来源:Hanson临床科研
作者:王宇歌博士
新型冠状病毒(SARS-CoV-2)继续在全球快速传播,尽管疫苗研发正在加速,但仍可能得需要年底才能有结果、大众2021年才有可能接种上。
面对每天新增40万人感染、3-6千人病死的COVID-19现状,除了积极预防,医生科学家仍然将目光投向潜在治疗药物上。
对于病毒感染,比较理想的治疗方案是:早期给予抗病毒+单克隆抗体。
瑞德西韦(Remdesivir)因为其抗冠状病毒的特性,而被赋予极大期待,成了最初的“人民的希望”。但随着更多研究结果的公布,人民对于瑞德西韦越来越失望。世界卫生组织刚刚公布的结果则显示,WHO组织的研究中瑞德西韦无效。

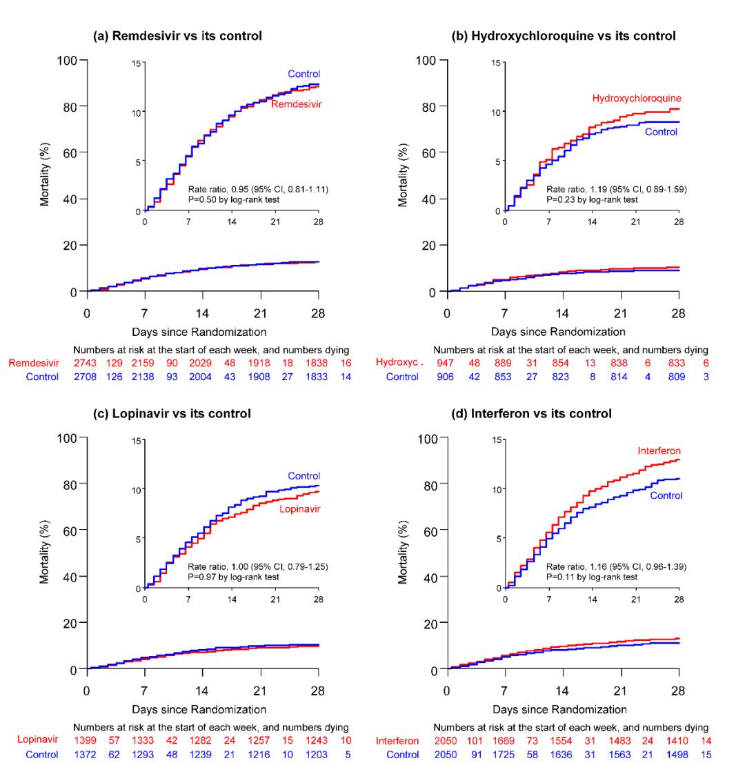
2020年10月15日,世界卫生组织(WHO)在medRxiv上传了非常关键的SOLIDARITY临床试验结果(NCT04315948),立即引起了全世界关注和大量媒体报道。
这个临床试验是目前全球规模最大的用于评估COVID-19治疗方法的临床试验,一共在30个国家的405家医院招募了11,266名COVID-19住院患者。其中2,750人应用瑞德西韦,954人使用了羟氯喹,1,411人使用了HIV蛋白酶*制剂抑**洛匹那韦,651人使用干扰素+洛匹那韦,1,412人仅使用了干扰素,4,088人为标准治疗对照。
主要研究结果
研究*共中**1,253人死亡。研究根据每个试验药物划分了相应的对照。瑞德西韦组303人死亡,病死率为11%,相应的对照组为11.2%(p=0.5)。
羟氯喹组为11%,相应的对照为9.2%。洛匹那韦为10.6%,相应的对照组为10.6%。干扰素为11.9%,相应的对照组为10.5%。

来源:原文图2
包括瑞德西韦在内的四种试验药物,均不能降低COVID-19病死率;另外,这些试验药物均不能减少机械通气(插管)率,也不能缩短住院时间。
该文目前投稿到医学顶刊新英格兰医学杂志(NEJM)。
尽管结果令人失望,但是医学科学家普遍称赞该研究,因为其有助于澄清目前模糊的治疗药物。
世卫组织首席科学家Soumya Swaminathan说:
“我们希望拥有一种有效的药物。但首先要知道这一药物是否有效,而不是不知道却继续使用它。”
惠康基金会(Wellcome Trust)主任杰里米·法拉尔(Jeremy Farrar)说:“RECOVERY和SOLIDARITY试验已经给出了临床治疗的标准,为临床提供清晰的答案,”
这些试验对于临床的指导价值也就在于此。
在世卫组织公布本结果之前,英国牛津大学的RECOVERY研究已经证实,羟氯喹和HIV药物利托那韦/洛匹那韦治疗COVID-19无效。因为英国研究结果的科学及严谨性均非常高,所以在世卫组织公布自己的结果之前,就已经决定将这两个药物从治疗建议中删除。
但人们仍然寄希望于瑞德西韦和干扰素-β,后者最初与利托那韦/洛匹那韦合用,在牛津的RECOVERY公布结果之后作为独立药物进行试验。
但是,世卫组织的试验结果戳破了人们的最后一点点期望。
尤其是瑞德西韦,在美国的研究中,瑞德西韦治疗组的恢复时间比对照组更短,尽管两组间病死率没有差异。
由此,瑞德西韦于5月份获得美国食品和药品管理局(FDA)的紧急使用授权,用于治疗重症COVID-19患者,后来扩大到所有住院患者。
就在世卫组织公布结果之前的10月8号,欧盟委员会因为欧洲COVID-19第二波疫情而向生产瑞德西韦的美国吉利德科学公司订购了50万疗程的药物,价值达10亿美元。
有个细节特别值得注意:根据世卫组织称,WHO于9月28日就把SOLIDARITY试验结果告诉了吉利德公司。意味着吉利德公司在达成欧洲10亿美元的交易之前,就已经知道了这一无效的结果;只是不知道吉利德公司当时有没有向欧盟公开这些资料。
不仅如此,在世卫组织公布其结果后,生产瑞德西韦的吉利德公司立即发表了声明,认为这项多中心的开放标签临床试验没有严格的入组标准,却追求最大程度给予患者试验用药,因此设计缺乏严谨性。
多么相似的情节。
在今年4月,世卫组织在其网站"不慎泄露"了瑞德西韦治疗COVID-19无益处的中日友好医院Lancet文章草稿。当时吉利德公司也立刻进行了反驳,驳斥这些研究不规范。
而吉利德公司一些自认为“更科学”的小动作,却更让人困惑、甚至嗤之以鼻。

扩大样本量,确实可能会有统计学差异。但是,这种统计学上的差异,放在临床上,有多大效果?
实际上,作为抗病毒药物,越早用药、效果越好。
COVID-19患者出现症状时,已经是感染3-5天时。而目前世卫组织的研究中,瑞德西韦是用于住院患者的治疗;即使瑞德西韦真能抑制新冠病毒,到了住院阶段,又有多大效果呢?
#超能健康团# #医师报超能团#
免责声明: 所有转载文章系出于传递信息之目的,且明确注明来源和作者,不希望被转载的媒体或个人请与小编联系进行处理,版权归原作者所有。我们对所转载文中的观点保持 中立 ,不对文章观点负责。