张浦镇小学入学积分排名 (昆山张浦小学没积分可以上吗)

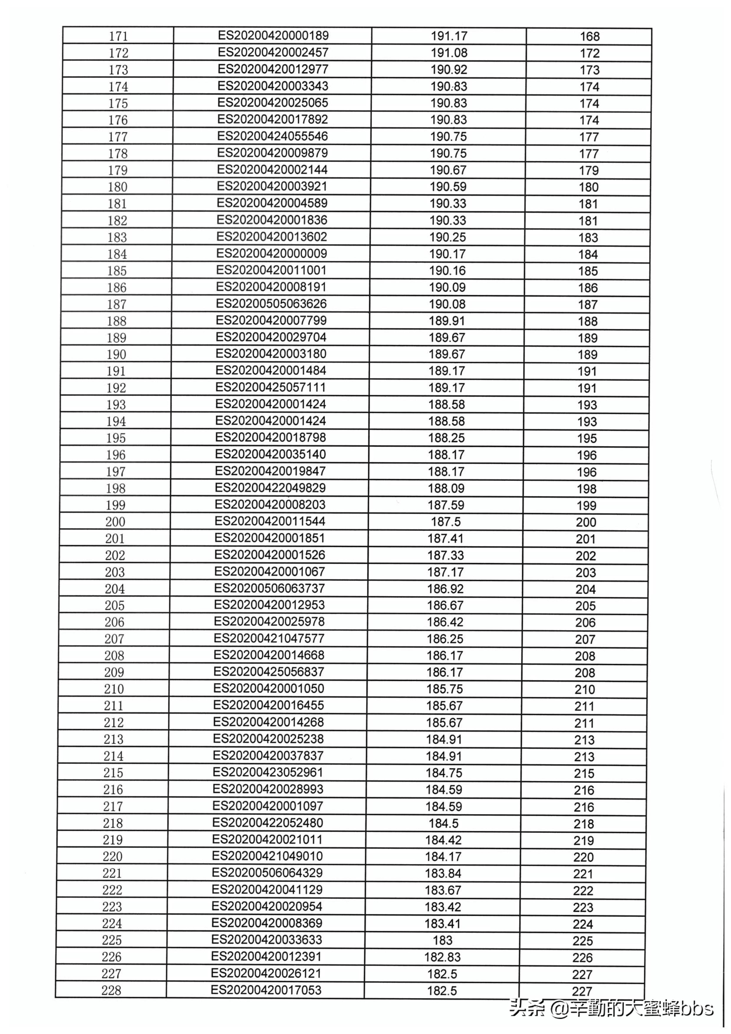
