再也不盲目跑杆了,一次性搞懂水准测量+导线测量

施工测量是工程中必不可少的一块,同样是工程测量中非常重要的一个部分,在施工单位中,很多刚到工地的施工人员并不是很熟悉测量工作的相应内容以及相关的计算,很多人只是盲目的跟着师傅拿着杆在工地上到处跑,下面就一起看看什么才是正确的在干测量的“姿势”!

再也不盲目跑杆了,一次性搞懂水准测量+导线测量

再也不盲目跑杆了,一次性搞懂水准测量+导线测量

一、水准测量

一、水准测量原理

A、B两点间的高差为 hAB = a-b

再也不盲目跑杆了,一次性搞懂水准测量+导线测量

若水准测量前进方向是由A点测到B点,规定:

A点为后视点,A点尺上的读数a 为后视读数

B点为前视点,B点尺上的读数b 为前视读数

高差 =后视读数-前视读数

当a 大于b 时,hAB 值为正,B点高于A点;

当a 小于b 时,hAB 值为负,B点低于A点。

hAB表示由A点至B点的高差;

hBA表示由B点至A点的高差,

hAB = - hBA

直接利用高差hAB计算B点高程的方法称为高差法。

若已知A 点的高程HA,求未知点B 的高程HB

HB=HA+hAB

利用仪器视线高程Hi 计算B点高程的方法称为视线高法。

Hi = HA+a

HB=HA+(a-b)=Hi-b

再也不盲目跑杆了,一次性搞懂水准测量+导线测量

若A、B两点之间相距较远或高差较大时

连续设站水准测量

转点 起传递高程的作用

再也不盲目跑杆了,一次性搞懂水准测量+导线测量

二、DS3微倾式水准仪

一)水准仪的分类

1.按精度划分

分为DS05、DS1、DS3、DS10等四个等级,

“D”和“S”分别为“大地测量”和“水准仪”的汉语拼音第一个字母,

下标05、1、3、10表示仪器的精度等级,即“每千米往返测高差中数的中误差(单位:mm)。”

DS05、DS1称为精密水准仪,DS3、DS10称为普通水准仪。

2.按结构划分

光学水准仪;微倾式水准仪;自动安平水准仪;电子水准仪

再也不盲目跑杆了,一次性搞懂水准测量+导线测量

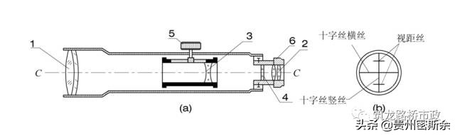
望远镜、水准器和基座

主要由物镜、目镜、十字丝分划板、调焦透镜、调焦螺旋和镜筒组成。

十字丝中心交点与物镜光心的连线称为望远镜的视准轴。

再也不盲目跑杆了,一次性搞懂水准测量+导线测量

2.水准器

(1)圆水准器

球面中心刻有一个小圆圈,小圆圈的中心称为圆水准器的零点。

通过零点的球面法线,称为圆水准器轴。

当圆水准气泡中心与零点重合时,即气泡居中,说明圆水准器轴处于铅垂位置。

圆水准器分划值是指气泡由零点向任意方向移动2 mm 时所对应的圆心角值。

DS3水准仪圆水准器分划值一般为8′/2 mm 。

再也不盲目跑杆了,一次性搞懂水准测量+导线测量

(2)管水准器

又称水准管,纵向圆孤的中心O为管水准器的零点,

过O点的切线 LL 称为水准管轴。

当水准管气泡中心位于零点时,称为气泡居中,此时水准管轴处于水平位置。

水准管圆弧2 mm 所对的圆心角τ,称为水准管分划值。

DS3水准仪的水准管分划值一般为20″/2mm。

再也不盲目跑杆了,一次性搞懂水准测量+导线测量

再也不盲目跑杆了,一次性搞懂水准测量+导线测量

△管水准器与符合棱镜

管水准器的灵敏度比圆水准器高得多,因此,管水准器用于水准仪的精确整平,而圆水准器只能用于粗略整平。

3. 基座

基座的作用 支承仪器的上部并与三脚架相接。

基座的构成 主要由轴座、脚螺旋、底板和三角压板。

通过调节三个脚螺旋可使圆水准器气泡居中,供粗略整平用

4. 脚架

再也不盲目跑杆了,一次性搞懂水准测量+导线测量

脚架是用于支撑和安置水准仪的。

水准仪通过中心连接螺旋与脚架相连,并可根据需要调节脚架的高度。

三)水准尺和尺垫

1.水准尺

区格式木质双面水准尺多用于三、四等水准测量,其长度为3m。

黑面尺底为零,称为基本分划(或主尺);

