1 高层建筑施工测量
1.1 高层建筑施工测量的特点及基本要求
1.1.1 高层建筑施工测量的特点
1.由于建筑层数多、高度高,结构竖向偏差直接影响工程受力情况,故施工测量中要求竖向投点精度高,所选用的仪器和测量方法要适应结构类型、施工方法和场地情况。
2.由于建筑结构复杂,设备和装修标准较高,特别是高速电梯的安装等,对施工测量精度要求亦高。一般情况在设计图纸中有说明,总的允许偏差值,由于施工时亦有误差产生,为此测量误差只能控制在总的总偏差值之内。
3.由于建筑平面、立面造型既新颖且复杂多变,故要求开工前先制定施测方案,仪器配备,测量人员的分工,并经工程指挥部组织有关专家论证方可实施。
1.1.2 高层建筑施工测量的基本准则
1.遵守国家法令、政策和规范,明确为工程施工服务。
2.遵守先整体后局部和高精度控制低精度的工作程序。
3.要有严格审核制度。
4.建立一切定位、放线工作要经自检、互检合格后,方可申请主管部门验收的工作制度。
1.1.2 建立施工控制网
近十几年来我国高层建筑大量兴起,高层建筑中的施工测量已引起重视。在高层建筑施工过程中有大量的施工测量问题,施工测量应紧密配合施工,起到指导施工的作用。
1.2.1 平面控制
高层建筑必须建立施工控制网。一般建立施工方格控制网较为实用,使用方便,精度可以保证,自检也方便。建立施工方格控制网,必须从整个施工过程考虑,打桩、挖土、浇筑基础垫层和建筑物施工过程中的定轴线均能应用所建立的施工控制网。由于打桩、挖土对施工控制网的影响较大,除了经常复测校核外,最好随着施工的进行,将控制网延伸到施工影响区之外。目前在高层建筑施工中,采用"升梁提模"和钢结构吊装双梁平台整体同步提升等施工工艺,必须将控制轴线及时投影到建筑面层上,然后根据控制轴线作柱列线等细部放样,以备绑扎钢筋、立模板和浇筑混凝土之用。
1.建立局部直角坐标系统
为了将高层建筑物的设计放样到实地上去,一般要建立局部的直角坐标系统。为了简化设计点位的坐标计算和在现场便于建筑物放样,该局部系统坐标轴的方向应严格平行于建筑物的主轴线或街道的中心线。
施工方格网布设应与总平面图相配合,以便在施工过程中能够保存最多数量的控制点标志。
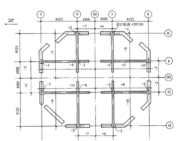
下面结合上海商城工程介绍施工过程中平面控制网的建立(图4-152)。
图中○为施工控制点,▶为红三角标志,作控制方向用,在打桩期间建立A/ eq \o\ac(○,11)、A/ eq \o\ac(○,16)、K/①、K/ eq \o\ac(○,16)为施工方格网,由于挖土及建造过程中 eq \o\ac(○,K)线上的控制点不能再利用,为此将 eq \o\ac(○,K)线上所有的控制点延至南京西路南侧,随着施工建筑不断升高,用架设在施工控制点上的仪器直接投线有困难时,将利用已投至远方高楼上的红三角标志作为控制。在该工程中确定以⑧和 eq \o\ac(○,H)轴线为主要中心"十"字控制。当中心点用串线法确定后,仪器必须架设在中心点上,分别实测"十"字四个交角,看是否满足90°±6°的要求。中心点确定后,以设计距离逐步进行放样。另以红三角标志作校核用。在主楼施工时,均以 eq \o\ac(○,D)及⑧轴为中心控制轴线。考虑到建筑物结构上升到一定高度时,外部布置的红三角标志逐渐失去控制作用,在地下结构部分浇筑到±0时,在±0面层上根据 eq \o\ac(○,D)、⑧轴线测定四个主要柱列轴线点,组成一矩形内控制,并在上升的每层楼板上与该四个柱列轴线相对应的位置留出20cm×20cm的预留孔,作为该四个柱列轴线点向上作垂直传递用,且与 eq \o\ac(○,D)、⑧轴线作相互校核。当主楼施工到一定高度时,外控制和远方红三角标志均失去作用,此时必须以内控制作主要依据。必须注意,外控制、红三角标志、内控制之间的关系必须保持一致,这样无论施工到哪一阶段,都能确保一定的精度。在该项工程中控制点之间距离误差要求达到±2mm,测角中误差±5",其余均按施工测量规程进行。

图4-152 上海商城平面控制网
2.用极坐标法和直角坐标法的放样
在工业企业建筑场地上,一般地面较为平坦,适宜于用简单的测量工具进行平面位置的放样。在平面位置的放样方法中,通常用的是极坐标法和直角坐标法。
用极坐标法放样时,要相对于起始方向先测设己知的角度,再由控制点测设规定的距离。
当用直角坐标法放样时,则先要在地面上设有两条互相垂直的轴线,作为放样控制点。此时,沿着Z轴测设纵坐标,再由纵坐标的端点对Z轴作垂线,在垂线上测设横坐标。为了进行校核,可以按上述顺序从另一轴线上作第二次放样。为了使放样工作精确和迅速,在整个建筑场地应布设方格网作为放样工作的控制,这样,建筑物的各点就可根据最近的方格网顶点来放样。
下面分析用极坐标法和直角坐标法放样点位的精度。
(1)极坐标法
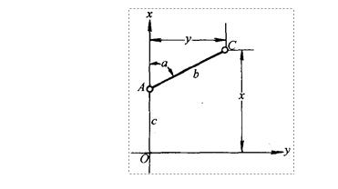
设有通过控制点O的坐标轴Ox和Oy,待放样点C(图4-153)的坐标等于x和y。放样是用极坐标法,由位于Ox轴上离点O距离为c的点A来进行。也就是说,在A点测设出预先算得之角度α,再由点A测设距离到点c。因此,为了放样C点,需要进行下列工作:

图4-153
1)在Ox方向上量出由点O到点A的距离。;
2)仪器对中;
3)在A点安置仪器测设角度α;
4)沿着所测设的方向,由A点量出距离b;
5)在地面上标定C点的位置。
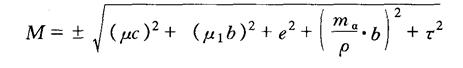
以上各项工作均具有一定的误差。由于各项误差都是互不相关的发生,所以彼此均是独立的,按误差理论可得用极坐标法测设C点的总误差:

(4-59)
式中 μ,μ1——丈量c与b的误差系数;
e——对中误差;
mα——测设角度误差;
τ——标定误差。
由上式可看出,C点离开A点O点愈远,则误差愈大。尤其是b的增大影响更大。此外,我们还可看出,总误差不取决于角度α的大小,而是决定于测设角度的精度。为此,为了减少误差M,需要提高测设长度和角度的精度。
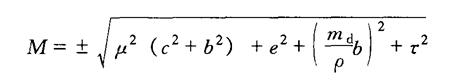
(2)直角坐标法
直角坐标法是极坐标法的一种特殊情况。此时α=90°,此外,b和c均是直接丈量的,所以误差系数μ=μ1。由此得C点位置的总误差为

(4-60)
3.施工方格控制网点的精测和检核测量
建立施工方格控制网点,一般要经过初定、精测和检测三步。
(1)初定 初定即把施工方格网点的设计坐标放到地面上。此阶段可以利用打入的5cm×5cm×30cm小木桩作埋设标志用。
由于该点为埋石点,在埋设标志时必须挖掉,为此在初定时必须定出前后方向桩,离标桩约2~3m,根据埋设点和方向桩定出与方向线大致垂直的左右两个,这样当埋设标志时,只要前后和左右用麻线一拉,此交点即为原来初定的施工方格网点(图4-154)。另配一架水准仪,为了掌握其顶面标高,在前或后的方向桩上测一标高。因前后方向桩在埋设标志时不会挖掉,可以在埋设时随时引测。为了满足施工方格网的设计要求,标桩顶部现浇混凝土,并在顶面放置200mm×200mm不锈钢板。方格网点的埋设见图4-155。

图4-154 初定点位及方向桩示意图

图4-155 方格网控制点标志埋设图
1-混凝土保护桩;2-预制钢筋混凝土桩;3-水准标志;
4-不锈钢标板;5-300mm×300mm混凝土
(2)精测 方格网控制点初定并将标桩埋设好后,将设计的坐标值必须精密测定到标板上。为了减少计算工作量,一般可以采用现场改正。改正方法如下:
1)180°时的改正方法。
详见图4-156长轴线改正示意图。
图4-156 长轴线改正示意

改正后用同样方法进行检查,其180°之差应≤±10"。
2)90°时的改正方法。
详见图4-157短轴线改正示意图。
图4-157 短轴线改正示意

式中 l——轴线点至轴线端点的距离;
δ——设计角为直角时。

改正后检查其结果,90°之差应≤±6"。
(3)检测 精测时点位在现场虽作了改正但为了检查有否错误以及计算方格控制网的测量精度,必须进行检测,测角用T2经纬仪两个测回,距离往返观测,最后根据所测得的数据进行平差计算坐标值和测量精度。
1.2.2 高程控制
水准测量在整个测量工作中所占工作量很大,同时也是测量工作的重要部分。正确而周密地加以组织和较合理地布置高程控制水准点,能在很大程度上使立面布置、管道敷设和建筑物施工得以顺利进行,建筑工地上的高程控制必须以精确的起算数据来保证施工的要求。
高层建筑工地上的高程控制点,要联测到国家水准标志上或城市水准点上。高层建筑物的外部水准点标高系统与城市水准点的标高系统必须统一,因为要由城市向建筑工地敷设许多管道和电缆等。
利用水准点标高计算误差公式求得的标高误差为
m2=n2Li+σ2Li (4-63)
式中 n——每公里平均偶然误差,在三等水准测量中相当于±4mm。
σ——平均系统误差,相当于±0.8mm;
L——为公里数,假设为2km。
将上述代入则得

1.3 建(构)筑物主要轴线的定位及标定
1.3.1 桩位放样
在软土地基区的高层建筑常用桩基,一般都打入钢管桩或钢筋混凝土方桩。由于高层建筑的上部荷重主要由钢管桩或钢筋混凝土方桩承受,所以对桩位要求较高,按规定钢管桩及钢筋混凝土桩的定位偏差不得超过D/2(D为圆桩直径或方桩边长),为此在定桩位时必须按照建筑施工控制网,实地定出控制轴线,再按设计的桩位图中所示尺寸逐一加以定出桩位,定出的桩位之间尺寸必须再进行一次校核,以防定错,详见图4-158。

图4-158 桩位图(单位:mm)
1.3.2 建筑物基坑与基础的测定
高层建筑由于采用箱形基础和桩基础较多,所以其基坑较深,有的达20余m。在开挖其基坑时,应当根据规范和设计所规定的精度(高程和平面)完成土方工程。
基坑下轮廓线的定线和土方工程的定线,可以沿着建筑物的设计轴线,也可以沿着基坑的轮廓线进行定点,最理想的是根据施工控制网来定线。
根据设计图纸进行放样,常用的方法有:
1.投影法
根据建筑物的对应控制点,投影建筑物的轮廓线。具体作法如图4-159所示。将仪器设置在A2,后视A'2,投影A2A'2方向线,将仪器移至A3,后视A'3,定出A3A'3方向线。用同样方法在B2B3控制点上定出B2B'2,B3B'3方向线,此方向线的交点即为建筑物的四个角点,然后按设计图纸用钢尺或皮尺定出其开挖基坑的边界线。