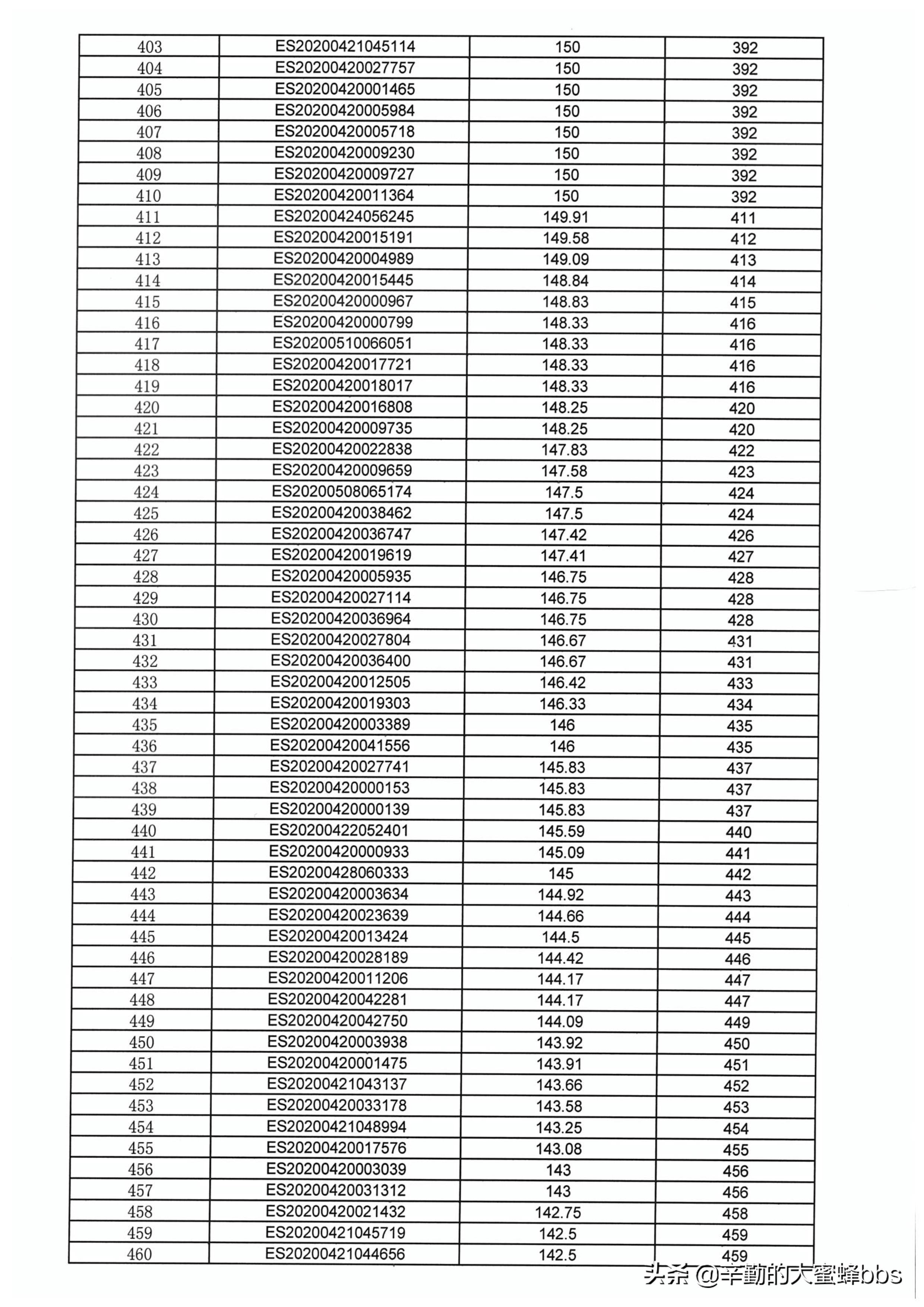