红面尺底不为零,其中一根为4687mm,另一根为4787mm,称为辅助分划(或辅尺),

两根尺构成一对。

再也不盲目跑杆了,一次性搞懂水准测量+导线测量

2.尺垫

尺垫用在转点处。

再也不盲目跑杆了,一次性搞懂水准测量+导线测量

四)DS3水准仪的使用

水准仪的基本操作包括以下步骤:

1、安置仪器

再也不盲目跑杆了,一次性搞懂水准测量+导线测量

2、粗平:

再也不盲目跑杆了,一次性搞懂水准测量+导线测量

3.瞄准水淮尺

使水准尺影像位于十字丝竖丝附近

再也不盲目跑杆了,一次性搞懂水准测量+导线测量

注意消除视差

再也不盲目跑杆了,一次性搞懂水准测量+导线测量

4.精平

再也不盲目跑杆了,一次性搞懂水准测量+导线测量

5.读数

再也不盲目跑杆了,一次性搞懂水准测量+导线测量

三、水准测量的外业施测

一)水准点

为了统一全国的高程系统和满足各种测量的需要,测绘部门在各地埋设且用水准测量方法测定的高程控制点,称为水准点,记为BM(Bench Mark)。

水准点是水准测量引测高程的依据。

水准点应设在土质坚实,便于保存和使用的地方,

再也不盲目跑杆了,一次性搞懂水准测量+导线测量

二)水准路线布设

1.单一水准路线

(1)闭合水准路线

如图(a),从一个已知高程的水准点BMA出发,沿一条环形路线进行水准测量,依次测定若干个待定高程的水准点1、2、3、…,最后又回到水准点BMA,称为闭合水准路线。

在普通水准测量中,路线长一般不超过8km。

再也不盲目跑杆了,一次性搞懂水准测量+导线测量

2)附合水准路线

如图(b),从一个已知高程的水准点BMA出发,沿一条路线进行水准测量,依次测定若干个待定高程的水准点1、2、3、…,最后附合到另一个已知高程的水准点BMB上,称为附合水准路线。

在普通水准测量中,路线长一般不超过8km。

再也不盲目跑杆了,一次性搞懂水准测量+导线测量

(3)支水准路线

如图(c),从一个已知高程的水准点BMA出发,沿一条路线进行水准测量,依次测定若干个待定高程的水准点1、2、…,最后既不回到起始水准点,也不附合到另一个已知高程的水准点上,称为支水准路线。

由于支水准路线缺乏检核,故路线一般不超过4km。

通常要进行往返观测,以加强检核。

再也不盲目跑杆了,一次性搞懂水准测量+导线测量

2.水准网

(1)附合水准网 如(a),从多个已知高程的水准点出发,由若干条单一水准路线相互连接而构成的网状图形。

(2)独立水准网 如(b),从一个已知高程的水准点BMA出发,由若干条单一水准路线相互连接而构成的网状图形。

在水准网中,至少连接三条水准路线的水准点称为结点。

再也不盲目跑杆了,一次性搞懂水准测量+导线测量

三)普通水准测量

普通水准测量常用于一般工程的高程测量和地形图测绘的图根控制点高程测量。

1.施测一般要求

普通水准测量采用DS3或DS10级水准仪,测量前应对仪器进行检验,采用中丝读数法单程观测,施测中各项限差应满足相应测量规范的各项要求。

2.观测、记录和计算

再也不盲目跑杆了,一次性搞懂水准测量+导线测量

3.普通水准测量的检核

1)计算检核

HB-HA=∑h=∑a-∑b

(2)测站检核

两次仪器高法

在同一测站上用两次不同的仪器高度(仪器高度差在10cm以上),测得两次高差进行比较,若两次高差之差不超过容许值(普通水准测量容许值为6 mm),则取平均值作为该测站观测高差,否则,必须重测。

双面尺法

保持仪器高度不变,用双面尺的黑、红面两次测量高差进行比较,若两次高差之差不超过容许值,则取平均值作为该测站观测高差,否则,必须重测。

四、水准路线的计算

一)附合水准路线的计算

1.高差闭合差的计算

在水准测量中,由于测量误差的影响,使水准路线的实测高差值与应有高差值不相等,其差值称为高差闭合差,用 fh 表示。

fh=Σh测-Σh理=Σh测-(H终-H始)

