■ 前言
在博文 AD5933不同频率下转换结果[1] 中分析了 AD5933阻抗变换模块 使用内部时钟(fosc=16.776MHz)时,测量结果受到采集时间窗口的影响,所能够达到的最低阻抗激励正弦信号频率。
那么,在有些应用中,对象的带宽和工作频率会很低,那么如果能够使用AD5933对这些对象进行测量呢?
虽然,AD5933内部的DSS(数字信号合成 )器可以输出很低的频率,但受到前面提到的数据采集窗口的窗口的影响,所以还是不能够使用。
一种可行的方式就是利用AD5933外部时钟,来降低内部ADC采样的频率,从而可以有效扩大数据采集时间窗口,减少因为 频谱泄漏[2] 对于测量结果的影响。
- [ ] 通过实验验证MCLK对于AD5933的影响
- [ ] 验证AD5933究竟是否可以达到很低的分析能力?

01使用STC8G1K08的T0输出脉冲信号[](实验STC8G1K08 Keil工程文件:C51\STC\Test\2020\AD5933\AD59338G1K\AD59338G1K.uvproj "说明"),[^58618]
在 AD5933阻抗转换器、网络分析仪初步实验[3] 中给出了基于STC8G1K081K(SOP8)的实验电路,完成对AD5933模块的I2C总线命令的控制。实验电路板还包括有T0/T1CLKO管脚输出,这部分可以用来产生AD5933的MCLK的时钟信号。

▲ 设置T1CLKO的STC8G相关寄存器
在STC8G1K08的main程序初始化子程序中,定义如下命令,设置T1CLKO为输出信号。

▲ 实验电路板 STC8G1K08
测量P5.4(T1CLKO)管脚的波形如下。频率为:。
由于此时T1用于UART1的波特率(460800bps),所以它的频率为921.3Khz。

▲ STC8G1k的P5.4(T1CLKO)管脚的输出波形
02产生输出信号
1.设置输出激励正弦信号
在初始化AD5933中,选择外部CLK。在设置SetSweep的时候,设置参数oscf=0.92。输出3kHz。
下面是采集到的输出波形。它的频率为3KHz。这说明AD5933的确是按照外部得始终产生激励信号的。

▲ 输出3KHz的正弦波形
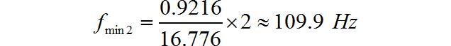
2. 测试新的最低工作频率
内部工作频率 时,按照AD5933不同频率下转换结果[1] 中的结果,最低工作频率大约是:左右。现在外部时钟频率为:。那么对应的最低工作频率:

下面是在不同的输出工作频率下,测量负载为无穷大时,测到所得到的电流幅度。可以看到在频率大约为110Hz的时候,输出接近于零。这与上述计算结果是相符合的。

3.修改模块中的耦合电容
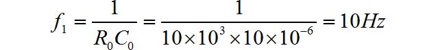
使用AD5933上的运放缓冲电路的时候,由于AD5933通过 0.01uF的电容耦合到AD8606运放。当输出频率很低的时候,会极大衰减输出信号。
将该耦合电容修改到20uF;这样对应的截止频率为:,后期的分压电阻为。后期的截止频率为:


▲ 不同频率下输出激励电压

▲ 不同频率下输出激励电压
从上图来看,输出信号的截止频率大约是10Hz左右。
为了进一步降低截止频率,将原来的分压电压的电阻从原来的22kΩ,修改成200kΩ.