图4-159 建筑物放样示意
2.主轴线法
建筑方格网一般都确定一条或两条主轴线。主轴线的形式有"L"‑字形、"T"字形或"十"字形等布置形式。这些主轴线是作为建筑物施工的主要控制依据。因此,当建筑物放样时,按照建筑物柱列线或轮廓线与主轴线的关系,在建筑场地上定出主轴线后,然后根据主轴线逐一定出建筑物的轮廓线。
3.极坐标法
由于建筑物的造型格式从单一的方形向"S"形、扇面形、圆筒形、多面体形等复杂的几何图形发展,这样对建筑物的放样定位带来了一定的复杂性,极坐标法是比较灵活的放样定位方法。具体做法是,首先将设计要素如轮廓坐标,曲线半径、圆心坐标等与施工控制网点的关系,计算其方向角及边长,在工作控制点上按其计算所得的方向角和边长,逐一测定点位。将所有建筑物的轮廓点位定出后,再行检查是否满足设计要求。
总之,根据施工场地的具体条件和建筑物几何图形的繁简情况,测量人员可选择最合适的工作方法进行放样定位。
1.3.3 建筑物基础上的平面与高程控制
1.建筑物基础上的平面控制
由外部控制点(或施工控制点)向基础表面引测。如果采用流水作业法施工,当第一层的柱子立好后,马上开始砌筑墙壁时,标桩与基础之间的通视很快就会阻断。由于高层建筑的基础尺寸较大,因而就不得不在高层建筑基础表面上做出许多要求精确测定的轴线。而所有这一切都要求在基础上直接标定起算轴线标志。使定线工作转向基础表面,以便在其表面上测出平面控制点。建立这种控制点时,可将建筑物对称轴线作为起算轴线,如果基础面上有了平面控制点,那就能完全保证在规定的精度范围内进行精密定线工作。
图4-160所示为某一高层层面轴线投点图,根据施工控制轴线8、11、D主要轴线,仪器架设在⑧,后视 eq \o\ac(○,8')投点,架在D'后视D'投点,此交点为8/D'。以同样方法交出11/D',此两个主要轴线点定出后,必须再进行检查,看测出之交角是否满足精度要求180°±10"和90°±6",再用精密丈量的方法求得实际定出的距离,再与设计距离比较是否满足精度要求,如果超限则必须重测。精度要求由设计部门提出或甲方提出,一般规定基础面上的距离误差在±5mm以内。当高层建筑施工到一定高度后,地面控制点无法直接投线时,则可利用事先在做施工控制网投至远方高处红三角标志作为控制。图4-161所示为某高层建筑施工到8层时用远方高处的红三角,用串线的方法定出8层基础面的控制点。

图4-160 轴线放样图

图4-161 8层底板的轴线投放
串线法是利用三点成一直线的原理。如图4-161若测定8轴线,将仪器安置在8/D'处(目估),将望远镜照准8红三角,倒转望远镜测出8'红三角的偏差值,松动仪器中心螺栓,移动仪器大约偏差值的1/2,再照准8目标、固定度盘,倒转望远镜照准8'目标。这样往返测量多次,使仪器中心严格归化到8轴线上,最后测定8轴线的直线角是否满足180°±10"。如测角已满足180°±10",即仪器中心已置于8轴线上,可以在建筑面上投放轴线。
总之,高层建筑施工时在基础面上放样,要根据实际情况采取切实可行的方法进行,但必须经过校对和复核,以确保无误。
当用外控法投测轴线时,应每隔数层用内控法测一次,以提高精度,减少竖向偏差的积累。为保证精度应注意以下几点:
(1)轴线的延长控制点要准确,标志要明显,并要保护好。
(2)尽量选用望远镜放大倍率大于25倍、有光学投点器的经纬仪,以T2级经纬仪投测为好。
(3)仪器要进行严格的检验和校正。
(4)测量时尽量选在早晨、傍晚、阴天、无风的气候条件下进行,以减少旁折光的影响。
2.建筑物基础上的高程控制
基础上高程控制的用途,是利用工程标高保证高层建筑施工各阶段的工作。高程控制水准点必须满足基础整个面积之用,而且还要有高精度的绝对标高。必须用二等水准测量确定水准标面的标高。水准网的主要技术要求按工程测量规范,必须把水准仪置于两水准尺的中间,II等水准前后视距不等差不得超过1m,III等水准前后视距不等差不得大于2m,IV等水准前后视距不等差不得大于4m。如果采用带有平行玻璃板的水准仪并配有铟钢水准尺时,那就利用主副尺读数。主副尺的常数一般为3.01550,主副尺之读数差≤±0.3mm,视线距地面高不应小于0.5m。如果无上述仪器,就采用三丝法,这种方法不需要水准气泡两端的读数。基础上的整个水准网附合在2~3个外部控制水准标志上。
水准测量必须做好野外记录,观测结束后及时计算高差闭合差,看是否超限,如II等水准允许线路闭合限差为4根号L或1根号N(L为公里数、n为测站数)。结果满足精度要求后,即可将水准线路的不符值按测站数进行平差,计算各水准点的高程,编写水准测量成果表。4-5-4 高层建筑中的竖向测量
竖向测量亦称垂准测量。垂准测量是工程测量的重要组成部分。它应用比较广泛,适用于大型工业工程的设备安装、高耸构筑物(高塔、烟囱、筒仓)的施工、矿井的竖向定向,以及高层建筑施工和竖向变形观测等。在高层建筑施工中竖向测量常用的方法如下:
1.4.1 激光铅垂仪法
激光铅垂仪是一种铅垂定位专用仪器,适用于高层建筑的铅垂定位测量。该仪器可以从两个方向(向上或向下)发射铅垂激光束,用它作为铅垂基准线,精度比较高,仪器操作也比较简单。
激光铅垂仪如图4-162所示,主要由氦氖激光器、竖轴、发射望远镜、水准管、基座等部分组成。激光器通过两组固定螺钉固定在套筒内。竖轴是一个空心筒轴,两端有螺扣用来连接激光器套筒和发射望远镜,激光器装在下端,发射望远镜装在上端,即构成向上发射的激光铅垂仪。倒过来安装即成为向下发射的激光铅垂仪。仪器配有专用激光电源。使用时必须熟悉说明书,上海联谊大厦就是用激光铅垂仪法作垂直向上传递控制的。用此方法必须在首层面层上作好平面控制,并选择四个较合适的位置作控制点(图4-163)或用中心"十"字控制,在浇筑上升的各层楼面时,必须在相应的位置预留200mm×200mm与首层层面控制点相对应的小方孔,保证能使激光束垂直向上穿过预留孔。在首层控制点上架设激光铅垂仪,调置仪器对中整平后启动电源,使激光铅垂仪发射出可见的红色光束,投射到上层预留孔的接收靶上,查看红色光斑点离靶心最小之点,此点即为第二层上的一个控制点。其余的控制点用同样方法作向上传递。