一)附合水准路线的计算

2.高差闭合差的调整

当 fh≤fh 容 时,即可进行高差闭合差的调整。

消除闭合差的原则是:将 fh 反号,按与各测段的路线长度或测站数成正比地改正各段观测高差。

再也不盲目跑杆了,一次性搞懂水准测量+导线测量

高差改正数的计算检核:

再也不盲目跑杆了,一次性搞懂水准测量+导线测量

再也不盲目跑杆了,一次性搞懂水准测量+导线测量

一)附合水准路线的计算

3.待求点高程的计算

根据各段改正后的高差和起始点的高程,分别求得各待求点的高程。

例2-1 下图为某附合水准路线,各测段的路线长、实测高差和起点高程如图所示,该附合水准路线的计算结果列于下表中。

再也不盲目跑杆了,一次性搞懂水准测量+导线测量

再也不盲目跑杆了,一次性搞懂水准测量+导线测量

二)闭合水准路线的计算

高差闭合差按下式计算:

fh=Σh测

例2-2 下图为某闭合水准路线,各测段的路线长、实测高差和起点高程均注于图中,该闭合水准路线的计算结果列于表中。

再也不盲目跑杆了,一次性搞懂水准测量+导线测量

再也不盲目跑杆了,一次性搞懂水准测量+导线测量

三)支水准路线的计算

设A点为已知点,高程为68.200m,

从A点测到B点,高差为+4.385m,

若再从B点测到A点,高差为-4.373m,

此时B点高程的计算方法如下:

高差闭合差:fh=h往+h返=+4.385-4.373=+0.012m

高差闭合差允许值为:

再也不盲目跑杆了,一次性搞懂水准测量+导线测量

f h< fh 容,说明观测结果符合精度要求。

再也不盲目跑杆了,一次性搞懂水准测量+导线测量

则B点的高程为:HB=HA+ hAB =68.200+4.379=72.579 m。

微倾式水准仪的检验与校正

1.微倾式水准仪应满足的几何条件

主要轴线有:圆水准轴L′L′;管水准轴LL;视准轴CC;纵轴(竖轴)VV

根据水准测量的原理,水准仪应满足的主要条件是LL∥CC。

两个次要条件:

①L′L′∥VV;

②十字丝中丝⊥VV。

再也不盲目跑杆了,一次性搞懂水准测量+导线测量

2.微倾式水准仪的检验与校正

(1)圆水准轴平行于仪器竖轴的检验与校正

①目的 通过检校,可使仪器圆水准气泡居中时,仪器竖轴基本竖直。

②检校方法

再也不盲目跑杆了,一次性搞懂水准测量+导线测量

一、微倾式水准仪的检验与校正

(2)十字丝中丝垂直于仪器竖轴的检验与校正

①目的 通过检校使十字丝中丝垂直于仪器竖轴,当竖轴竖直时,中横丝 处于水平位置,即用中横丝任何位置在水准尺上截得的读数都是相同的。

②检校方法

再也不盲目跑杆了,一次性搞懂水准测量+导线测量

2.微倾式水准仪的检验与校正

(3)水准管轴平行于视准轴的检验与校正

① 目的

使水准管轴平行于视准轴,当水准管气泡居中时,视准轴处于水平位置,即获得一条水平视线。

视准轴和水准管轴在竖直面上投影是否平行的检验,称为i 角检验,是水准仪检校的重点。

在水平面上投影是否平行的检验,称为交叉误差检验。

② 检验方法

当仪器安置在中点时,

hAB=(a1-x)-(b1-x)=a1-b1

无论仪器是否存在i角,在中点上测得的高差始终是正确的。

再也不盲目跑杆了,一次性搞懂水准测量+导线测量

再也不盲目跑杆了,一次性搞懂水准测量+导线测量

将水准仪搬至距B点(或A点)2m~3m处,精平后分别读取A点和B点上水准尺的读数a2和b2,则

hAB′=a2-b2

△h=hAB′-hAB

i 角的计算公式为:

再也不盲目跑杆了,一次性搞懂水准测量+导线测量

对于DS3水准仪,一般要求 i 角不得大于20″。

(3)水准管轴平行于视准轴的检验与校正

③ 校正方法

仪器靠近B点处,根据b2和hAB计算出A尺上的正确读数为:

a2′=b2+hAB

校正时,保持水准仪位置不动,转动微倾螺旋,使A尺上的读数对准正确读数a2′,此时视准轴处于水平位置,水准管轴倾斜。用校正针稍松水准管一端的左、右两个校正螺丝,再拔动上下两个校正螺丝,直到水准管气泡居中。

