
坐标系构成
数控车床采用平面坐标系,由控制直径方向的X轴和长度方向的Z轴垂直交叉构成,交叉点为编程零点。零点把两轴分成4个半轴,其中X下半轴与Z右半轴为正轴,向这两半轴运动为正向。X上半轴与Z左半轴为负轴,向这两半轴运动为负向。

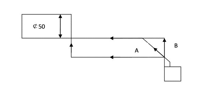
编程零点的选择
有两种方式:一,零点设置在工件端面上,如A图;二,零点设置在卡盘端面上,如B图O

(A) (B)
在切削过程中,刀尖不过中心X向为正数,如A图:,工件端面为Z0,
中心为X0为编程零点
如B图:卡盘端面为Z0, 工件中心为X0为编程零点。
程序的构成

例:O115,(此为程序名, 字母O加四位数)
M03 S800 T0101
G00 X50 Z1
G01 Z-100 F0.1
G00 X100 Z100
M05
1, S表示转速,如需500转,编S500。
2, T表示刀具,如T0101,前面01为刀具号,后面01为刀补号。
3, M表示辅助功能:M03主轴正转,M04主轴反转,M05主轴停止,
M08冷却开,M09冷却关,M00程序暂停,M30程序结束。
4, G表示准备功能。
5,F表示进给率,在G98时表示分进给,G99时表示转进给。
准备功能

1,快速移动G00
使用场合:快速进刀与快速退刀,空运行的情况下
指令形式:G00 X__ Z__
在G00 X__:情况下,表示X轴运动,Z轴不运动。
在G00 Z__:情况下,表示Z轴运动,X轴不运动.
在G00 X__ Z__:情况下,表示双轴联动,此时为斜线运动,运动规律先按45度运动,然后走剩余轴的剩下尺寸。
C

A线路:G00 X50 Z0
B线路:G00 X50
Z0
C线路:G00 Z0
X50
2, 直线插补 G01
用于直线加工,如车端面、外圆、锥度等。
指令形式: GO1 X__ Z__ F__
G01 X__ F__ 加工端面方向形式
G01 Z— F__ 加工外圆内孔方向形式
G01 X__ Z__ F__ 加工锥度形式
车端面:
G00 X32 Z0
G01 X0 F120




¢30




车外圆:



G00 X35 Z2
¢35

G01 Z-80 F120





80

车锥度:






G00 X25 Z2
¢25
¢38





G01 Z0 F200




X38 Z-45 F120


45


¢30


倒角 1×45

G00 X28 Z1

G01 ZO F200
X30 Z-1 F120
车锥度时,刀具一定从起点向终点双向切削。

3,圆弧插补 G02 G03
用于加工外圆与内孔的圆弧。
G02 顺时针圆弧 G03 逆时钟圆弧

















`
G02 G03
平轨前置刀架则相反
指令形式:G02/G03 X__ Z__ R__ 半径法
G02/G03 X__ Z__ I__ K__ F__ 圆心矢量法
R 表示圆弧半径 I 表示X向矢量 K 表示Z向矢量
I/K= 圆心尺寸-起点尺寸 X,Z 圆弧终点尺寸
R15




车圆弧
G00 X0 Z2
G01 ZO F200
G03 X30 Z-15 R15 F100
或 G03 X30 Z-15 I0 K-15 F100
注:精车圆弧,要从圆弧起点向终点切削。
顺逆时针指的是起点向终点加工时的时针运动方
4, 加工螺纹G32
指令形式:G32 X_ Z_ F/I_
F:表示公制导程, I:表示英制每英寸牙数



S800 T0303




G00 X23 Z3

M20×1


G00 X19G32 Z-31 F1






G00 X23




Z3
30
X18.9G32 Z-31 F1
32


G00 X23Z3
5,攻丝 G33
指令形式:M __ ------------ 主轴正反转指令
G33 Z__ F/I__ L__
F/I:表示同G32 L: 表示头数
攻丝完后主轴停止需再启动主轴
6, 暂停 G04
表示停顿时间,在规定时间达到后,自动执行下程序。用于升降速时
和切槽时。
指令形式:G04 X_
X:表示秒数,如 G04X2 表示停2秒
7,恒线速G96 G97
加工要求表面光洁度均匀时使用。
G96表示恒线速应用,G97表示恒线速取消
指令形式:G96 S__ S表示线速。
G97 S__ S表示转速。G96用于精加工前,G97用于精加工后
注:G96进给率为转进给
8,限最高转速G50
指令形式:G50 S__ 配合G96使用,限制G96最高转速
限制G96恒线速的主轴转速。
9,进给方式 G98 G99
G98时表示进给方式为每分进给,F100为100毫米∕分钟
G99 时表示进给方式为每转进给,F0.1为0.1毫米∕转