图4-162 激光铅垂仪示意
1-氦氖激光器;2-竖轴;3-发射望远镜;4-水准管;5-基座

图4-163 内控制布置
(a)控制点设置;(b)垂向预留孔设置
1-中心靶;2-滑模平台;3-通光管;4-防护棚;5-激光铅垂仪;6-操作间
1.4.2 天顶垂准测量(仰视法)
垂准测量的传统方法是采用挂锤球、经纬仪投影和激光铅垂仪法来传递坐标,但这几种方法均受施工场地及周围环境的制约,当视线受阻,超过一定高度或自然条件不佳时,施测就无法进行。随着科技的进步,新一代垂准经纬仪的问世,从而解决了传统垂准测量方法中的难题,能在各种困难条件下进行施测,使垂准测量方法进一步完善。天顶法垂准测量的基本原理,是应用经纬仪望远镜进行天顶观测时,经纬仪轴系间必须满足下列条件:①水准管轴应垂直于竖轴;②视准轴应垂直于横轴;③横轴应垂直于竖轴。则视准轴与竖轴是在同一方向线上。当望远镜指向天顶时,旋转仪器,利用视准轴线可以在天顶目标上与仪器的空间画出一个倒锥形轨迹。然后调动望远镜微动手轮,逐步归化,往复多次,直至锥形轨迹的半径达到最小,近似铅垂。天顶目标分划上的呈像,经望远镜棱镜通过90°折射进行观测。
1.使用仪器及附属设备
上海第三光学仪器厂的DJK-6普通经纬仪和上海第三光学仪器厂于1985年研制成的DJ6-C6垂准经纬仪;其他国产的J6、J2经纬仪(但望远镜要短,能置于天顶);附属设备与仪器望远镜目镜相配的弯管棱镜组或直角棱镜;目标分划板(可以根据需要设计制作)。
2.施测程序及操作方法
先标定下标志和中心坐标点位,在地面设置测站,将仪器置中、调平,装上弯管棱镜,在测站天顶上方设置目标分划板,位置大致与仪器铅垂或设置在已标出的位置上。将望远镜指向天顶,并固定之后调焦,使目标分划板呈现清晰,置望远镜十字丝与目标分划板上的参考坐标X、Y轴相互平行,分别置横丝和纵丝读取x和y的格值GJ和CJ或置横丝与目标分划板Y轴重合,读取x格值GJ。转动仪器照准架180°,重复上述程序,分别读取x格值G'J和y格值C'J。然后调动望远镜微动手轮,将横丝与

格值重合,将仪器照准架旋转90°,置横丝与目标分划板X轴平行,读取y格值C'J,略调微动手枪,使横丝与

格值相重合。所测得

;
的读数为一个测回,记入手簿作为原始依据。3.数据处理及精度评定
一测回垂准测量中误差的精度评定,目前是参照国际标准"ISO/TC172/SC6N8E《垂准仪》野外测试精度评定方法"进行计算的,采用DJ6-C6仪器测试时按下列公式计算:


(4-64)
式中 V——改正数;
N——测站数;
n——测回数;
m——垂准点位中误差;
r——垂准测量相对精度;
ρ"=206265"。
如上海宾馆施工中使用天顶法,在J2级经纬仪上安装弯管目镜,实测结果在65m高度上,误差为±2mm,即竖向误差±6"。
1.4.3 天底垂准测量(俯视法)
1.天底垂准测量的基本原理
如图4-164所示,利用DJ6-C6光学垂准经纬仪上的望远镜,旋转进行光学对中取其平均值而定出瞬时垂准线。也就是使仪器能将一个点向另一个高度面上作垂直投影,再利用地面上的测微分划板测量垂准线和测点之间的偏移量,从而完成垂准测量。基准点的对中是利用仪器的望远镜和目镜组,先把望远镜指向夭底方向,然后调焦到所观测目标清晰、无视差,使望远镜十字丝与基准点十字分划线相互平行,读出基准点的坐标读数A1,转动仪器照准架180°,再读一次基准点坐标读数A2,由于仪器本身存在系统误差,A1与A2不重合,故中数A=(A1+A2)/2,这样仪器中心与基准点坐标A在同一铅垂线上,再将望远镜调焦至施工层楼面上,在俯视孔上放置十字坐标板(此板为仪器的必备附件),用望远镜十字丝瞄准十字坐标板,移动十字坐标板,使十字坐标板坐标轴平行于望远镜十字丝,并使A读数与望远镜十字丝中央重合,然后转动仪器,使望远镜与坐标板原点O重合,这样完成一次铅垂点的投测。一系列的垂准点标定后,作为测站,可作测角放样以及测设建筑物各层的轴线或垂直度控制和倾斜观测等测量工作。上海金陵东路售票大楼即应用天底垂准测量方法来完成轴线的投测工作。

图4-164 天底法原理
A0-确定的仪器中心;O-基准点
2.施测程序及操作方法
(1)依据工程的外形特点及现场情况,拟定出测量方案。并做好观测前的准备工作,定出建筑物底层控制点的位置,以及在相应各楼层留设俯视孔,一般孔径为φ150mm,各层俯视孔的偏差≤φ8mm。
(2)把目标分划板放置在底层控制点上,使目标分划板中心与控制点标志的中心重合。
(3)开启目标分划板附属照明设备。
(4)在俯视孔位置上安置仪器。
(5)基准点对中。
(6)当垂准点标定在所测楼层面十字丝目标上后,用墨斗线弹在俯视孔边上。
(7)利用标出来的楼层上十字丝作为测站即可测角放样,侧设高层建筑物的轴线。数据处理和精度评定与天顶垂准测量相同。
1.5 上海金茂大厦施工测量实例
1.5.1 概述
金茂大厦主体建筑地下3层,地上88层,总建筑面积289500m2,总高度420.50m。
主楼1~52层为办公室,总面积115438m2,53~87层为五星级宾馆,88层为观光层,距地面340.10m,如图4-165所示。
裙房长150.40m,宽45.70m,六层。
地下三层,面积57151m2。
主楼有电梯55台,外墙以不锈钢管为装饰线条的玻璃幕墙,在主楼24层,51层和85层高度范围内有三道外伸桁架将核心筒与外部钢结构相连接。

