定积分计算体系详谈内容综述
- 基本方法
- 基本性质
- 基本结论与技巧
- 基本题型(每个类型的特征+解题要点)
- 如何用好题型问题简单谈谈。
- 本次文稿仅作为梳理问题,基于不定积分计算的前提下,希望能给人以帮助,在这一部分就统考的数学而言,个人建议可以借助题型分类,从而可以根据不同类型的题干本身的特征,快速定位题型,进而锁定方法方向,更有针对性解决问题。
要想定积分计算的快,准,易,除不定积分基础外,应当把该背的公式和方法梳理清楚。

定积分计算体系
基本方法
- 2.1 牛顿莱布尼茨公式

图片-02 牛顿莱布尼茨公式
前提条件请自己查。本来原函数存在,与定积分是否存在,但牛顿莱布尼茨公式建立起了两者的关系,给出了:用原函数求定积分的方法。 因此,不定积分计算必然是基础。
- 公式两步走:1.算原函数(不定积分);2.代上下限
- 2.2 定积分的换元法(注意条件,涉及到个别题开根号之后取值正负)

图-03 摘选自《复习指南》
定积分换元法(3换步骤): 1.换元 x=g(t);2.换微元:dx=dg(t)=g'(t)dt; 3.换上下限:x=a,则t=m;x=b,则t=n[一一对应]
- 相比不定积分换元法而言,定积分换元不需要回代,只用把对应的上下限值改掉即可。

图-04 摘选自《同济教材高数》
- 简化定积分换元手法:先凑微分,再平衡系数,将来换微元的时候就不用求导了。

图-05 简化定积分换元的一个手法
- 2.3 定积分的分布积分法

图-06 分部积分法
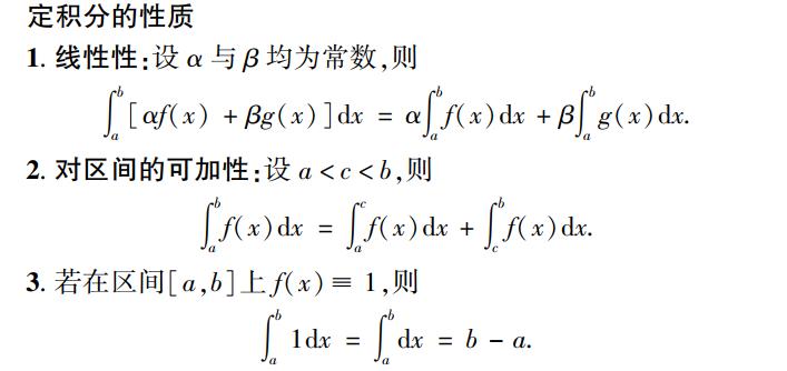
基本性质

07-基本性质

08-基本性质
结论:定积分的值只与积分区间,被积分函数有关,与其积分变量x的记号无关,当被积分函数仅含积分变量,且上下限为常数的时候,其值为一个数K.

09-会识别是个数
此类题的解题要点:识别定积分=K,两边积分构造A=K+BA的等式进而解出A。
基本结论与技巧(背多分)
1.定积分的几何意义(借用熟悉的平面图形的面积来求解)
易错点:定积分与面积的概念是有区别的,经过实测2019考研数学真题求围绕面积的那个大题很多同学上来写错了表达式,甚至看了答案后还不知为何套了绝对值。实则基本概念出现了问题,因此要重视基本概念,定理和结论的前提条件。

10-来自百度文库某位老师的PPT

11-常用定积分几何意义公式
2.对称区间上的积分性质:
要点:1.先看整体以及局部是否具有奇偶对称性,有就用相应的结论 ; 2.没有则转化到正区间看“f(x)+f(-x)” 设其中g(x)=f(x)+f(-x)→先看是否能约分化简;否则再拿去g(x)求导看导数是否为0,若导数为0,则恒为常数g(x)=g(0)(找特殊点)≡K(算常数) 通常考研数学的题,这个点一般会是提出一部分因子,剩余部分要么能化简约分;要么恒为常数找个特殊点算出来;当然再往深一步,就是分部积分法抵消一部分。

12-摘选某书

13-典型例题
3.周期函数,三角函数的基本公式与结论

周期函数
- 华里士公式你会熟练用吗?此外后期的伽马函数你也会灵活用吗?

华里士公式
上述结论要求会证会用,要敏感,证明见同济教材定积分换元部分例题,这一节的例题都是典型例题。
4.要灵活运用分项积分与结合积分,分部积分法

小技巧
基本题型分类(关注:分类的特征+解题要点 )
题型1:基本型:属于大众脸,不特殊的常规性。
识别特征:如何识别呢?排除【下文】特殊几个典型题型,剩余的就是它-基本型。 解题要点: 方向→牛顿莱布尼茨公式, 算原函数,代上下值 方法→凑微分,换元法,分部积分法 前提:不定积分中常见的换元结构要记住。根式etc

牛顿莱布尼茨公式
偶尔可能需要先处理下求出表达式,(符号的运用,整体代换)

例题
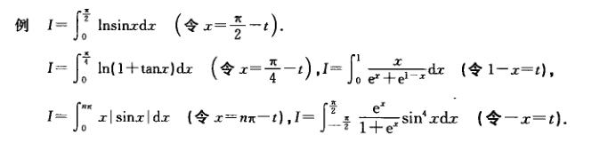
题型2:对称区间类型
典型特征:区间上下限相反数对称→1s就可以识别出来了吧。 解题要点:见前文基本结论部分,

