急诊经常见到病人询问,白细胞正常,为啥这个指标(CRP)这么高呢?
这篇文章讨论什么是CRP,CRP有什么指导意义。
CRP,即C-反应蛋白,最初由1930年科学家发现因机体反应于肺炎球菌的C荚膜多糖而产生量增多,因此得名C-反应蛋白。

它是由肝脏细胞合成释放入血的急性时相反应蛋白。这种蛋白能够与多种细菌、真菌和原虫的胞壁成分作用,还能在体内激活补液调控免疫细胞的功能。因此,生理状态下和病理状态下均广泛存在。
CRP是机体急性时相反应的极其灵敏的指标。
这里科普一下什么是“急性时相反应蛋白(Acute Phase Reaction Protein,APRP)”。
APRP是指当机体发生了因感染、肿瘤、或梗死供血不足等情况出现炎症时,血浆中骤然发生变化的一大类蛋白,包含铜蓝蛋白、补体蛋白、结合珠蛋白、抗胰蛋白酶alpha1以及最经典的C-反应蛋白。
这些蛋白在以炎症为表现的各种病因下,出现显著升高。这种情况是机体自带的天然防御机制,称之为急性时相反应。当然还包括白蛋白、前白蛋白、转铁蛋白的减少。
再分析的更细一点,不同蛋白的水平变化与炎症的反应进程有很大关系,因此对分析炎症的急性期、慢性期、亚急性期等阶段具有很好的指导意义。
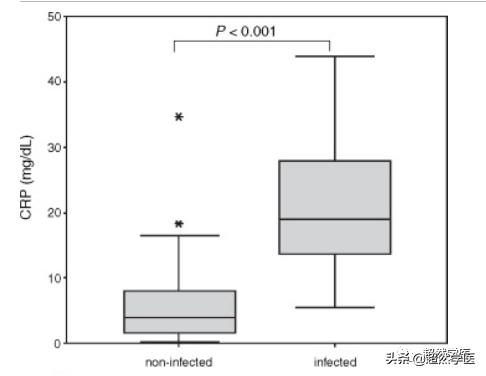
比如葡萄牙的这篇研究显示CRP是危重症患者重要的感染指标。


左侧没有感染。右侧存在感染,CRP显著升高。
而在病理生理条件下,CRP一般在炎症或创伤后6小时内即发现上升,最高峰可达初始值的10000倍。

CRP的半衰期为19小时。
当炎症感染开始后,约36-50小时,CRP值到达高峰。
一般程度的细菌感染或病毒感染,CRP:10-40mg/L
急性细菌感染 CRP:40-200mg/L
比较重度的细菌感染和烧伤 CRP>200mg/L
CRP对危重症患者的指导意义非常重大。

目前已知的能影响血中CRP浓度的因素只有CRP的产生速度。
一般的急性炎症,CRP可从50ug一下子在6小时内上升至100mg/L,比如皮肤感染、囊性炎症、支气管炎。
如果炎症持续,每8小时CRP可翻倍升高。
当最迟50小时后到达峰值。CRP值如果处在100-500mg/L,极大可能性细菌感染。
一旦炎症细菌控制后,CRP因其半衰期19小时左右,下降也极快。
因此,在临床上,定期复查血常规+CRP是非常必要的。对比几次CRP值,可以评估疾病的进展或治疗的成效。
美国医师协会顶级期刊JAMA2020年针对CRP指导下的抗生素应用还发表过专门的临床研究,可见CRP虽然基础,但是极其经典。

也许有人会问:ESR(红细胞沉降率)和CRP相比哪个判断疾病病情更准确。
CRP相比ESR要更敏感和反应快速。当ESR还处在正常水平时,CRP就已经升高了。CRP比ESR更快对治疗的成效产生反应。
最后总结一下:
细菌性感染、风湿热活动期、器质性疾病:CRP升高
非细菌性感染、风湿热稳定器、功能性疾病:CRP不升高