图4-165
在塔楼顶部中央有一座高约51m的塔尖,其底部标高为369.50m,顶部标高为420.50m。
塔尖于1997年8月8日开始安装第一段,次日进行后三段的组装,到14日上午正式提升,仅用了35min,塔尖就稳稳地坐到了383.50m高的位置上,同时宣告了中华第一高楼金茂大厦塔楼结构工程的基本完成。
1.5.2 建筑施工对测量精度要求
在大厦建筑施工和安装过程中,测量工作极为重要,它是保证施工质量和建筑物安全的重要手段。由于结构的特殊性,塔楼核心筒内的控制点与筒外控制点不能直接通视,又因筒内楼板浇捣滞后,以及56层以上筒中心块圆弧内为空洞,给测量工作带来很大困难。
设计施工对测量精度要求:竣工后塔楼中心垂直方向偏差不大于30mm,塔筒五个垂准基点相对于塔筒中心点,点位误差小于2mm,楼层四边形控制点小于3mm,垂直投点误差小于3mm。长度精度量距相对误差为1:20000,在玻璃幕墙安装中,要求轴线控制点误差在3mm以内,高程点误差在3mm以内。
1.5.3 施工特点和测量难度
1.施工特点:塔楼分四踏步施工,分别是核心筒、巨型钢柱、复合巨型柱和筒内外楼板。
主楼核心筒为钢筋混凝土结构,采用分体组合式钢平台模板系统,复合巨型柱采用爬模施工工艺。
塔楼共有45节钢柱子连接而成,其中1~36节为主体楼层,每层有8根巨型钢柱和16根复合巨型钢柱,在其层间,每根巨型钢柱向核心筒方向共收缩12次,每根钢柱要转换12个坐标位置。
在主楼的三道外伸桁架由于其设计特殊性使外伸桁架从制作到安装产生了一系列前所未遇的技术难点。
2.测量的难度:金茂大厦为超高层建筑物,在施工测量时遇到了不少困难,有以下几种不利情况:
(1)自然影响:在高空作业时,易受日照、风力、摇摆等不利气候影响。
(2)建筑物变形影响:设置在建筑物上的测量点由于受到沉降、收缩等影响,其点位亦会发生变化,一般网点边长会缩短,影响测量精度。
(3)施工条件的影响:塔楼分四踏步施工(核心筒、巨型钢柱、复合巨型柱混凝土、楼面混凝土),周期长、节奏快、施工快慢不一。核心筒施工快,楼层面慢,如有一次核心筒施工已达A41层+169m时,楼层面只到+89m,两者高度相差达80m,使核心筒十字轴线与楼层四边形网点在相应高度的层面上无法联网,其次筒内楼面后施工,搭设中心测量平台很困难。
(4)结构复杂的影响:由于钢结构设计的特殊性,塔楼共有45节钢柱的垂直度测量,立好每节钢柱后,测量时通常水平梁都未安装,无法设站,故每次设法在核心筒壁上搭设测站。三道外伸桁架的测量,因为施工程序的决定,核心筒的8根立柱,必须先浇进核心筒剪力墙内,下面只露出16只巨型柱节点,待后安装复合巨型柱上来后,再安装相关的水平梁及支撑,因此对这先安装好的8根立柱的位置与标高一定要控制好,否则产生扭转,使以后的φ100、φ150的锁轴无法锁进。
(5)使用绝对建筑标高的影响:设计规定标高引测必须使用绝对标高,即从场地水准基点BM1引测上去,势必增加许多工作量。其次是先前设置在各楼层上的标高线(点)变化亦不尽相同,势必增加许多检查和修正工作。
1.5.4 施工平面(垂直)控制网的建立
塔楼控制测量分为平面与垂直控制测量两大部分,其中平面控制测量在场地区域内建立场地控制网。首先放样出塔楼中心轴线及基础施工所需用的轴线,而垂直控制测量在塔楼中建立垂直控制点,用Wild ZL天顶垂准仪投测垂直基准线。随着施工的进展,为了使投测控制点接近施工区,设置一定的测量平台,使投测点转换上去,同样再从测量平台上的投测点,投测至提升好的施工钢平台面上,从标定在施工平台上的五个垂直轴中心来测设核心筒施工轴线,按设计尺寸来控制和调整模板的位置,从而保证筒身的垂直。在楼层面上根据四边形控制网点,投测在各楼层面上,来测设各层的施工轴线。
1.坐标系统
塔楼SOM建筑坐标轴,两条正交零轴线交于主楼中心,其坐标为Y=1000.00,X=500.00。
根据上海建筑设计研究院金茂大厦地下连续墙平面图(图号S-2),在墙与红线转折点所注SOM建筑坐标(Y,X)与设计坐标(A,B)两种坐标,经计算其换算方法如下,如图4-166所示。

图4-166
其中:YOX为SOM建筑坐标系
AO'B为设计坐标系
则P点在两个系统内的坐标,Y、X和A、B的关系式为:
Y=a+Acosα+Bsinα
X=b-Bcosα+Asinα (4-65)
A=(Y-a)cosα+(X-b)sinα
B=-(X-b)cosα+(Y-a)sinα (4-66)
上式中的参数a=753.391
b=558.088
α=16°04'54.7"
2.施工平面控制网的建立
金茂大厦平面控制网以业主提供的航1、航3和航4来引测,其SOM坐标见表4-46。

表4-46
在建筑施工场地上,平面控制网布设一个通过塔楼中心的十字轴线加密网,点1~点4为轴线的端点,1~7为加密点,如图4-167所示:十字轴线与塔楼建筑零轴线相重合。

