
近日,小米“斥资200万并用时三年以磨平棱角”的新logo,制造了又一个茶(hua)余(shui)饭(mo)后(yu)的欢乐话题。

小米新旧logo对比 图 | 微博
有网友直接上动图表示,在旧 Logo上加一行简单代码「border-radius: 19px;」,秒变新logo:

一行代码后变为直角圆角的小米logo 图 | 微博
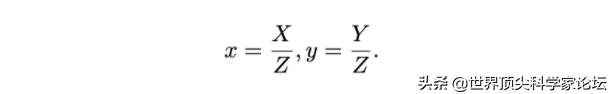
而原设计师、日本“平面设计界教父”原研哉则在视频中提到,基于小米对品牌对“科技与生命的关系”的探讨,团队秉持“Alive”的设计理念,并通过一个数学方程来实现了这个理念,即:

最终,他们选取了n=3这个参数,通过计算机最终绘制成了现在的外形。 图 | 微博
为此,我们连线了80后复旦大学数学图论研究员吴河辉 ,聊了聊他身为数学家,对小米新logo,以及数学之美的感受。
1. 直角圆角和曲率圆角的呈现,是天壤之别
“(小米的logo背后)是一个很美很简洁的公式,而通过计算机,只需要一个语句就能实现,并画出完美、平滑的曲线图形。”吴河辉评论道。小米新logo并非如上述网友代码所展示的直角圆角,而是曲率圆角,两者有着天壤之别。
视频里的这个方程最早可以追溯到来400年前的费马大猜想,即:

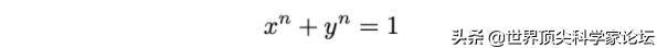
上述方程中,当n是一个大于2的整数时,没有正整数解。(这个猜想在1994年由普林斯顿大学的怀尔斯(Andrew Wiles)所证明,如今也称为了费马大定理。)如果将变量进行替换:

则得到了一个眼熟的式子:

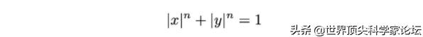
这个式子的曲线被称为费马曲线;原研哉设计里的曲线,为变量增添了绝对值条件,即:

这个曲线被称为超椭圆曲线(亦称拉梅曲线),也就是原研哉认为介于正方形和圆形之间的美丽形状,与我们 通常以为的直角圆角(即上面动图里的代码所切圆角)有着本质区别 。
比起普通的直角圆角,这个根据公式、利用计算机绘制出来的曲率圆角,更加灵动、均衡、平滑、优美。

直角圆角与超椭圆曲线绘制的连续边缘曲率圆角对比 图|inNeed

直角圆角与超椭圆曲线绘制的连续边缘曲率圆角 图|sohu.coma416527912_463970
因此,原研哉说,这是一种生命感,如同星球的律动、少女的微笑、绽放的花朵。

live 图|微博
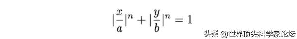
实际上,超椭圆各类设计中经常出现,利用的是更一般属性的超椭圆公式:

有着不少精美的设计成果,例如墨西哥阿兹特克体育场:

墨西哥阿兹特克体育场 图|ssports
餐具和居家用品:

超椭调味瓶和花瓶 图|已知Studio
以及字体:

著名计算机程序员Donald Knuth用椭圆和超椭圆设计的Computer Modern字体 图|维基百科
1994年 菲尔兹奖得主、世界顶尖科学家协会会员埃菲·杰曼诺夫 (Efim Zelmanov)在去年的第三届世界顶尖科学家论坛“数学之美——世界顶尖科学家数学峰会”上曾说:“ 数学可以说一半是艺术,一半是科学,对无论是处于数学界之内的人,还是之外的人,都是这样。 ”小米的新logo,是一份来自数学世界的跨界简约之美。
2. “这些简洁漂亮的命题,它必须是真的”
吴河辉同时也是上海数学中心青年研究员,博士毕业于美国伊利诺伊大学,师从国际著名的图论专家Douglas B. West教授。
“数学最有魅力的就是它的简洁自然,以及对极致的追求。”他说。“数学的美支持着我在学术的道路走下去,也是我在研究的黑暗森林里探索的指明灯。”

