
大家在生活中是不是经常听到这样的话:
“哇噻,你看!这个视频太好笑了!”
“过来看,XX球星这回踢得太烂了!”
也就是,当我们在生活中看到好笑的事情,或者遇到奇怪的事情,会想要与身边的人一起分享,希望他们也能体会到同样的情绪。
其实人类早在婴幼儿时期,就已经发展出了寻求共同关注的技能,我们似乎“天生”就会和周围的人分享我们的喜怒哀乐。然而,并不是所有的人天生就会寻求共同关注, 研究表明,孤独症儿童普遍缺乏回应他人的共同关注和自发共同关注的行为。 (Charman, 1998; Jones & Carr, 2004; Mac Donald et al., 2006; Mundy, 1995; Mundy & Crowson, 1997)
共同关注英文称为joint attention,被视为幼儿最早期的社交形式。 (Bruner, 1975; Mundy, Sigman, & Kasari, 1994)幼儿的早期共同关注表现为目光追随感兴趣的事物并观察熟悉人的反应。比如说,婴幼儿看到可爱的毛茸茸的狗狗,会对其进行目光的追随,并回头看看妈妈的反应。

研究者们将共同关注分为两种形式:
1)对同伴/其他人的共同关注请求有回应。
2)自发要求同伴/他人的共同关注(Jones & Carr , 2004; Mundy & Willoughby , 1996)。
Bakeman 和 Adamson (1984)指出,普通婴幼儿在9个月时,就已经开始出现非语言的共同关注行为。研究认为,儿童的共同关注所获得的强化主要来自以下三个方面(Dubeetal,2004)。
1)以偏好物作为媒介,由他人操作偏好物时而产生的正向强化作用。简单来说,就是儿童喜欢一个玩具,那看着他人或同伴操作这个玩具也变成了一个偏好活动。
2)当他人或同伴操作偏好物时,增加了偏好物的强化力度。也就是说,儿童在他人或同伴那里看到了玩具的一些新奇玩儿法,这个时候偏好物的强化力度就加大了。
3)当看到一些害怕或恐惧的东西时,引起他人共同关注的行为可能会被负向强化。例如,当儿童看到一条大狗,他会觉得非常害怕,那么这个时候,儿童需要引起大人的共同关注,也就是需要大人也去关注到大狗,这样大人就会把大狗驱赶开,或是将儿童迅速带离现场。
《共同关注》训练方式
那么,对于没有共同关注技能的孩子来说,我们该如何训练呢?
Bridget Taylor和他的同伴们在“Teaching Children with Autism to Respond to and Initiate Bids for Joint Attention”给出了以下的的解决方案:我们一起来看看在Taylor的实验中,教儿童回应共同关注的程序是什么样的。
首先,与儿童一起坐在桌前;
2.在周围发生了一些儿童可能感兴趣的事件后,治疗师发起共同关注的言语信号“哇噻!你看”并用手指向固定方向;

3.紧接着辅助儿童看向指认的方向,并作出评价。然后再看向治疗师。
4.如果儿童没有看到方向或者作出评价,则进行及时辅助。

5.在儿童独立或者经过辅助看向治疗师后,给出同样积极的评价,并允许儿童接触偏好活动或偏好物。

实验中的第二阶段,是发起共同关注,我们一起来简单了解一下训练程序:
1.将儿童带至会引起共同关注的物品/事件前;

2.等待5秒钟,测试儿童是否对物品/活动感兴趣;如果儿童没有离开,并且一直看向偏好物,则使用仿说辅助“看,气球真大”,再辅助儿童看向自己。

3.治疗师紧接着也对事件发出评论性语言,并同时给出儿童喜欢的社会性强化。

而本篇实验的研究结果也表明, 三位接受过实验的儿童在回应共同关注上都有了大幅提升:
图示1:实验中三位儿童看向目标物的百分比。
从图示中我们可以看出,在基线期,三位儿童看向目标物的百分比要远低于干预期接近100%的数值。

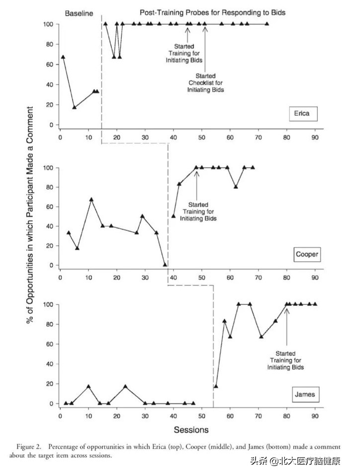
图示2: 实验中,三位儿童对目标物作出评价的百分比。
图示中可以得出,在三位被试接受干预程序前,对目标物发起评价的百分比要显著低于干预期。

图示3:实验中三位儿童重新与实验者发生目光接触的百分比。
而在接受过发起共同关注的干预程序后,这项技能也有了不同程度的提升。