再也不盲目跑杆了,一次性搞懂水准测量+导线测量

五、水准测量的误差分析

一)仪器误差

1.仪器检校后的残余误差,若保持前后视距相等,i 角对高差的影响可以消除或削弱。

2.水准尺分划误差

3.水准尺零点误差

在观测过程中,以两根标尺交替放置,并使每一测段的测站数为偶数,可以消除一对水准尺黑面零点差的影响。

二)观测误差

1.水准管气泡居中误差

每次读数前,都应使水准管气泡严格居中。

2.视差

应随时注意消除视差。

3.读数误差

主要是估读毫米值的误差。

4.标尺倾斜误差

若水准尺不竖直,始终使标尺上的实际读数大于应读数。读数时,应将标尺扶直 。

三)外界条件的影响

1.仪器下沉

在一个测站观测时,采用“后一前一前一后”的观测顺序,可削弱仪器下沉对高差的影响。

2.尺垫下沉

对同一水准路线采用往返测高差取平均的方法,可削弱此项误差的影响。

3.地球曲率和大气折光的影响

地球曲率对高差的影响

c=S2/2R

c 为地球曲率差。当仪器距后、前标尺的距离相等时,可消除地球曲率对高差的影响。

再也不盲目跑杆了,一次性搞懂水准测量+导线测量

3.地球曲率和大气折光的影响

大气折光引起的读数误差称为大气折光差。

消除或减弱大气折光差影响的措施:

采用前后视距相等的方法,

选择成像清晰的时间观测 ,

视线离地面的高度不小于0.3m。

地球曲率c 和大气折光r 的联合影响称为球气差 f ,

f =c - r

4.温度风力的影响

在阳光下观测时应撑伞

应选择有利的气侯条件

再也不盲目跑杆了,一次性搞懂水准测量+导线测量

二、导线测量

再也不盲目跑杆了,一次性搞懂水准测量+导线测量

一、概 述

导线测量是平面控制测量的一种方法。所谓导线就是由测区内选定的控制点组成的连续折线,见右图所示。

再也不盲目跑杆了,一次性搞懂水准测量+导线测量

1、导线的形式

再也不盲目跑杆了,一次性搞懂水准测量+导线测量

再也不盲目跑杆了,一次性搞懂水准测量+导线测量

再也不盲目跑杆了,一次性搞懂水准测量+导线测量

2、导线的等级

导线测量的主要技术要求

再也不盲目跑杆了,一次性搞懂水准测量+导线测量

注:1. n——测站数 ; 以测角中误差为单位权中误差

2.高等级公路适用一级导线,其余公路适用二级导线

二、导线测量的外业工作

1、选 点

实地选点时应注意下列几点:

(1)导线点应选在地势较高、视野开阔的地点,便于施测周围地形;

(2)相邻两导线点间要互相通视,便于测量水平角:

(3)导线应沿着平坦、土质坚实的地面设置,以便于丈量距离;

(4)导线边长要选得大致相等,相邻边长不应悬殊过大;

(5)导线点位置须能安置仪器,便于保存。

(6)导线点应尽量靠近路线位置。

导线点之标记图:

再也不盲目跑杆了,一次性搞懂水准测量+导线测量

2、测角

导线的水平角即转折角,是用经纬仪按测回法进行观测的。在导线点上可以测量导线前进方向的左角或右角。

3、量距

导线采用普通钢尺丈量导线边长或用全站仪进行导线边长测量。请参阅有关知识单元内容。

三、导线测量的内业计算

1、坐标计算的基本公式

(1).根据已知点的坐标及已知边长和坐标方位角计算未知点的坐标,即坐标的正算。

再也不盲目跑杆了,一次性搞懂水准测量+导线测量

(2).由两个已知点的坐标反算其坐标方位角和边长,即坐标的反算。

再也不盲目跑杆了,一次性搞懂水准测量+导线测量

需要指出的是:按坐标反算公式计算出来的坐标方位角是有正负号的,因此,还应按坐标增量ΔX和ΔY的正负号最后确定AB边的坐标方位角。

再也不盲目跑杆了,一次性搞懂水准测量+导线测量

2、坐标方位角的推算

为了计算导线点的坐标,首先应推算出导线各边的坐标方位角(以下简称方位角)。

再也不盲目跑杆了,一次性搞懂水准测量+导线测量

180°前的正负号取用:是当α后<180°时,用“+”号;当α后>180°时,用“–”号。导线的转折角是左角(β左)就加上;右角(β右)就减去。

3、闭合导线的坐标计算

再也不盲目跑杆了,一次性搞懂水准测量+导线测量

(1).角度闭合差的计算与调整

再也不盲目跑杆了,一次性搞懂水准测量+导线测量

式中:n ——闭合导线的转折角数;

