证明利用室内热惯性解决温度波动问题,即便 是在 τ =1800s的 周 期 内,室内温度波动都能稳定在 ±0.5 ℃以内。除了能减少平衡阀的投资外,通断控制还能有效降低阀门的节流能耗。在图7中,当阀门开度为100%时,阀门 两端 的 压 降 最 小 (Δ p min);当 阀门关闭时,压 降最大( Δ p max),但是流量G=0,于是就可以把水泵的扬程大幅度降低,实现水泵节能运行。

江亿进行了末端冷量主动性调节控制技术的基础研究,提出由于冷水系统需要同时满足所有用户对水量和水温的要求,因此可按表3的逻辑调节水温和水泵。基于末端冷量主动性调节的调节方式可在满足所有用户工况要求的前提下最大限度地提高冷水机组的运行效率和降低冷水泵的运行能耗,从而达到最大的节能效果,并在机理上具备 自稳定性。
表3 水泵系统的控制逻辑
*找出阀门开度最大的用户( V max)和该用户的供回水温差Δ t 1, 阀门开度最小的用户( V min)和该用户的供回水温差Δ t 2;
*若80%≤ V max≤90%,则水泵及冷水机组的水温设定值都应 维持现状;
*若 V max>90%, Δ t 1>Δ t max,则流量不足,应将水泵转速提高 5%;
*若 V max>90%, Δ t 1<Δ t min,且 t 供 > t 供, min,则水温过高,应将 冷水机组出口温度设定值降低0.25℃;
* V max<85%, Δ t 2>Δ t max,且 t 供 < t 供,max,则水温过低,应将冷 水机组出口温度升高0.25℃;
*若 V max<80%, Δ t 2<Δ t min,则流量太大,应将水泵转速降低 5%。
末端冷量主动性调节与时间通断调节和阀门特性调节的根本区别在于研究对象和被控目标的不同,立足于对空 调末端冷量主动性调节这一事物本质的基本判断,认为部 分负荷工况下出现系统水力和流量变化的根本原因是末端 冷负荷变化引起的温控阀调节,这种调节是主动性的、本质 性的,且具有显著的非线性和互扰多变的系统属性。网络 型末端温控器或数字控制器(DDC)直接控制的是室内温度(和湿度),而不是传统的压力、压差、供回水温度、温差、阀门开度等中间过程物理量,输出的是对被控调节阀门的调 节指令。中央控制器则对系统中所有末端温控器、DDC输出的开阀指令进行状态采集、逻辑对比、统计分析,通过调节系统循环水泵的转速实现水力平衡,满足和保障系统中所有末端在设计条件下的服务品质和获得显著的节能效 益。
由于各区域或房间的冷量(温湿度)控制是由与其一一对应的温控器独立完成的,因此,房间温湿度控制与循环水泵转速控制分属两个各自独立的控制子系统,各自的整定参数、采样周期互不关联,独立设置。前者的控制器由网络型温控器/DDC的计 算机芯片完成,其控制参数由各自房间温度飞升曲线模拟计算后给定;后者的建模采样和统计判断工作则由中央控制器承担,其控制参数由系统采样周期和末端温控器/DDC的数量确定。末端冷量控制是主动性的,循环水泵的转速调节则是被动性的,因而末端冷量主动性调节控制技术从机理上具备了自稳定属性。
另外大管径低压损系统中供回水干管内流速可能 远低于常规系统中的1.5~3.0m/s,不仅发生量的变化,而且供回水干管中流体的流动进入过渡状态还可能产 生质的变化。GB50050—2007《工业循环冷却水处理设计规范》中 有“当循环冷却水壳程流速小于0.3m/s时应采取防腐涂层、反向冲洗等措施”的强制性条文,可供冷水系统借鉴。
以泵代阀
使用大量的风阀水阀对系统中的风量水量进行调整,使其满足所要求的工况。它们的调节原理是增加系统的阻力, 以消耗泵或风机提供的多余的压头, 达到减少流量的目的。因此这些调节阀的调节作用是以消耗风机或水泵运行能耗为代价的。目前暖通空调工程中愈来愈多地使用自动控制系统。为实现自控, 许多风阀水阀还要使用电动执行机构。目前质量好的电动水阀价格为几千甚至上万元。电动风阀亦需要几千元。电动风阀水阀的费用常常占到自控系统总费用的 40 %以上。能否改变系统的构成方式,减少使用这些既耗能、又昂贵的阀门,用其它方式实现对流量的调节? 风机水泵与风阀水阀是一一对应的两类调节流量的设备。风机水泵为流体提供动力,而风阀水阀则消耗阀水 阀,不是在能量多余处加装阀门, 而是在能量不足处 增装水泵或风机,通过调节风机水泵的转速,同样可 以实现对系统的流量调节。此时, 由于减少了调节阀,也就减少了阀门所消耗的能量, 因此会减小运行能耗。同时,目前可变转速的风机、水泵价格与相同流量的电动风阀、水阀价格接近, 甚至更低, 因此初投资也不会提高。