对称区间
题型3:分段函数,|*|,max min,sign
典型特征:形如这类分段函数的特征,我想题干表达式很鲜明的特征,你肯定会识别。 解题要点:形如∫f(g(t))dt,先做变量替换u=g(t)化简,然后从分段点拆分,分段积分。

分段函数
题型4:被积分函数含变限积分函数,且无法积分出来的 或者 被积分函数含有导数类型
要点:借助分部积分法,可对阶数进行升降处理。
类型一:被积分函数含变限积分函数,且无法积分出来.
识别特征:1.被积分函数含有变限积分函数;2.所含变限积分函数不可积分出;
解题要点:分部积分法&二重积分换序【理着口诀换序即可】
能识别出的前提:被积函数,变限积分函数要知道;不可积分函数要积累一些有重要用途。
【注意】是不可积分出来的变限积分函数才用分部或者二重积分换序,能积分出来就算呗。
【题外之话】:部分同学因为改了字母,就不会识别这类型可以看作为二重积分(请查概念) ∫dx∫f(x,y)dy=∫[∫f(x,y)dy]dx,倒着看:要会把先积分部分视为一元中的被积函数.
【重要】分部积分法的要点:先凑变限积分函数之外部分的微分,再用一次分部积分定理,就能把不可积分出来的变限积分函数求导干掉了。(好好看这句话,解题的关键)

仔细看看
常见不可积分的函数有哪些,它们有什么作用呢? 1.在一元积分中出现,由于不可积分,因此暗示你分部积分处理; 2.在二重积分先积分部分出现,由于不可积分,暗示你调换二重积分次序; 亦可:先设不可积分部分为G(x)。 3.以上两种途径均不可解决,那么你放心,必然是题中有相互抵消的部分。

常见不可积分的函数积累
类型二:被积分函数含有导数→方向:分部积分法
典型特征:被积分函数含有导数的定积分 解题要点:分部积分法→把导数部分先凑微分 与上一类题恰好相反。

典型例题
题型5:含周期函数,三角函数是天生的周期函数,别看见三角函数没有冲动,以及结论。
- 典型特征:周期函数,三角函数 sinx cosx
- 解题要点:用好有关的基本结论见前文,取好a=?(证明过程值得借鉴)

周期,三角函数的若干结论
题型6:区间再现型:几乎是超纲的,记住几个典型的。(考的概率很低,了解即可)
特别的∫x|sinx|dx这种再现值得借鉴上述公式的证明。 【心得】:但凡你尝试了其他方法解决不出来的时候,进行不下去,往往就是利用换元法,区间再现来求解。

常见区间再现
题型7.大题考点,含参数积分的定积分。如何讨论,特别是绝对值类型,如何优雅的去绝对值(2次大题)
请详看下图含参数绝对值的定积分,如何分段处理的解决办法。

绝对值
如何用好题型分类?
- 观点:任何时候基本概念,基本定理和基本方法,基本计算是基础和重点。题型只是辅助梳理。
- 当然数学应试就避免不了题型的训练,并且部分经典命题模式已经固定,由此梳理常考的符合命题依据的科学分类的题型解题要点,程序有时候能提升解题速度。
很多人用不好题型的原因,是基于以下几个方面。
1.本来是题型课,可是你们自己做题的时候不会识别,反应不出来是课中那种题型。
2.对应的这类题的解题要点没梳理清楚,就算知道是这个题型,脑子里不知道分几步解,每一步做什么,怎么解,
3.怎么解,是需要相应的基本概念,基本定理和基本方法,以及扎实的基本计算作为依据的。(这里有问题也没办法)
4.独立,刻意重复练习太少,习惯看而不是动笔,过于沉迷视频等。缺乏大量的练习和总结。
- 两个情景的启发:

场景
要用好题型的前提,首先相应的基本功扎实,其次对题型的解题要点要梳理清楚,明确这类题的解题方向和步骤,知道这个题从那个角度切入,分几步解,每一步做什么怎么做。但是这个还得基于一个前提:就是你要能从茫茫题海中识别出这个题是属于见过的那种题型,场景问题中所说M国的人具有肤色的特征特点,其实题型分类往往基于题干条件的一些差别特点,比如对称区间,被积分函数含有变限积分,这些特征我想你只需要1S就能识别出来了吧。考场没有提示,因此平时需要关注这些特征,从那个特征看出来用那个方法,怎么做到“什么时候用什么方法”。微分方程中按类型求解,在此给你把定积分计算也按类型求解,你只要拿到一个定积分计算题,锁定对应的特征,然后根据上文梳理的解题要点去操作,基本考研数学的题是能完美搞定的。
- 举个栗子:

真题训练
- 本来这套体系应该结合我借助一些例题具体的讲解如何使用,那样的话更容易吸收。但是上文已经给了例题展示,目前也没有时间做视频分享。自己琢磨。
- 考研数学一个典型的东西:特征→(定位了类型)→决定:方法
- 并非所有的题型分类都靠谱,只是辅助梳理。关键是梳理清楚思维,个人觉得定积分计算部分可以采用题型分类来学习。上述题型分类和要点,只要你借助一定的题目来训练,我想你可以复制思维,1s钟之内就可以识别出那一种题型,是从而反应出解题的方向。因为特征太明显了。
本文档直接借助了部分资料的截图,再次表示歉意,由于没太多时间来键入公式与文字,但不做任何商业用途,单纯分享,望能理解。