∑测——观测角的总和。

再也不盲目跑杆了,一次性搞懂水准测量+导线测量

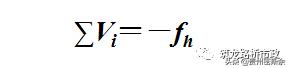
各内角的改正数之和应等于角度闭合差,但符号相反,即∑Vβ= –fβ。改正后的各内角值之和应等于理论值,即∑βi=(n-2)·180°。

(2).坐标方位角推算(如前所述)

(3).坐标增量的计算

再也不盲目跑杆了,一次性搞懂水准测量+导线测量

(4).坐标增量闭合差的计算

再也不盲目跑杆了,一次性搞懂水准测量+导线测量

改正后的坐标增量应为:

再也不盲目跑杆了,一次性搞懂水准测量+导线测量

(5).坐标推算

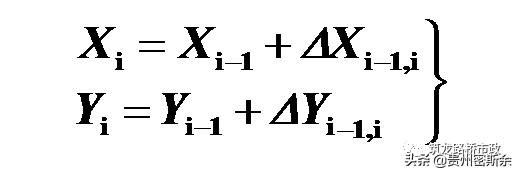
用改正后的坐标增量,就可以从导线起点的已知坐标依次推算其它导线点的坐标,即:

再也不盲目跑杆了,一次性搞懂水准测量+导线测量

(6).闭合导线坐标计算示例

再也不盲目跑杆了,一次性搞懂水准测量+导线测量

再也不盲目跑杆了,一次性搞懂水准测量+导线测量

4、附合导线的坐标计算

附合导线的坐标计算方法与闭合导线基本上相同,但由于布置形式(见下图)不同,且附合导线两端与已知点相连,因而只是角度闭合差与坐标增量闭合差的计算公式有些不同。下面介绍这两项的计算方法:

再也不盲目跑杆了,一次性搞懂水准测量+导线测量

(1).角度闭合差的计算

再也不盲目跑杆了,一次性搞懂水准测量+导线测量

附合导线角度闭合差的一般形式可写为:

再也不盲目跑杆了,一次性搞懂水准测量+导线测量

(2).坐标增量闭合差的计算

再也不盲目跑杆了,一次性搞懂水准测量+导线测量

附合导线坐标增量闭合差的调整方法以及导线精度的衡量均与闭合导线相同。

三、高程放样

一)要点:根据已知高程点,用水准测量的方法进行。

二)逐桩高程计算:

1.纵断面设计成果:

变坡点桩号BPD

变坡点设计高程H

竖曲线半径R

再也不盲目跑杆了,一次性搞懂水准测量+导线测量

一)要点:根据已知高程点,用水准测量的方法进行。

二)逐桩高程计算:

2、竖曲线要素的计算公式:

变坡角ω= i2- i1

曲线长:L=Rω

切线长:T=L/2= Rω/2

外 距:E=T²/2R

纵 距:y=x²/2R

竖曲线起点桩号: QD=BPD - T

竖曲线终点桩号: ZD=BPD + T

再也不盲目跑杆了,一次性搞懂水准测量+导线测量

3. 逐桩设计高程计算 :

再也不盲目跑杆了,一次性搞懂水准测量+导线测量

再也不盲目跑杆了,一次性搞懂水准测量+导线测量

再也不盲目跑杆了,一次性搞懂水准测量+导线测量

四、平面放样

一)根据中线上P点的里程桩号求算坐标

1.P点在直线上

2.P点在圆曲线上

3.P点在缓和曲线上

二)根据求得的P点坐标进行放样

1.在测站A上架设经纬仪、测距仪,整平对中

2.将导线点坐标、路线有关数据输入计算机,运行计算程序

3.后视已知导线点B,配置水平度盘读数至后视方位角

4.根据带放点桩号判断所处平曲线线段,计算放样资料距离和方位角

5.利用角度、距离交会放出待定点

6.精确对点测距,用小铁钉确定该点位置

7.检查该点的桩号、方位、距离是否正确