图4-167 场地平面控制网图
3.塔楼垂直控制网(点)的设置
依据场地控制十字轴线,在核心筒段内布设一个小十字轴线网点,其点为A1~A5,在筒外楼层布设一个正四边形网,其点为A6~A9,如图4-168所示:十字轴线端点延长通过门洞交于四边形中间,形成一个田字网型。

图4-168 主楼垂直控制网图
首次垂直控制网点设置于基础承台面上,由于地下室测量不便,便把承台面上的控制点精确投测至A3层面上,作为垂准测量基准点。
4.测量平台的转换
为了保证塔楼控制点垂准线的垂直度,以及最大限度接近施工区,进行了测量平台的转换,选择在A3~A17~A27~A38~A48层设置测量平台,并在各层进行连测,保证点位精度。
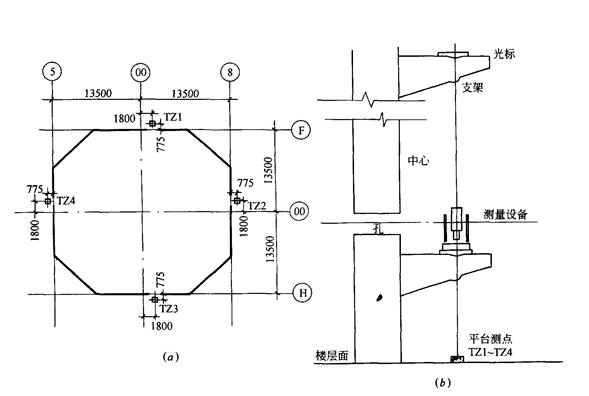
由于结构原因,在核心筒中心部分56层以上是空洞,以及筒内楼层浇捣滞后,无法设站,故在A48层近核心筒壁处,设置四个垂直测量控制点TZ1~TZ4,如图4-169所示。

图4-169 A48层垂准控制点
作为53层以上核心筒垂准测量基点,并与楼层四边形网A6~A9相连,又因楼层部分钢结构尺寸不断向筒方向收缩,故在54层以上将楼层四边形边长从39.100m改为28.550m,并且在A54层、A72层设置测量平台,同时在各楼层四边形网上作加密点来测设轴线和复合巨型柱位置。
1.5.5 垂准测量方法和要求
观测选择有利时间如清晨和阴天,使用Wild ZL天顶垂准仪进行,仪器标称精度1:200000(仪器旋转180°对径时二次之差)。测量时仪器旋转四个方向一测回测定,直至上面标志中心移至十字丝交点为止,然后固定标板。
1,投点方法
其方法为:置仪—对中—整平,水平度盘指向0(轴线方向),通知上方准备投测,其作业步骤如下:
(1)指挥上方,使标志中心初步移在镜里十字丝交点附近(图4-170a)。
(2)指挥使标志中心精确移在十字丝交点中心(图4-170b)。
(3)垂准仪旋转180°,使标志中心折射在纵丝下(上),离十字丝交点一微小距离d(图4-170c)。
(4)指挥上方,在纵丝上向交点方向移d/2的距离,即此点为仪器旋转小圆轨迹的中心,旋转0°和180°两个对径位置,镜里会出现的情况(图4-170d)。
(5)垂准仪水平旋转90°与270°位置,按上述方法测量移至在横丝上(图4-170e)。
(6)检查投点位置正否,旋转四方,如点对称折射在十字丝线上(图4-170f),那点才算投正。

图4-170
点投好后,通知上方,固定标志。
2.投测精度要求
(1)转换控制网(点)的精度要求
投测到转换平台上的测点,另用仪器检查:其方法是在同一测站上,架设TC1700全站仪(装置弯管)测量其点天顶角来检查,求得点位ΔX(ΔY)和偏差值,偏差值小于2mm不予改正。点位全部投测转换好后,到转换层上去检查。测量技术指标及限差规定如下:
测回数1测回
测角中误差±8"
十字轴线交角误差90°±5"
四边形直角误差90°±10"
量距误差1:20000
十字轴线端点误差±2mm
四边形角点误差±3mm
由于楼层面混凝土有平面收缩现象,在测量长度时,使边长不小于设计长度,以免收缩出现更大误差。
(2)投测至钢平台上的十字轴线点的精度要求
在转换平台上投测至钢平台上的点投好后,就到钢平台面上去检查,其方法是:在中心点A1架设经纬仪测设十字轴线边角关系,在A53层以上钢平台上,仪器设在TZ1~TZ4四站来检查。考虑到钢平台上受施工振动影响较大,以及边长较短,其限差规定如下:
十字轴线(四边形角)90°±20"
量距误差 十字轴线11.275m±2mm
四边形线28.550m±3mm
如果检测后略超过此限值,则合理调整,在钢平台上十字轴线调整一般选南北方向线来调整。如果交角大于1'或边长误差大于5mm,则通知下方进行重测,直至符合要求为止。
3.照准标志
在A53层以上高度时,投测时采用滑动标志,其特点是快速容易标定。
(1)设置方法:在钢平台上筒中心(或端点)预埋滑动标志装置如图4-171 (a)所示,标志坐标线对准十字轴线。
(2)材料:用一块质硬光滑木板,其尺寸为300mm×300mm×18mm,中间留有100mm×100mm正方形空洞,搁置在预先埋好在平台上的二根相平行角钢滑槽中,木板上钉有与钢槽相垂直的二根平行滑尺,相距为150mm,测量时用一块150mm×150mm不锈钢板标志插在滑尺间,其中点留有3mm通光小孔,如图4-171(b)。

图4-171 滑动标志
(3)移动方法:根据下方指挥,先将木板顺Y轴方向,移左(或右),使标志中心移在X轴线上,然后再在滑尺间移动标板(木板不动),使标志中心移在Y轴线上,这样点位就定好。经过检查无误后,就用螺栓固定木板和标板。
1.5.6 水准测量和塔身高程控制测量
1.水准测量
(1)高程起算点:以业主提供的BM1水准点作为场地基准水准点,BM1位于陆家嘴路街心花园处,离基坑东北方向约250m处。其标高BM1=+3.4934m(绝对),场地设计建筑标高±0.000m=±14.200m(绝对)。
(2)楼层控制标高设置:以11等水准测量精度进行,以BM1水准点引测至地下室四个基准标高(两个在核心筒南、北外壁上,另两个在内壁上)为-14.500m红三角标志,作为地下室标高引测依据。
建筑物出地面后,以BM1水准点精密地把高程引测至核心筒外壁西北角+1.500m处N点,N点红三角标志如图4-172所示,作为向上引测高程基准点,并与地下室标高进行连测与检查。

