除了物理学以外,数学还在其他自然科学和社会科学领域发挥了重要作用。限于篇幅,我们仅以生物数学和数理经济学为例。与物理学相比,生物学是一门年轻的学科,在17世纪显微镜发明以后才真正步入正轨,但它和物理学是自然科学的两个最重要的分支。生物学研究中数学方法的引进也相对迟缓,大约始于20世纪初。多才多艺的英国数学家皮尔逊(Pearson,1857—1936)率先将统计学应用于遗传和进化问题的研究,并于1899年创办了《生物统计》杂志,这是最早的生物数学杂志。
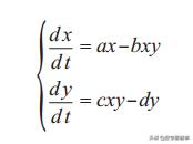
1926 年,意大利数学家沃尔泰拉(Volterra,1860—1940)提出了下列微分方程,成功地解释了地中海中不同鱼种周期消长的现象,其中x表示被食小鱼数,y表示食肉大鱼数。这个方程组也被称为“沃尔泰拉方程”,它开了用微分方程建立生物模型的先河。

20 世纪50年代,在英国和美国出现了两项轰动性的成果,即描述神经脉冲传导的数学模型霍奇金—赫胥黎方程(此赫胥黎为安德鲁·赫胥黎,他是达尔文进化论支持者托马斯·赫胥黎之孙、小说家阿道司·赫胥黎之弟)和视觉系统侧抑制作用的哈特兰—拉特利夫方程,它们都是复杂的非线性方程,引起了数学家和生物学家的兴趣。有意思的是,前三位分别因此获得1963年和1967年的诺贝尔生理学或医学奖,而拉特利夫(Ratliff,1919—1999)只因为这个方程和作为哈特兰(Hartline,1903—1983)的前同事被人们记住。

生理学家赫胥黎,生物学家赫胥黎之孙,作家赫胥黎之弟

沃森、克里克和DNA模型
1953 年,即霍奇金—赫胥黎方程诞生的第二年,美国生物化学家沃森(Watson,1928—)和英国物理学家克里克(Crick,1916—2004),发现了脱氧核糖核酸(DNA)的双螺旋结构,这不仅标志着分子生物学的诞生,也把抽象的拓扑学引入了生物学。因为在电子显微镜下可以看到,双螺旋链有缠绕和纽结,这样一来,代数拓扑学的纽结理论便有了用武之地,并应验了一个多世纪前高斯的预言。1984年,新西兰出生的美国数学家琼斯(Jones,1952—)建立了关于纽结的不变量——琼斯多项式,帮助生物学家对在DNA结构中观察到的纽结进行分类,琼斯也因此获得了1990年的菲尔兹奖。
沃森和克里克获得了1962年的诺贝尔生理学或医学奖,但他们的发现的意义还没有得到充分认识。这里我想多说几句。先用物理学来做参照,它主要探讨宏观世界(原子内部结构的重要性也在于核聚变和核裂变产生的巨大能量),而生物学则侧重研究微观的事物(细胞和基因)。达尔文的进化论和伽利略的自由落体运动定律一样,主要表现了生命和物体运动的外在规律,而牛顿的万有引力定律则发现了物体乃至宇宙运动的内在规律和原因,与此相对应的生物学成就则是揭示了生命奥秘的DNA双螺旋结构。值得一提的是,沃森和克里克是在他们平日和同事们常去的剑桥老鹰酒吧宣布这一里程碑式的发现的。
1979 年的诺贝尔生理学或医学奖由两位非本行的专家一起获得,即南非出生的美国物理学家科马克(Cormack,1924—1998)和英国电器工程师豪斯菲尔德(Housfield,1919—2004)。在开普顿一家医院的放射科做兼职时,身为物理学讲师的科马克就对人体软组织和不同密度组织层的X射线成像问题产生了兴趣,到美国任教后,他建立起计算机扫描的数学基础,即人体不同组织对X射线吸收量的计算公式。这个公式建立在积分几何的基础之上,解决了计算机断层扫描的理论问题。这项工作促使豪斯菲尔德发明了第一台计算机X射线断层扫描仪,即CT扫描仪,并在临床试验中取得成功。
下面我们要谈的是数理经济学,这门学科是由匈牙利数学家冯·诺依曼开启的。他在与人合著的《博弈论与经济行为》(1944)中提出竞争的数学模型并应用于经济问题,这成为数理经济学的开端。整整半个世纪以后,美国数学家纳什(Nash,1928—2015)和德国经济学家泽尔藤(Selten,1930—)因为博弈论研究获得诺贝尔经济学奖。纳什患有精神疾病,是被改编成电影的小说《美丽心灵》的主人公原型,他建立了纳什均衡理论,解释博弈双方的策略和行动。纳什因为在非线性偏微分方程方面所做的贡献而获得数学界的至高荣誉——阿贝尔奖,则是在他生命的最后一年。