系统初始状态默认为G98。
10,刀尖半径补偿
用于使用R刀具加工圆弧,且弧度要求比较高时

G40刀尖半径补偿取消 用于精车后

G41刀尖半径左侧补偿


G42刀尖半径右侧补偿 用于精车前

沿刀具加工方向,刀具在工件左侧为左补偿,刀具在工件右侧为补右偿
平床身车床则相反。
注:使用刀尖半径补偿加工圆弧时,必须在加工圆弧前直线加工指令时到达圆弧起点前就开始补偿,否则弧度不准。
11,螺纹循环G92
指令形式:G92 X_ Z_ R_ F/I_ L_
R:表示起点直径与终点直径的半径差 F/I:同G32 L:表示头数
例1:M30×1.5外螺纹,长度30mm
T0303 S600
G00 X33 Z3----- 定位
G92 X29.2 Z-30 F1.5
X28.7
X28.5
X28.4
G00 X100 Z100
例2:起点直径25,终点直径30,长度40,英制11牙 。
T0303 S600
G00 X33 Z3----- 定位
G92 X29.2 Z-40 R-2.5 I11
X28.7 I11
X28.5 I11
X28.4 I11
G00 X100 Z100
12,内径、外径粗车循环G90
指令形式:G90 X_ Z_ R_ F_
R:表示起点直径与终点直径的半径差
例:外径¢50的工件加工至¢30,长度50mm
T0303 S600
G00 X51 Z1----- 定位
G90 X45 Z-50 F100
X40
X35
X30
G00 X100 Z100
13,端面粗车循环G94
G94 X_ Z_ R_ F_
例:外径¢50的工件端面加工3mm
T0303 S600
G00 X51 Z1----- 定位
G94 X0 Z-1.5 F80
Z-2.5
Z-3
G00 X100 Z100
加工程序例
M03 S800 T0101
GOO X30 Z0
G01 X0 F100
G00 X17 Z1
G01 Z0 F0.2
X20 Z-1.5
R5
Z-30








G03 X30 Z-35 R5



G01 Z-40









G02 X40 Z-45 R5
M20×1
40
G01 Z-55

G00 X100 Z100





T0202 S600
G00 X23 Z3




X19
G32 Z-29 F1









G00 X23
10 15
30
Z3X18.8
G32 Z-29 F1
G00 X23
X100Z100
M05
M30
广数980操作:
程序的输入:按编辑→按程序→在地址中输入程序名Oxxxx→按EOB→进入该程序的空白页面→键盘输入程序→每输入一段按EOB分段
程序的选择:按编辑或自动→按程序→在地址中输入需调用的程序名→按下光标
程序的修改:用插入键把遗漏的插入,每次插在光标后。
用修改键把错误的改正。
用删除键把多余的删除。
图形验证: 点两下设置键进入,980TA1---上下页键进行图形参数与绘图的转换
980TDb不需要。
S键开始制图,T键停止制图,R键删除图形
自动方式,按机床锁住键锁住机床,启动程序制图。
对刀步骤: 首先回机械零点
X轴对刀:手动→刀具在工件的外径或内经加工一刀→沿工件的表面退出→停止→按刀补→下页到100~107对刀画面→光标移至对应刀补号→在地址中键入X为所测量的直径尺寸→按输入
Z轴对刀:手动→刀具在工件的端面加工一刀→沿工件的表面退出→停止→按刀补→下页到100~107对刀画面→光标移至对应刀补号→在地址中键入端面为Z0→按输入
如有第二把、第三把刀具重复以上步骤,不同的是Z轴对刀在第一把基准刀加工过的端面轻碰即可不要加工
修改尺寸: 在刀补的001—007刀补画面修改,U轴为直径,W轴为长度。
如加工后直径大0.02mm,光标移至对应刀补号,在地址中输入U-0.02按输入
980TDb 不分刀补画面和对刀画面,X、Z 进行对刀,U、W 进行修改尺寸。
加工工件的过程:1、输入 2、检查修改3、选择调用 4 图形 5、对刀
6、试加工:需自动、单段、快速倍率降至25%特别第一步,
看一下程序清楚下一步程序该做什么,然后启动加工。
7、修改尺寸
编程的基本方法:
首先定加工工艺、刀具加工的步骤
1、考虑刀具停在什么地方
2、考虑机床、刀具应该做什么工作
3、考虑该工作选择什么指令完成
4、考虑X、Z轴尺寸应该如何编辑,单向还是双向编辑完毕后模拟比画程序的加工轨迹,清楚自己的程序是如何加工的