图4-172 N点红三角标志
2.主楼竖向高程控制测量方法
以设置在核心筒西北角N点红三角标志(+1.500m)作为向上引测依据。
(1)钢尺丈量引测法:核心筒混凝土每施工一层(4.0m或3.2m),在提升完钢平台后,拆松模板时,在西北角下面已知标高点,沿筒壁垂直量上一段层高距离,钢尺经拉力、温度、尺差等改正,经检查无误后,以红三角标志标定,作为钢平台上高程放样依据。
(2)竖向测距法:竖向测距使用全站仪加弯管,可测得较长段垂距,控制钢尺逐段丈量累计误差,检查已设置在筒壁上的标高。其测量方法如下:在平台垂直测量孔上,架设TC1700全站仪,利用壁上已知点高程,测出仪器视高,然后测量至接受点棱镜(镜面向下)垂距。并在棱镜底面上立水准尺,用水准仪引标高于筒壁上,设置标高标志,竖向高程测量方法如图4-173所示所求标高点计算公式:
图4-173竖向高程测量图

H2=H1+a+S+c+b1+b2 (4-67)
式中 H1——已知点标高;
a——已知点与仪器水平时中心高差;
S——仪器至棱镜垂距;
c——棱镜中心至底面间距(常数18mm);
b1——棱镜底面上水准尺读数;
b2——凑整数。
(3)三角高程测量方法
欲在楼层面上求得高程点,其测量方法如下:在近BM1水准点的地面处,设置TC1700全站仪,用二根装置棱镜的标杆,一根立在BM1点上,一根立在所求点上,分别测出仪器至BM1点和所求点的高差hl和h2,即可算得所求点的高程,如图4-174所示。测量时,二处所立的棱镜标高一致时,其所求点(N1)高程计算公式如下:

图4-174 三角高程测量示意图
HN1=BM1(高程)+h2-h1 (4-68)
如果仪器至杆1测得负高差,则hl前变符号为"+"。
二杆高度不一致时,如杆2大于杆1一差数时,则二杆之高差减去这一差数,否则相加。
塔楼高度在+200m(50层)以上时,用三角高程测量法已无法观测。在53层以上的高程控制,用设在A48层的TZ1~TZ4点竖向高程测量方法进行。
(4)楼层高程控制
依据在核心筒壁西北处红三角标高标志,施工员在每层核心筒壁四周测设墨斗线弹注安装水平线,其标高为每层地坪设计标高+500mm,供后续各安装单位使用。
1.5.7 塔楼钢结构安装测量
88层的金茂大厦,高达420.50m,共有45节钢柱子组成,其中第1~36节为主体楼层,每层有8根巨型钢柱及16根复合钢柱,如图4-175所示。每根巨型钢柱在坐标轴上ΔX(ΔY)向筒方向共收缩12次,每次收缩ΔX(ΔY)为0.750m,每对钢柱每次垂直向筒方向平移1.0607m,12次在轴上共收进9.000m,平移12.728m,每根钢柱要转换12个坐标位置,势必增加测设钢柱垂直度的难度,尤其在东西方向上。

图4-175 主楼钢柱位置图
第41节为塔基底部,42节为塔基基础,43~45节为塔尖,这样的超高层钢结构(如转换12个坐标位置)垂直度测量允许偏差,现行规范没有详细说明,现规定每节钢柱垂直度限差在10mm之内,主体结构整体垂直度如公式(4-69)所示:
H/2500+10.0<50.0mm (4-69)
式中 H——柱总高度。
即总体垂直度不得超过50mm,为此机械施工公司制定了严密的施工方案,测得钢柱最大偏差为第24节(+234.495)A6柱总体偏差为28mm,从而保证了钢结构封顶时总体垂直偏差大大小于50mm的要求。
1.8根巨型钢柱垂直度测量
(1)地面测量法:利用场地控制网,将外围柱轴线延长至塔楼外场地上,设置测点,同时在1层柱子面上,设置轴线标志,一根柱子设二个基准标志东(西)和南(北),作为投测依据。在相应测站上,用T2经纬仪进行正倒镜投测,在上节柱子上量出偏差,求得位移量。随着建筑物不断升高,此基准线方向标志必须向上传递,利用上部轴线重新设置方向标志。第一次设置的一层方向标志,一直用到第一道外伸析架安装完成。第二次方向标志设在第18层钢柱上,一直用到第二道外伸桁架安装结束。第三次基准方向标志,设在48层的钢柱上。
(2)联合测量法:当结构安装到150m以上时,采用高空和地面联合测量法。在安装时,高空由当班工,测量安装节柱的本节垂直度,使用J2型经纬仪,地面测量总体垂直度,使用T2型经纬仪。测好后,互相对照,从而为下一节柱子安装提供垂直偏差的依据。在高空测量中,架设仪器困难,测量人员自己动手解决了搁置仪器问题,即利用钢管、扣件及螺栓,制作一个简单的可固定在核心筒上安放仪器小平台,这样可解决一个方向的测量问题。另一个方向测量,将仪器安置在已安装好的钢梁上,这个方法一直使用到88层。
(3)坐标测量法:该方法也是总体垂直度测量的一种方法,其方法在53层以上时,在每逢各节柱顶的楼层面上,在核心筒壁处的测点TZ1~TZ3和TZ2~TZ4,在其方向一定高度处,在筒壁上预留200mm×200mm方孔,使其对向通视,如图4-176(a)所示。测量时设置一个搁置平台,使仪器中心对准楼面上测点,如图4-176(b)所示。从孔中看到对向后视点,测量各节柱顶中心位置坐标,算得偏差和垂直度。