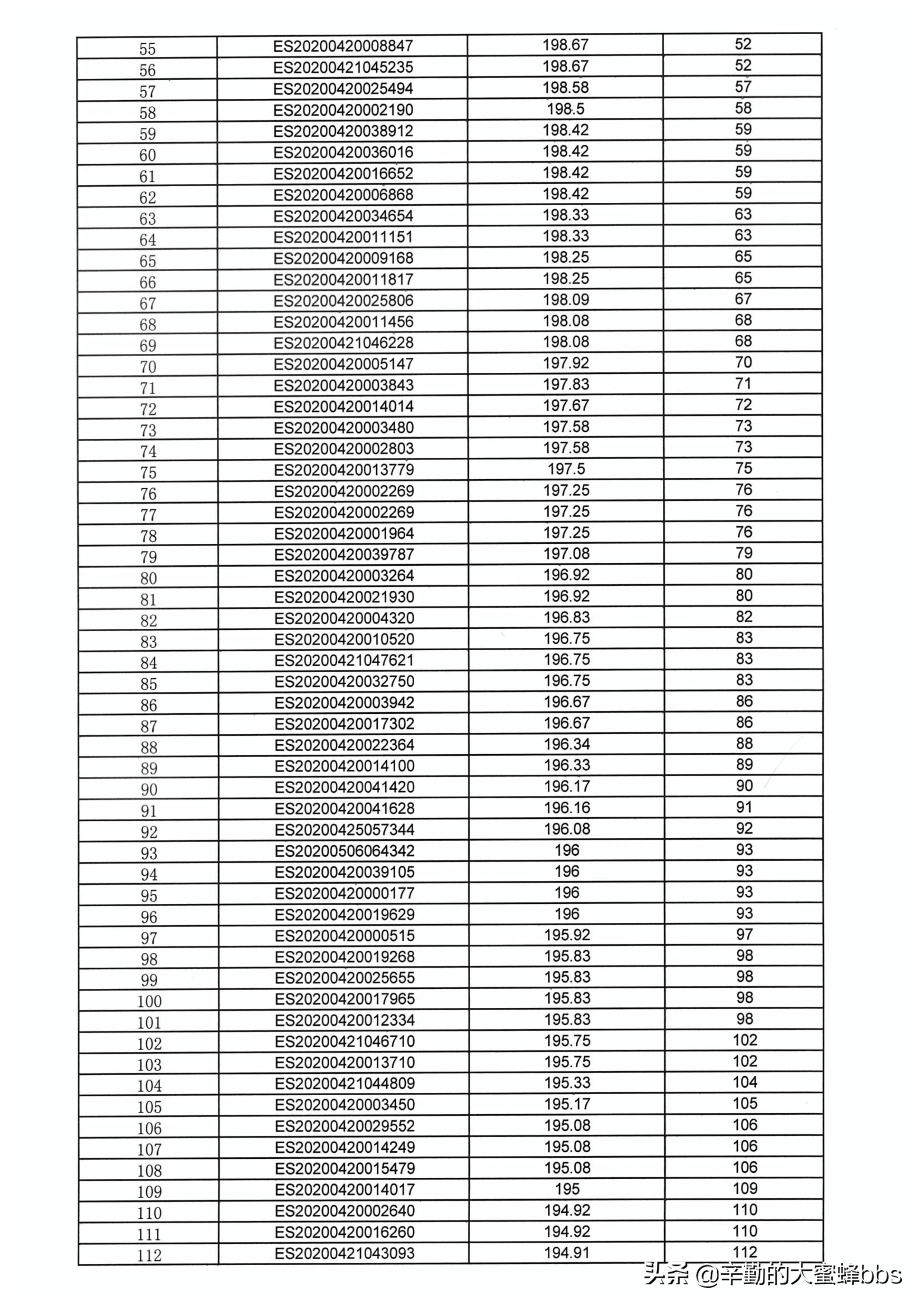
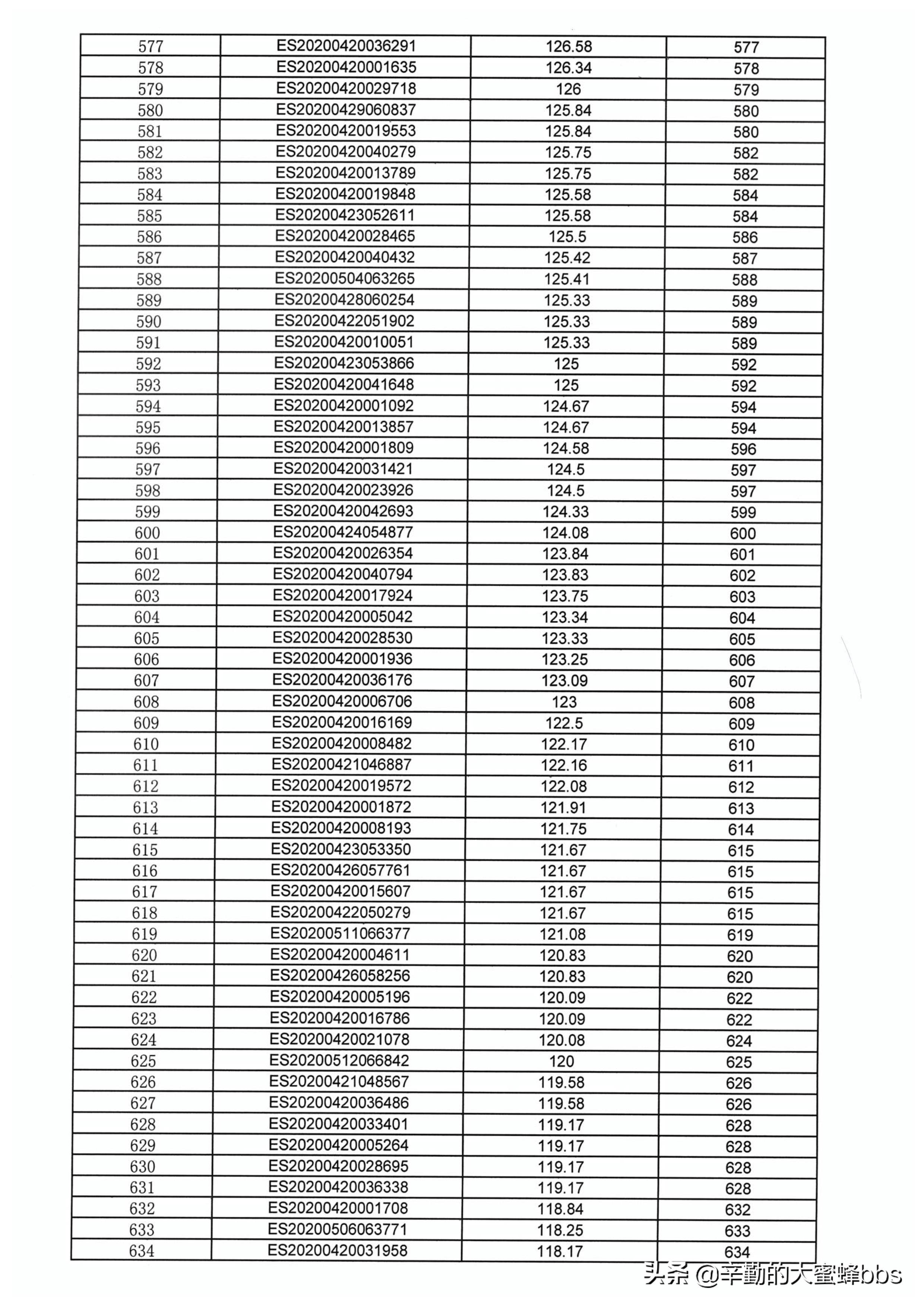
