
华中师范大学地处湖北武汉,是一所211师范类大学。2022年考研复试分数线出来之后,许多专业都突破了400分,不少网友也为之一惊,来看看到底怎么回事吧?首先是马克思主义学院,马克思主义中国化方向突破了400分,达到了402分,相比之下,其它方向只有360-365左右的分数,这个可谓是卷的一塌糊涂!

要说最卷的莫过于心理学院了,心理学各个方向都突破了400分,达到了407分,相比于其它学院,这个分数可谓是一绝骑尘了,文学院也是热门学院,也估计是华中师大最好的专业了,基本分数线都在371分左右,比国家线还是高那么几分。

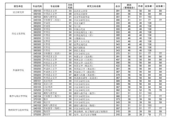
外国语学院同样卷的一塌糊涂,外国语言文学多个方向达到了400分,日语类407分,韩语类422分,法语类390分,总体而言还是比较高的!


但是报考华中师大计算机学院的学生可谓是捡漏了,只有302分的分数线,对于大多数人,这个应该是没问题的吧!但是新闻传播类的可能就有点惨了,达到393分,这个分数还是有点高的。