图4-176 垂直度测量
2.三道外伸桁架的测量
三道外伸桁架的安装是整个钢结构工程的关键,要求较高。依施工程序,核心筒的8根立柱必须先浇进核心筒剪力墙内,楼层下面只露出16只巨型柱节点,待安装复合柱上来后,再安装相关的水平梁及支撑。因此对这先安装好的8根立柱的轴线与标高控制至关重要,特别是轴线,如控制不好,产生扭转,以后φ200和φ协50的锁轴,无法锁进。
测量方法:在测设三道外伸桁架时,钢平台较长时间分别停留在24层、51层和85层相应高度范围内,根据投测在钢平台上的十字轴线点来测设8根立柱和钢结构的位置,如图4-177所示。8根立柱位置控制在3mm内,等浇好混凝土后再测一次,求得8根立柱的实际偏差值,为外伸桁架复合柱安装提供调整数据。

图4-177 钢平台上的十字轴线点
柱顶标高依据在各层核心筒壁西北红三角标高标志来引测。由于测量控制得好,使三道外伸桁架416根锁轴,顺利锁定。
3.塔顶测量
塔顶测量是仅次于外伸桁架的第二难点。因为在88层以上,只有少量几根外围柱设计是垂直的,其余都是倾斜的。测量方法根据85层核心筒壁上4个测量点TZ1~TZ4点投测至P1~P4各层面上,直至塔尖基座中心(+383.50m)层面。在各层面上4个控制点网用来控制各层轴线和塔尖垂直度。
1.5.8 主楼沉降观测
主楼沉降观测主要是为了掌握建筑物各部位的沉降变化情况,分析数据,作出预报,为建筑物的安全施工服务。同时根据测得资料,对设计所预期的沉降数据,进行验证。
1.沉降观测点的布设
在基础承台面上布设13个沉降观测点,即M1~M13,如图4-178所示,在浇捣承台混凝土时一起埋设,标志为圆盒式型,以利保护。

图4-178 主楼沉降观测点布置图
2.沉降观测方法
以II等水准测量精度要求进行观测,从场地基准水准点BM1,引测组成一个水准环线,塔楼首层至地下室部分用20m铟钢带尺向下传递引测,观测使用精密水准仪Wild-NA2和铟钢水准尺、带尺。
3.观测要求
前后视距差不大于2m,视距累计差不大于3m,视距最大长度不超过40m。
观测精度:沉降观测点相对于后视点高差的测定允许偏差为±1mm,观测闭合差不超过1
根号N mm(式中n为测站数)。沉降观测点、测定高程中误差最大为±1mm。4.观测周期
平均每周观测一次。
5.主楼累计沉降量
1998年3月28日,主楼第121次沉降观测,测得累计沉降量见表4-47。

主楼累计沉降量 表4-47
1.5.9 结构各阶段完工线(点)测量成果
1.核心筒完工线(点)测量
依据控制点A6~A9与TZ1~TZ4点测量核心筒外壁八个棱角完工线(点)如甲4-179所示。从A1层~A88层(每隔5层),其实测坐标与设计坐标之比,求得点位偏差值(略)。

图4-179 核心筒完工点布置
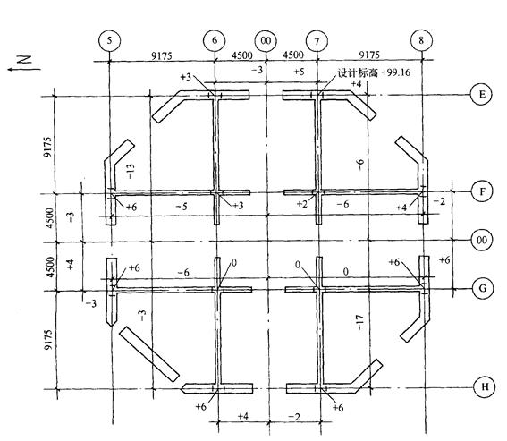
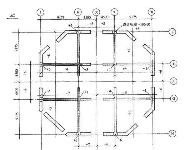
2.核心筒外伸朽架柱顶偏差和标高测量
核心筒的三道外伸桁架的柱顶中心水平偏差,依据投测在A24层、A51层和A85层钢平台上的十字轴线来测设,分别量测轴线与柱顶中心间距离,算得每个柱顶的水平位移偏差如图4-180~图4-185所示,同时算得每道外伸桁架相对偏差(略)。标高测量分别以核心筒红三角标高标志,用水准测量方法,测出各柱顶高程,求得高程偏差。

图4-180 核心筒24层柱顶水平位移及标高偏差

图4-181 核心筒26层柱顶水平位移及标高偏差

图4-182 核心筒51层柱顶水平位移及标高偏差

图4-183 核心筒53层柱顶水平位移及标高偏差

图4-184 核心筒85层柱顶水平位移及标高偏差

图4-185 核心筒87层柱顶水平位移及标高偏差
3.主楼钢柱位移(垂直度)和标高测量
钢柱位移测量:钢柱每节安装完毕后,在其纵横轴线上设站用经纬仪正倒镜投点法量取矢量或测设钢柱中心坐标,求得位移偏差量,现列出从第1节至第35节中转换节柱位移偏差量(略)。
标高从核心筒壁上红三角标高标志引测。
4.主楼复合巨型柱混凝土体完工线(点)测量
主楼复合巨型柱体完工线(点)测量依据在对应楼层面上控制点来测设其柱体的4个角点的实际坐标与设计坐标之比,求得水平位移偏差值。从A1层~A86层间每隔5层测量一次,其柱体轴线位置与角点编号如图4-186所示,位移偏差值此处略。
图4-186 柱体轴线位置与角点编号

5.核心筒中心点垂直位移偏差
在核心筒中心A3层基准点(+12.800m)处,用Wild ZL天顶垂准仪投测至测量平台上,然后用TC1700全站仪(装置弯管)测设天顶角,求得位移偏差值。随着施工的进展,测站点移至A17层、A38层、A56层平台中心点上,投测相应层次中心点,直至塔尖基座中心(+382.500m)换算得A3层中心至塔尖基座中心垂直位移偏差值:
累计位移偏差值 矢量 ΔY=+19mm(偏东)
ΔX=+9mm(偏南)
S(A3-基座)=21mm(东南)
相对误差为1/17600