电影《美丽心灵》主人公原型纳什
如果说前苏联数学家康托罗维奇(Kantorovich,1912—1986)的线形规划论和荷兰出生的美国经济学家库普曼斯(Koopmans,1910—1985)的生产函数所用的数学理论还比较简单(他们因为在资源最佳配置理论方面的贡献获得1975年的诺贝尔经济学奖),那么法国出生的美国经济学家德布鲁(Debreu,1927—2004)和另一位美国经济学家阿罗(Arrow,1921—2017)所用的凸集和不动点理论就较为深刻了,他们建立的均衡价格理论的后续研究使用了微分拓扑、代数拓扑、动力系统和大范围分析等抽象的数学工具。有意思的是,阿罗和德布鲁获得诺贝尔经济学奖却相隔多年(分别是在1972年和1983年)。
20 世纪70年代以来,随着随机分析进入经济学领域,尤其美国经济学家费希尔·布莱克(Black,1938—1995)和加拿大出生的美国经济学家斯科尔斯(Scholes,1941—)将期权的定价问题归结为一个随机微分方程的解,并导出与实际较为吻合的期权定价公式,即布莱克—斯科尔斯公式。在此以前,投资者无法精确地确定期权的价格,而这个公式把风险溢价因素计入期权价格,从而降低了期权投资的风险。后来美国经济学家默顿(Merton,1944—)消除了许多限制,使得该公式亦适用于金融交易的其他领域,如住房抵押。1997年,默顿和斯科尔斯分享了诺贝尔经济学奖。
可是,进入21世纪以来,美国发生了次贷金融危机,严重影响了世界经济的发展。在正常情况下,客户一般向银行申请*款贷**。可是,一部分客户出于信用条件差或其他原因,银行不愿意与他们签订*款贷**协议。于是,就有*款贷**机构发放信用要求宽松但利率较高的*款贷**。次级*款贷**蕴含较大的违约风险,主要原因在于其衍生产品。有关部门不愿意独自承担风险,往往会将这些产品打包出售给投资银行、保险公司或对冲机构。这些衍生品看不见摸不着,其价格以及打包方式无法通过人为的简单判断来确定,这就催生了一个新兴的数学分支——金融数学。
在衍生品的定价过程中,有两个非常重要的参数,即折现率和违约概率,前者基于某个随机微分方程,后者服从泊松分布。通过遭遇这次世界性的金融危机,人们发现这两种数学手段以及其他估价手段还需要更精准。20世纪90年代,同一年(1947)出生的中国数学家彭实戈和法国数学家巴赫杜(Pardoux)合作创立了倒向随机微分方程,现已成为研究金融产品定价的重要工具。
18世纪初,雅各布·伯努利说过,从事物理学研究而不懂数学的人,实际上处理的是意义不大的事情。到了21世纪,金融业或银行业也出现了这种情况,有着200多年历史的美国花旗银行宣称,他们有70%的业务依赖于数学,同时强调如果没有数学花旗银行就不可能生存下去。
最后,值得一提的是,康托罗维奇的线性规划论是运筹学中最早成熟的研究内容和分支之一。运筹学可以定义为,管理系统的人为了获得关于系统运行的最优解而必须使用的一种科学方法,主要依赖于数学方法和逻辑判断。与运筹学几乎同时脱胎于第二次世界大战的应用数学学科还有控制论和信息论,其创始人分别是美国数学家维纳(Wiener,1894—1964)和香农(Shannon,1916—2001),两人退休前都在麻省理工学院任教,也都是公众人物。维纳18岁就获得哈佛大学博士学位,出版过两本自传——《昔日神童》和《我是一个数学家》;香农则被誉为数字通信时代的奠基人。
在维纳看来,控制论是一门研究机器、生物社会中的控制和通信的一般规律的科学,是研究动态系统在变的环境条件下如何保持平衡或稳定状态的科学。他创造了cybernetics这个词,希腊文原意为“操舵术”,就是掌舵的方法和技术的意思。在柏拉图的著作中,常用它来表示管理人的艺术。信息论是一门用数理统计方法来研究信息的度量、传递和变换规律的科学。
需要注意的是,这里的信息指的不是传统的消息,而是一种秩序的等级或非随机性的程度,可以测量或用数学方法处理,就像质量、能量或其他物理量一样。