反三角函数考研结论 (考研反三角公式汇总)

cot(x)=1/tan(x)

sec(x)=1/cos(x)

csc(x)=1/sin(x)

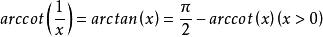
余角关系

考研反三角公式汇总,反三角函数考研最全知识点

考研反三角公式汇总,反三角函数考研最全知识点

考研反三角公式汇总,反三角函数考研最全知识点

负数关系

考研反三角公式汇总,反三角函数考研最全知识点

考研反三角公式汇总,反三角函数考研最全知识点

考研反三角公式汇总,反三角函数考研最全知识点

考研反三角公式汇总,反三角函数考研最全知识点

考研反三角公式汇总,反三角函数考研最全知识点

考研反三角公式汇总,反三角函数考研最全知识点

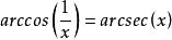
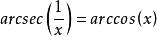
倒数关系

考研反三角公式汇总,反三角函数考研最全知识点

考研反三角公式汇总,反三角函数考研最全知识点

考研反三角公式汇总,反三角函数考研最全知识点

考研反三角公式汇总,反三角函数考研最全知识点

考研反三角公式汇总,反三角函数考研最全知识点

考研反三角公式汇总,反三角函数考研最全知识点

考研反三角公式汇总,反三角函数考研最全知识点

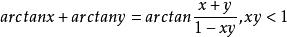
加减法公式

arctanx+arctany

考研反三角公式汇总,反三角函数考研最全知识点

考研反三角公式汇总,反三角函数考研最全知识点

考研反三角公式汇总,反三角函数考研最全知识点

arctanx-arctany

考研反三角公式汇总,反三角函数考研最全知识点

考研反三角公式汇总,反三角函数考研最全知识点

考研反三角公式汇总,反三角函数考研最全知识点

arccotx+arccoty

考研反三角公式汇总,反三角函数考研最全知识点

考研反三角公式汇总,反三角函数考研最全知识点

考研反三角公式汇总,反三角函数考研最全知识点

本文来自牛顿不会飞