▲ 修改缓冲运放
经过改造之后,重新测量输出电压与激励信号频率之间的关系。可以看到截止频率降低到1Hz左右。

▲ 不同频率输出激励电压幅值
03使用信号源产生工作频率
1.工作时钟频率
使用DS345产生AD5933的工作时钟信号。首先设置输出频率:100kHz, 幅度:Vpp=2V;偏置:1V。

▲ 信号源DS345
由于输出信号是按照负载为50Ω来设定的。带动AD5933工作时,由于负载远远大于50Ω,所以输出的幅值基本上是上述设置两倍。
下图是实际测量DS345输出的时钟信号。Vpp大约为2V,重心偏移量为2V。

▲ 工作时钟信号
通过测试,需要将时钟的幅值设置为峰峰值2V才能够满足触发AD5933的工作。

▲ 设置信号的幅值和波形
如果输入信号超过的3.3V,有可能导致电流回灌。
- [ ] 正确的设置方式:Vpp:1.5V,Vbias=1V,方波。
2.测试输出信号频率
在Vin,Vout之间连接。在不同的频率下测量的结果如下图所示。
- [ ] 工作频率:0.1MHz

▲ 不同频率下测量的结果
根据在 AD5933不同频率下的转换结果[1] 测量结果,在下,频率泄露所引起的最低工作频率为2000Hz。那么工作在下的最低工作频率为:

从前面的测量结果来看,的确最低的工作频率大约10Hz左右。
(1)工作频率0.01MHz:
下面显示了在不同的频率下的测量结果。
在工作频率为下,数据采样频率为1MHz。在工作频率时,对应的数据采样频率为:


▲ 不同频率下测量的结果

▲ 普通频率下的测量结果
下图显示了在596MHz下,对应的采集到的数据。其中存在两个奇怪的地方:
- [ ] 测量结果中存在一个线性相位 这可能是由于转换过程存在一个特定的时间延时。从图像中可以看到该延迟大约是2ms。也就是在1000Hz的时候,相位相差了2个。
- [ ] 当频率大于550Hz长辈,结果中存在噪声 由于采集频率为596Hz,所以当信号的频率超过500Hz之后,实际上信号已经处于欠采样过程。所以这个过程存在着比较明显的噪声。

▲ 普通频率下的测量结果
(2)工作频率:0.02MHz:
从测量结果来看:
- [ ] 存在着 一个1ms左右的延迟 可以猜测,固定的延迟大约等于两个工作时钟信号周期。

▲ 普通频率下的测量结果
下图显示了最低的工作频率大约在2.5Hz。

▲ 普通频率下的测量结果
(3)工作频率:0.05MHz
最低的工作频率大约E座5.5Hz.

▲ 普通频率下的测量结果
3. AD5933的工作频率对结果的影响
- [ ] 工作频率:0.01MHz

▲ 不同频率下的测量结果
- [ ] 工作频率:0.02MHz

▲ 不同频率下的测量结果
- [ ] 工作频率:0.05MHz

▲ 不同频率下的测量结果
※ 结论
可以使用外部加入测MCLK信号,来改变AD5933的测量信号频率范围。
输入信号的幅度需要尽可能解决0~3.3V,可以使用正弦波,或者方波信号来驱动MCLK。
总结上述测量结果,可以近似得到如下的结果: (1)AD5933存在一个固定的延迟,这与工作频率之间的关系为:。
(2) 数据采样频率:。 的单位MHz。 输入信号的频率需要小于fs的一半。
(3)最低工作频率:。 的单位MHz。
(4)测量保证数据精确性,至少在采样数据中,正弦信号的周期:最小5个;最大的周期512(满足采样定理)。因此AD5933的测量信号的频率范围大约是100倍(两个数量级)。
参考资料
[1]
AD5933不同频率下转换结果: https://zhuoqing.blog.csdn.net/article/details/106969485
[2]
频谱泄漏: https://eason.blog.csdn.net/article/details/7904553?ops_request_misc=&request_id=&biz_id=102&utm_term=%E9%A2%91%E7%8E%87%E6%B3%84%E9%9C%B2&utm_medium=distribute.pc_search_result.none-task-blog-2~blog~sobaiduweb~default-0-7904553
[3]
AD5933阻抗转换器、网络分析仪初步实验: https://zhuoqing.blog.csdn.net/article/details/106901397