
3.用波长为400~760nm的白光照射衍射光栅,其衍射光谱的第2级和第3级重迭,则第2级光谱被重迭部分的波长范围为 【 】
(A)600-760nm (B)506.7-760nm
(C)400-506.7nm (D)400-600nm
所有课程资料汇总,群文件定期更新 qm.qq.com
4.自然光以60°的入射角度照射到某两介质分界面时,反射光为完全偏振光,则折射光为
(A)完全偏振光且折射角是30°
(B)部分偏振光且只是在该光由真空入射到折射率为1.73的介质时,折射角是30°
(C)部分偏振光,但须知两种介质的折射率才能确定折射角
(D)部分偏振光且折射角是30° 【 】
5.折射率为1.5的双正凸透镜,在空气中焦距为20cm,其曲率半径为 【 】
(A)25cm (B)20cm
(C)15cm (D)10cm

8.我们不能用经典力学中的位置方式来描述微观粒子,是因为 【 】
(1) 微观粒子的波粒二象性 (2) 微观粒子位置不确定
(3) 微观粒子动量不确定 (4) 微观粒子动量和位置不能同时确定
(A) (1)(3) (B) (2)(3) (C) (1)(4) (D) (2)(4)
二、填空题(共26分)
1.(3分)一列平面简谐波沿 x 轴正向无衰减地传播,波的振幅为 2×10-3 m,周期为0.01 s,波速为400 m/s . 当 t = 0时, x 轴原点处的质元正通过正最大位移一半向 y 轴负方向运动,则该简谐波的表达式为________________。

3.(3分)在一平板玻璃(n1=1.50)上覆盖一层透明介质膜(n2=1.2),为使波长为600nm的光垂直投射在它上面而不反射,则这层薄膜的最小厚度是 。


三、计算题(每小题10分,共50分)
1.正常人的明视距离为25cm,一远视眼患者戴焦度为2D的眼镜看书时须把书拿到眼前40cm处,此人应配戴多少度的眼镜才能和正常人一样看书?

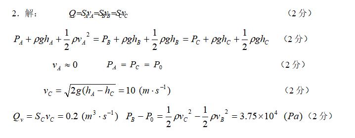
2.水由蓄水池中稳定流出,如图所示。A点高度为6m,B点和C点的高度为1m,在B点处管的截面积为0.04m2,在出口C点处管的有效截面积为0.02m2,蓄水池的面积比管的截面积大得多。(已知:

,

)求:(1)B点处的计示压强;(2)单位时间内的体积流量。


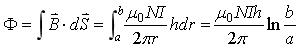
5.一截面为长方形的环形式螺线管,共有

匝,通有电流

,其尺寸如图所示,求(1)环形螺线管内的磁感应强度;(2)此螺线管的自感系数。

2018年下学期医用物理学参考答案
一、 选择题
1.D 2.C 3.A 4.D 5.B 6.B 7.D 8.C




5. 解: 由安培环路定律,可求得环内磁感应强度为:

(4分)
在螺线管横截面上取面元
省钱捡漏,高质量分享,15-20分钟推送一个商品 qm.qq.com

,
则通过横截面的磁通量为:

(4分)
螺线管的自感系数为:

。 (2分)