吴河辉 图|受访者本人供图
吴河辉研究的图论是 离散数学的一个分支 。这里的图指的是若干给定的点及连接两点的线,这种图形通常用来描述某些事物之间的某种特定关系,用点代表事物,用连接两点的线表示相应两个事物间具有这种关系。例如人际关系图,每个点代表一个人,之间的连线代表着两人认识。

人际关系点图 图|jianshu
“数学来源于生活中遇到的问题,把这些问题抽象化之后,我们这些搞数学的人就兴奋起来了,”他笑道,“例如,大城市里如何安排物流最省时省力呢?这就要利用图论领域的研究了。”如今图论与计算机领域的关系十分密切,从算法的底层逻辑到大数据神经网络,都有图论研究的重要贡献。“就在昨天,有‘数学界诺贝尔奖’之称的阿贝尔奖,就颁发给了一位离散数学家,和一位涉及图论的计算机科学家。”

左:匈牙利数学家拉兹洛·洛瓦兹,右:以色列计算机科学家艾维·维格森
在数学的世界,那些知名的猜想、命题,也都是最简洁的描述。
他举了个例子。在图论领域有个赫赫有名的世界近代数学猜想——与前文中提到的费马大猜想齐名,即“四色猜想”:任何一张地图,仅用四种颜色就可以区分所有国家。“五种颜色不难证明,而三种颜色不够。那四种颜色够不够呢?难道不好奇吗?我们追求的就是这个极致,这是我们的一个本能,哪怕差了一也不行。”

四色地图 图|百科
他还举了数论领域近年孪生素数猜想的证明进展,即“存在无穷对素数,其相差为2(即孪生素数)”,例如11与13。从2013年的突破性证明“存在无穷多对素数,其差小于7000万”,到跟随其研究的数学家们证明“存在无穷多对素数,其差小于246”,这项活动一直在进行,“他们的目标就是一定要达到证明‘相差为2’。”相对于名利,更多的是好奇心和对极致的追求,驱使着数学家们想要去改进它、证明它。
在数学世界里,“这些简洁漂亮的命题,它必须是真的。”这是吴河辉博士面对他研究的数学难题所持有的信仰。四色猜想随着计算机的发展在1976年被证明,而孪生素数猜想的研究也从未停止。
3. 数学的美,也是坚守的理由
然而,他也并非未曾动摇。“数学研究是一个漫长的过程,你不能有确定的预期。在真正出结果之前,要忍受长期的煎熬,以及其它诱惑。”他说。
在美国留学期间,他遇到了2008年的全球金融危机。“在那之前周围不少人都转了金融数学,然后去华尔街赚钱了。虽然我也有犹豫,最后还是选择留在了现在的领域”,他回忆道,“实在是被数学的美所折服,宁愿以纯粹的好奇心作为驱动,去踏实钻研那些好玩的数学问题。”他笑道,“留在数学领域的,都是真心喜爱数学的人。对于我来说,这样的人生更有趣一些。”

数学之美 图|art.ifeng.com
据了解,如今国内的基础科学环境在逐步提升,从事这方面研究的科研人员待遇也变得更好。“生活有了不错的保障,数学也不再是一个‘贵族学科’,能让研究者更加心无旁骛。”
罗素曾说:“数学,如果正确地看它,不但拥有真理,而且拥有至高的美。”
吴河辉也表示:“数学这么美,让我相信这个世界也是美好的。”
人物卡

吴河辉,上海数学中心青年研究员,2011年获得美国伊利诺伊大学博士学位,导师为国际著名的图论专家Douglas B. West教授;2011-2013年、2013-2014年分别在麦吉尔大学、西蒙弗雷泽大学做博士后研究;2014-2016年于密西西比大学担任助理副教授,并于2016年由国家高层次人才计划引进回国工作,2019年入选上海市曙光学者,同年作为首位中国学者受邀在欧洲组合大会做大会报告。主要研究结构图论,极值组合,以及算法和最优化问题,证明了1976年的Fouquet-Jolivet 猜想,关于列表染色的Ohba猜想,以及Kalai-Meshulam猜想等数学难题。

延伸阅读
1.奖金575万!数学界“诺奖”揭晓
2.专访|顶尖数学家哀叹:有才华的年轻人不愿意成为数学家!
3.清华“丘赛”失利丘成桐震怒?“赢家”北大也在忧心数学人才培养