为处理数据的空间相关性和空间异质性而发展的空间计量经济学, 已成为空间数据的标准分析工具, 并开始进入计量经济学的主流。从最初的探索性空间数据分析, 空间计量经济学发展到横截面数据空间计量模型, 进一步再到空间面板模型和空间动态面板模型。对不同类型的数据, 空间计量经济学提供了多种估计方法, 这些方法各有短长。在面板数据的实证研究中, 空间溢出效应的测度特别重要且复杂。该问题通过计算直接效应和间接效应得到了较好解决。空间计量经济学未来的发展将集中于空间-时间交互效应的微观机制研究、与联立方程和贝叶斯估计方法的结合, 以及空间计量软件的完善和发展。
人类的经济活动总是在一定的时间和空间维度上进行, 因此, 经济现象不仅表现出时间上的相关, 而且在空间上也表现出某种程度的相关。例如经济发达地区总是联成一片, 相关或相同产业也倾向于在同一地理空间聚集。产生这些空间交互关系的根源有多种:一是观测数据地理位置接近 (geographical proximity) ;二是截面上个体间互相竞争和合作;三是模仿行为, 同一群体中的个体会模仿特定个体的行为;四是溢出效应 (spillover effect) , 例如地理位置上靠近科研院所及高校可能会增强企业的创新能力; 五是测量误差, 数据一般是按照行政区划统计的, 这种行政划定的空间单位与研究问题的实际边界很可能不一致。
如果所得数据的观测值之间存在空间相关性, 则彼此不能够保持独立。经典的高斯-马尔可夫假设则要求解释变量相互独立。同样, 如果数据中存在空间异质性, 也会违背高斯-马尔可夫假设中的误差项同方差假定。这样, 直接使用标准的计量经济学方法进行估计, 将产生估计偏倚, 需要新的计量方法来处理这种空间相关性和空间异质性。空间计量经济学正是为处理这些空间交互关系而发展起来的。
空间计量经济学 (spatial econometrics) 的概念最早由Paelinck[1]提出, Cliff等[2-3]针对空间自回归模型发展出相应的参数估计和检验技术。Anselin[4]对空间计量经济学做了系统的理论梳理, 提出了一系列空间计量经济学模型的不同估计方法, 奠定了空间计量经济学的基本框架。最近30年, 空间计量经济学获得了巨大发展, 开始从边缘进入计量经济学的主流, 不仅在区域经济学、城市和房地产经济学及经济地理学等传统关注空间的经济学科中成为标准分析工具, 而且在国际经济学、劳动经济学、公共经济学、政治学、资源和环境经济学及发展经济学中也得到了越来越广泛的运用。
1 探索性空间数据分析
判断数据的空间相关性存在与否, 先要进行探索性空间数据分析 (exploratory spatial data analysis, ESDA) 。Anselin[5]提出了探索性空间数据分析的一些基本方法和准则。探索性空间数据分析具体而言就是描述数据的空间分布并加以可视化, 识别空间数据的异常值, 检测社会和经济现象的空间集聚, 以及展示数据的空间结构, 提示现象之间的空间相互作用机制。其核心工作包括空间权重矩阵的构建, 以及全局空间自相关、局部空间自相关的度量与空间关联的识别等。
1.1 空间权重矩阵的设定
空间自相关与时间自相关类似, 但远比后者复杂。这是因为时间是一维的, 只有从过去到未来一个方向, 而空间是多维的, 至少有前、后、左、右4个方向。因此, 在度量空间自相关时, 必须解决地理空间结构的数学表达, 恰当定义空间对象的相互邻接关系。空间权重矩阵的引入, 是进行探索性空间数据分析的前提和基础。如何合适地选择空间权重矩阵一直以来是探索性空间数据分析的重点和难点问题。 设截面个体数量为n, 则建立的空间权重矩阵Wn为n×n的对称矩阵, 其元素为{Wij}, i, j=1, …, n。其中对角线上的元素被设为0, 而Wij表示区域i和区域j在空间上联系的紧密程度。为了减少或消除区域间的外在影响, 以及使得W不再具有量纲, 权重矩阵通常被标准化成行元素之和为1。 空间权重矩阵W的确定, 一般考虑地理空间关联或者经济联系。其中, 衡量地理联系主要通过邻近指标和距离指标。按照这两种方法确定的W为二进制的邻近空间权重矩阵。
1.1.1 基于邻近概念的空间权重矩阵
根据相邻标准, Wij为:

根据Anselin[6], 相邻一般有Rook邻近和Queen邻近2种计算方法。其中Rook邻近定义为仅有共同边界, 而Queen邻近除了共有边界外还包括共同顶点。空间权重矩阵除了一阶邻近矩阵外, 还有更高阶的邻近矩阵。Anselin等[7]提出了高阶邻近矩阵的算法, 比较常见的是二阶邻近矩阵 (the second order contiguity matrix) 。
该矩阵刻画了邻居的邻居的空间信息, 当存在某种空间溢出效应时, 特别有用。例如, 特定地区的初始效应或随机冲击不仅会影响其邻近地区, 而且随着时间的推移还会影响其邻近地区的邻近地区。
可以看出, 邻近空间权重矩阵因其对称性及计算简单而较为常用, 适合于测算地理空间效应的影响。但是, 如果空间单元大小相差悬殊, 则可能导致非常不平衡的邻近矩阵结构。例如, 空间单元的面积相差较大时, 较小地理单元具有较多邻近单元, 而较大地理单元则只有较少邻近单元。这时, K值最邻近空间矩阵 (K-nearest neighbor spatial weights) 就是更好的选择了[6]。一般是选择最邻近的4个单元来计算K值最近邻居权重的大小。当然也可选4个以上, 根据实际情况而定。
1.1.2 基于距离的空间权重矩阵
这种矩阵假定空间相互作用强度取决于地区间的质心距离或者区域行政中心所在地之间的距离, 在实践中也较为常见。Wij的取值取决于选定的函数形式 (比如距离的倒数或倒数的平方等) 。当然, 实际运用中有时还会定义一个门槛距离, 超过了该门槛距离则区域间的相互作用可以忽略不计。
如果输入的数据库中有x、y经纬度坐标数据, 可以通过x、y坐标计算2点 (2个地区的质心) 之间的距离而获得空间权重矩阵。坐标的度量有欧氏距离 (Euclidean distance) 和弧度距离 (arc distance) 2种, 度量坐标系上任意2点间的距离可以通过具有地理坐标 (x坐标、y坐标) 的变量的点来计算。
1.1.3 经济社会空间权重矩阵
除了使用真实的地理坐标计算地理距离外, 还有包括经济和社会因素等更加复杂的权重矩阵设定方法。比如, 可根据区域间交通运输流、通讯量、GDP总额、贸易流动、资本流动、人口迁移及劳动力流等确定空间权重。 尽管二进制的空间邻近权重矩阵并非适用于所有的空间计量经济模型, 但是, 出于实用性, 一般先从空间邻近的最基本二进制矩阵开始, 逐步选择确定空间权重矩阵。关于各种权重矩阵的选择, 由于目前还没有一致认同的完善理论, 故最终还是看结果是否客观和科学。
1.2 全局空间自相关分析
全局空间自相关可以衡量区域之间整体上的空间关联与空间差异程度。MoranI指数、GearyC指数及Getis指数是3个常用的度量空间自相关的全局指标。全局Moran指数是用来度量空间自相关的全局指标, 反映的是空间邻接或空间邻近的区域单元属性值的相似程度, 即测量区域单元的集聚效应, 是否具有相同属性的区域单元在空间上或地理上邻近, 其计算公式为:

式 (1) 中:Xi—区域i经济变量的观测值;X—区域间经济变量的平均数;Zi—对X的离差;Wij—空间权重矩阵W的元素, 用来表示区域i与j的空间邻近关系, 可以根据邻接标准或距离标准来度量。
Moran指数I的取值一般为[-1, 1], 小于0表示负相关, 等于0表示不相关, 大于0表示正相关。 对于Moran指数, 可以用标准化统计量Z来检验n个区域是否存在空间自相关关系, Z的计算公式为:

当Z值为正且显著时, 表明存在正的空间自相关, 也就是说相似的观测值 (高值或低值) 趋于空间集聚;当Z值为负且显著时, 表明存在负的空间自相关, 相似的观测值趋于分散分布;当Z等于0时, 观测值呈独立随机分布。
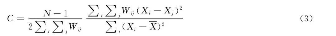
Geary指数的计算公式为:

Geary指数C的取值一般为[0, 2]之间, 大于1表示负相关, 等于1表示不相关, 而小于1表示正相关。Geary指数与Moran指数存在负相关关系。
由于全局Moran指数不能判断空间数据是高值聚集还是低值聚集, Getis等[8]提出了全局Getis指数。Getis指数一般采用距离权重, 要求空间单元的属性值为正, 其计算公式为:

1.3 局部空间自相关分析
全局空间自相关反映在研究区域内相似属性的平均聚集程度, 局部空间自相关则针对这些区域的具体情况进行分析。当需要进一步考虑哪个区域单元对于全局空间自相关的贡献更大, 就必须应用局部空间自相关分析。实际上, 反映空间联系的局部指标很可能和全局指标不一致, 尤其在大样本数据中。
在强烈而显著的全局空间联系之下, 可能掩盖着局部的空间联系趋势和全局的趋势恰恰相反的情况, 这时进行局部空间自相关分析来探测局部空间联系很有必要。
局部空间自相关分析方法包括局部Moran指数、局部Getis指数和Moran散点图3种分析方法。
局部Moran指数也称LISA指数 (local indicators of spatial associations, LISA) , 其计算公式为:

式 (5) 中:Ii—区域的局部Moran指数;其余符号意义同式 (1) 。Ii >0, 表示该空间单元与邻近单元的属性值相似 (“高 -高”或“低 -低”) ;则表示该空间单元与邻近单元的属性值不相似 (“高 -低”或“低 -高”) 。加总的局部Moran指数与全局Moran指数存在某种比例关系。 局部Getis指数的计算公式为:

Moran散点图的4个象限分别对应于空间单元与其邻居之间4种类型的局部空间联系形式:第一象限代表了高观测值的空间单元为同是高值的区域所包围的空间联系形式, 第二象限代表了低观测值的空间单元为高值的区域所包围的空间联系形式, 第三象限代表了低观测值的空间单元为同是低值的区域所包围的空间联系形式, 第四象限代表了高观测值的区域单元为低值的区域所包围的空间联系形式。与局部Moran指数相比, Moran散点图虽然不能获得局部空间聚集的显著性指标, 但是二维图像非常直观和易于理解, 同时还能进一步具体区分空间单元和其邻居之间属于高值和高值及低值和低值、高值和低值及低值和高值之中的哪一种。
2 适用于横截面数据的空间计量模型
如果探索性空间数据分析确实发现了数据的空间相关性, 则需要采用空间计量分析。空间计量模型的构建通常有从特殊到一般和从一般到特殊的2种范式。第一种范式的标准做法通常是从线性回归模型开始, 然后检验是否需要增加空间交互效应。这个线性回归模型一般表示如下:

式 (7) 中:Y—被解释变量的N×1向量;ιN—与常数项相关的N×1单位向量;X—外生解释变量的N×K的矩阵;β—相关的K×1系数向量;ε—随机扰动项向量, ε= (ε1, …, εN) T, 其中εi是零均值、常方差、独立同分布的误差项。线性回归模型通常利用普通最小二乘法 (OLS) 来估计, 因此常称为OLS模型。
即便OLS模型在大多数关注空间交互效应的研究中被拒绝, 其估计结果通常也作为一个基准。
第二种范式是从最一般的模型开始, 一些相对简单的模型可以嵌套其中作为一个特例。从建模的角度看, 空间计量涉及的空间交互关系可以归并为3类:因变量之间的内生交互作用, 自变量之间的外生交互作用和误差项之间的交互作用。这3种交互关系或者交互效应的具体解释如下。
1) 内生的交互效应, 该种效应可以描述为:单元A的因变量y单元B的因变量y。内生交互效应通常设定为空间或者社会交互过程的均衡结果, 其中某单元的因变量是与其他单元的因变量相互决定的。例如在关于地方政府竞争的实证文献中, Brueckner[9]指出, 地方政府的税收水平及公共服务支出水平就是相互影响的。
2) 外生的交互效应, 该种效应可以描述为:单元B的自变量x→单元A的因变量y。可以考虑储蓄率的例子。根据标准的经济理论, 储蓄和投资总是相等的。将全世界作为一个整体, 这毫无疑问是对的。但是对于个别经济体来说, 则未必。资本可能跨境流动, 因此, 个别经济体的投资额并不需要等于它自身的储蓄额。因此, Ertur等[10]认为, 一个经济体的人均收入水平很可能也依赖于相邻经济体的储蓄率。
3) 误差项的交互效应, 该种效应可以描述为:单元A的误差项U单元B的误差项U。误差项的交互效应没有相关的经济理论解释, 可能是由于存在遗漏变量, 而这些遗漏变量可能存在空间相关, 或者是一些无法观测的冲击遵循某种空间模式, 共同影响空间上相邻的区域。 包含这3种交互效应的最一般模型可以表示如下:

式 (8) 中:WY—因变量之间的内生交互效应;WX—自变量之间的外生交互效应;Wu—误差项之间的交互效应;ρ—空间自回归系数;λ—空间自相关系数;θ、β—相应的自变量和空间滞后自变量的系数向量; W—非负的N×N空间权重矩阵。 对包含交互效应的模型现在发展出3种方法来估计。
一种是基于最大似然估计法 (ML) 或者拟最大似然估计法 (QML) , 一种是基于工具变量或者广义矩法 (IV/GMM) , 一种是基于贝叶斯马尔科夫链蒙特卡洛方法 (MCMC) 。
QML和IV/GMM在理论上的一个优点是它们不依赖于随机扰动项的正态性假定。Anselin[4], Lee[11], Kelejian等[12]和Lesage等[13]给出了这些方法及其应用的更加详细的技术细节说明。 从技术上讲, 对这3类交互效应的模型进行估计, 并不存在障碍。然而, 困难在于, 参数估计出来后很难给予有意义的阐述, 因为这3类效应在实践中很难相互区分。
Lee等[14]证明至少存在一个空间权重矩阵可使得包含3类交互效应的模型的参数都估计出来。他们考虑了G个组, 每组包含Ng个横截面个体, 满足估计要求的空间权重矩阵可设定为Wij=1/ (Ng-1) , 如果单元i和单元j属于同一个组, 否则为0。但对于其他设定的空间权重矩阵是否可行, 则存在疑问。因此, 对于一般的外生给定的空间权重矩阵, 常见的做法是估计这个最一般模型的简化版本:空间滞后模型 (spatial lag model, SLM) 只包含第一种空间交互效应;空间误差模型 (spatial error model, SEM) , 只包含第三种空间交互效应;空间杜宾模型 (spatia Durbin model, SDM) , 同时包含第一和第二种空间效应。三者当中空间杜宾模型更具综合性: 当θ=0时, SDM退化为SLM。当θ+ρβ=0时, SDM退化为SEM。
至于这3种模型如何取舍, LeSage等[13]指出, 相比忽略误差项的空间效应, 忽略因变量及自变量的空间效应成本将更加高昂, 因为前者相当于遗漏了解释变量, 会造成估计的偏误和不一致, 而后者仅仅导致估计效率的损失。鉴 于此, Elhorst[15]建议, 比较稳健的做法是将因变量和自变量的空间效应考虑进去, 而排除误差项的空间效应, 即先估计空间杜宾模型, 然后再通过瓦尔德检验 (Wald test) 、似然比检验 (LR test) 或者拉格朗日乘数检验 (LM test) 来检验2个假设:H0∶θ=0和H0∶θ+ρβ=0, 看SDM是否可简化为SLM和SEM。3种检验是近似等效的。
3 适用于面板数据的空间计量模型
近年来, 空间计量研究更多地转向了空间面板估计。这一部分是由于面板数据可得性的增加, 另一部分则是面板数据相比横截面数据, 确实给予了研究者更大的建模空间。面板数据通常包含更多信息, 拥有更大的变动度及更少的多重共线性。因此, 运用面板数据可以得到更大的自由度, 从而大大增进估计效率。面板数据还可以允许更加复杂行为的设定, 包括种种在纯横截面数据中无法得到的效应。比如要区分规模效应和技术进步对企业生产效率的影响。Baltagi[16]指出, 对于横截面数据而言, 由于不存在时间维度, 无法观测到企业的技术进步, 所以无法将技术进步这个因素从规模效应中分离出来;但是面板数据可以很好地解决这一问题。 将每一项都加上时间下角标t (t=1, 2, …, T) , 可以很方便地将式 (8) 拓展到相应的面板:

将这些数据混合起来, 仍然当作横截面数据一样来估计, 只不过数据规模从原来的N扩大到NT而已。但这样做相当于忽视了数据本身存在的空间和时间异质性, 估计结果是有偏的。 空间单元往往在背景变量上是不同的, 这些背景变量通常在空间上是特定的而在时间上是不变的, 而且很难被测度。这样的例子很多:一个空间单元位于海边, 其他的在边界;一个空间单元位于边远的农村, 其他的位于中心城市等。
不考虑这些背景的差异, 极有可能得到有偏的估计。
一个补救方法是引入截距项μi, 以此代表那些与特定空间单元相联系的遗漏变量的总效应。同样, 时期异质性的例子也很多:某一年份处于衰退期, 另外的年份处于繁荣期;某一年份出台了某项重大政策等。这时就需要引入时期效应来控制那些与特定时期有关的总效应。总之, 个体效应控制的是时间上不变的变量, 其遗漏可能导致横截面估计的偏倚;时期效应控制的是空间上不变的变量, 其遗漏可能导致时间序列估计的偏倚。 将这些个体和时期效应纳入后, 式 (9) 拓展为:

式 (10) 中:μ= (μ1, …, μn) T 个体和时期效应可处理成固定效应或随机效应。在固定效应模型中, 通常为每个空间单元和每个时期引入虚拟变量 (当然需要避免完全多重共线性) 。在随机效应模型中, μi和ξt被处理成具有零均值、常方差及独立同分布的随机变量。另外, 还必须假定μi, ξt和εit彼此独立。 静态空间面板模型的估计比较完备的讨论见Elhorst[15,17]及Lee等[18]。Elhorst[15,17]将空间滞后和空间误差模型的ML估计拓展到包含固定效应或随机效应的空间面板模型。值得注意的是, 空间杜宾模型也可视为空间滞后模型来估计, 只不过是用[XWX]来代替[X]而已。然而, Lee等[18]认为:如果横截面数目N较大而时间T较小, 则Elhorst[17]对空间滞后模型的最大似然估计方法将产生误差项方差σ2的不一致估计。为此, 他们提出了一个简单的误差修正程序。Elhorst[19]采用了这个误差修正程序, 并提供了针对面板数据的空间滞后模型以及空间杜宾模型的Matlab程序的修正版。该程序可在www. regroningen.nl/elhorst上免费*载下**。
4 空间动态面板模型
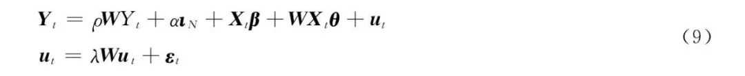
动态模型可以将变量的时期相关性也容纳进去, 方便进行更加复杂的设定。为了使得空间面板模型动态化, 增加Yt和WYt的时间滞后项, 从而得到:

该模型被Debarsy等[20]称为空间动态杜宾模型。类似地, 还可以考虑增加Xt和WXt及误差项ut和Wut等的时间滞后项。但根据Anselin等[21]研究结果, 这样一个最一般化的空间动态面板模型是不可识别的。Elhorst[22]提出为解决不可识别问题必须给出一些限制:
1) 要么令θ=0, 以排除外生交互效应 (WXt) ;
2) 要么令ρ=0, 以排除同期的内生交互效应 (WYt) ;
3) 要么令η=0, 以排除滞后的内生交互效应 (WYt-1) ;
4) 要么令η=-τρ, 化简后方程左边保留Yt-1 (动态因素) 和外生交互效应 (WXt) 。
总之, 每个限制条件可以保证至少排除一种交互效应。 在基于最大似然估计或者拟最大似然估计方法的研究中, Yu等[23]对包含个体效应的动态模型 (Yt-1, WYt和WYt-1) 构建了误差修正估计。
Lee等[24]将其拓展到包含时期固定效应。一些利用IV/ GMM的研究主要基于Arrelano等[25]和Blundell等[26]的工作。Elhorst[27]拓展了Arrelano等差分GMM估计以纳入内生交互效应, 发现这种估计存在严重偏误, 尤其是在对WYt的系数ρ的估计上。Lee等[28]对此提出了解释。他们发现Arrelano等差分GMM这类两阶段最小二乘估计量主要利用了Yt-1, WYt-1, Xt和WXt的滞后值, 利用了太多条件矩而趋于非一致估计, 而且主要的偏误来自于WYt的内生性而非Yt-1。为避免这些问题, 他们提出了基于线性条件矩的最优GMM估计, 并证明当T相对小于N时, 这个GMM估计是一致的。Parent等[29-30]指出贝叶斯马尔科夫链蒙特卡洛方法某种程度上可以简化计算, 具体操作上他们将每个个体的初期视为内生, 利用Bhargava等[31]的逼近法来处理。这种对初期的内生化处理特别重要, 特别是在T相对较小时。
5 直接效应和间接效应的估计
空间溢出效应存在与否是众多实证研究关注的焦点, 大多采用点估计的设定形式来检验该效应。LeSage等[13]的一个重要贡献是发现这样做可能导致错误结论, 而采用偏导数式的形式则可能为该假设检验提供更加坚实的基础。 将空间动态面板模型 (11) 整理后写成:

式 (12) 中:R—包含截距项和误差项的余项。 因变量在特定时点对第K个自变量从单元1到单元N的偏导矩阵可以写成:

这些偏导数代表了短期内在特别空间单元的某个特定变量的变化对所有其他空间单元的因变量的效应。类似地, 长期效应可以用下面的公式计算:

LeSage等[13]及Debarsy等[20]定义直接效应为式 (13) 或式 (14) 右边矩阵主对角线上元素的平均值, 主要用于检验某个特定自变量是否对本地区的因变量具有显著影响。间接效应则是该矩阵所有非主对角线元素的平均值, 要用于检验是否存在空间外溢效应。计算结果与时间下角标是独立的。
6 展 望
由于经济一体化及经济全球化是大势所趋, 经济体之间的相互影响越来越深。相应地, 经济数据的空间相关程度只会越来越高。所以, 对涉及空间或距离的任何经济数据的处理, 都必须考虑及处理这种空间交互效应。空间计量经济学未来的突破及发展, 笔者认为可能集中在以下方向上。
6.1 对空间交互及空间-时间交互效应的微观机制的研究
目前, 已经有比较多的方法来判断是否存在各种交互效应, 但这些交互效应具体是如何形成的, 人们知道得很少。对交互效应形成的微观机制的深入理解, 有助于更好地进行各种交互效应的设定, 以及空间权重矩阵的设定。
6.2 空间权重矩阵的选择及其有效性检验
目前, 空间权重矩阵的设定大都基于作者的主观判断, 没有评判标准, 这可能造成同样的数据因为空间矩阵设定不同而估计结果不同。此外, 不合适的空间矩阵可能导致模型的错误设定, 导致参数估计严重偏离真实值。因此, 如何准确设定空间权重矩阵, 以及检验其有效性是空间计量经济学未来的重要方向之一。
6.3 空间联立方程组的理论研究
目前, 大部分空间计量模型都是单方程模型, 很少有研究者分析结构性空间变量的内生性问题。Rey等[32]给出了空间联立方程模型的一个系统框架。基于他们的工作引发了一系列的研究。
6.4 贝叶斯空间估计的研究
基于主观概率的贝叶斯估计提供了与经典估计不一样的思路, 在某些设定下比最大似然估计的效率更高。贝叶斯方法与空间计量的结合是目前的热门方向。
6.5 空间计量软件的发展
高维的空间交互效应的存在, 尤其是当N较大时, 极大地增加了估计的计算量。由于空间计量是最近发展起来的, 相应的计量软件发展比较滞后。幸运的是, 已经开始有一些研究者如LeSage、Elhorst、Debarsy及Bivand等[33]利用Matlab或者R开发出一些相关的程序。然而在比较常用的计量软件如stata、eviews中, 目前还比较缺乏这类程序包, 仅仅有一些零星的个别命令来估计空间计量模型, 这是利用空间计量做实证的比较大的限制。笔者相信, 随着空间计量软件的不断开发和完善, 空间计量将得到更多的运用。