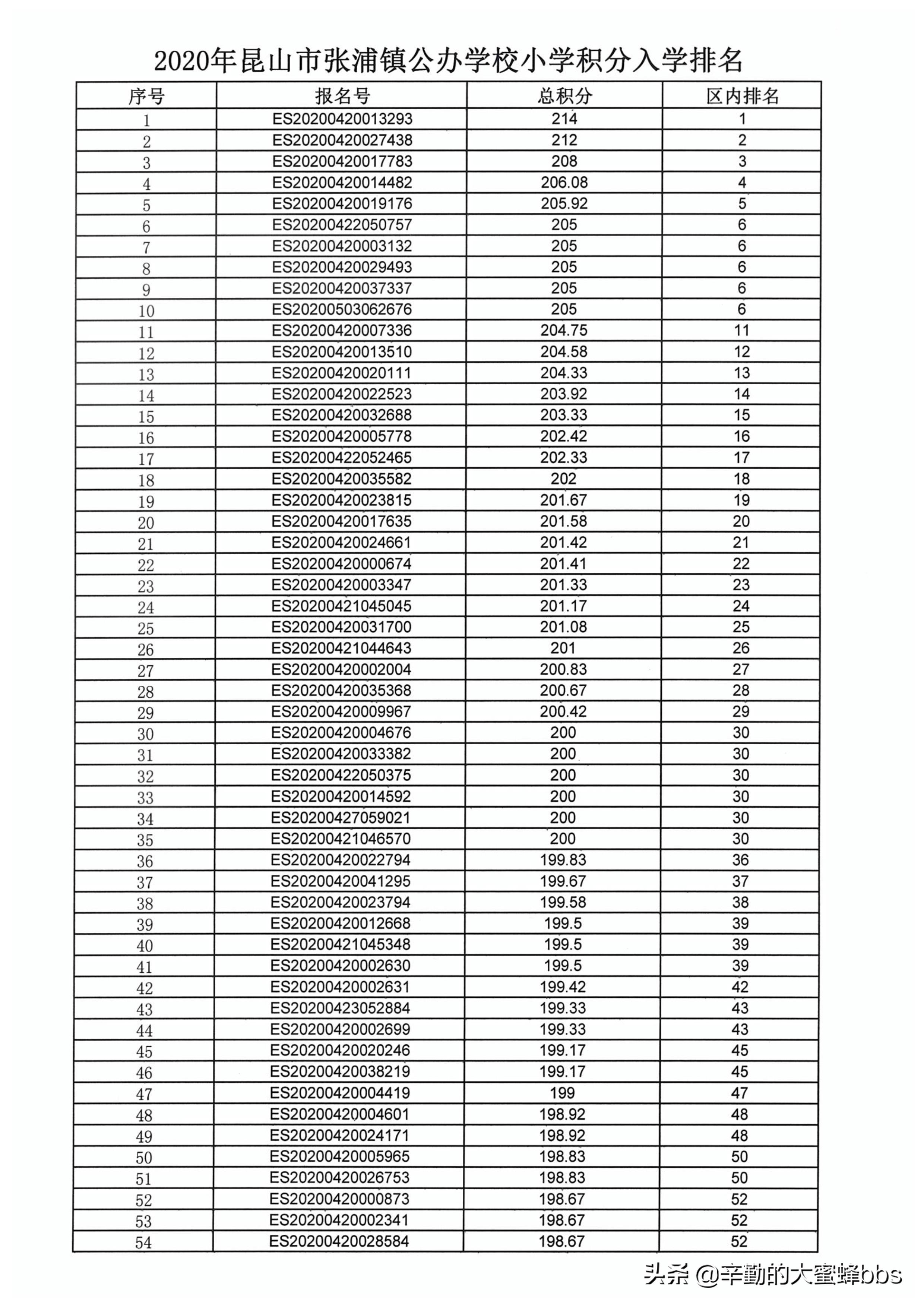
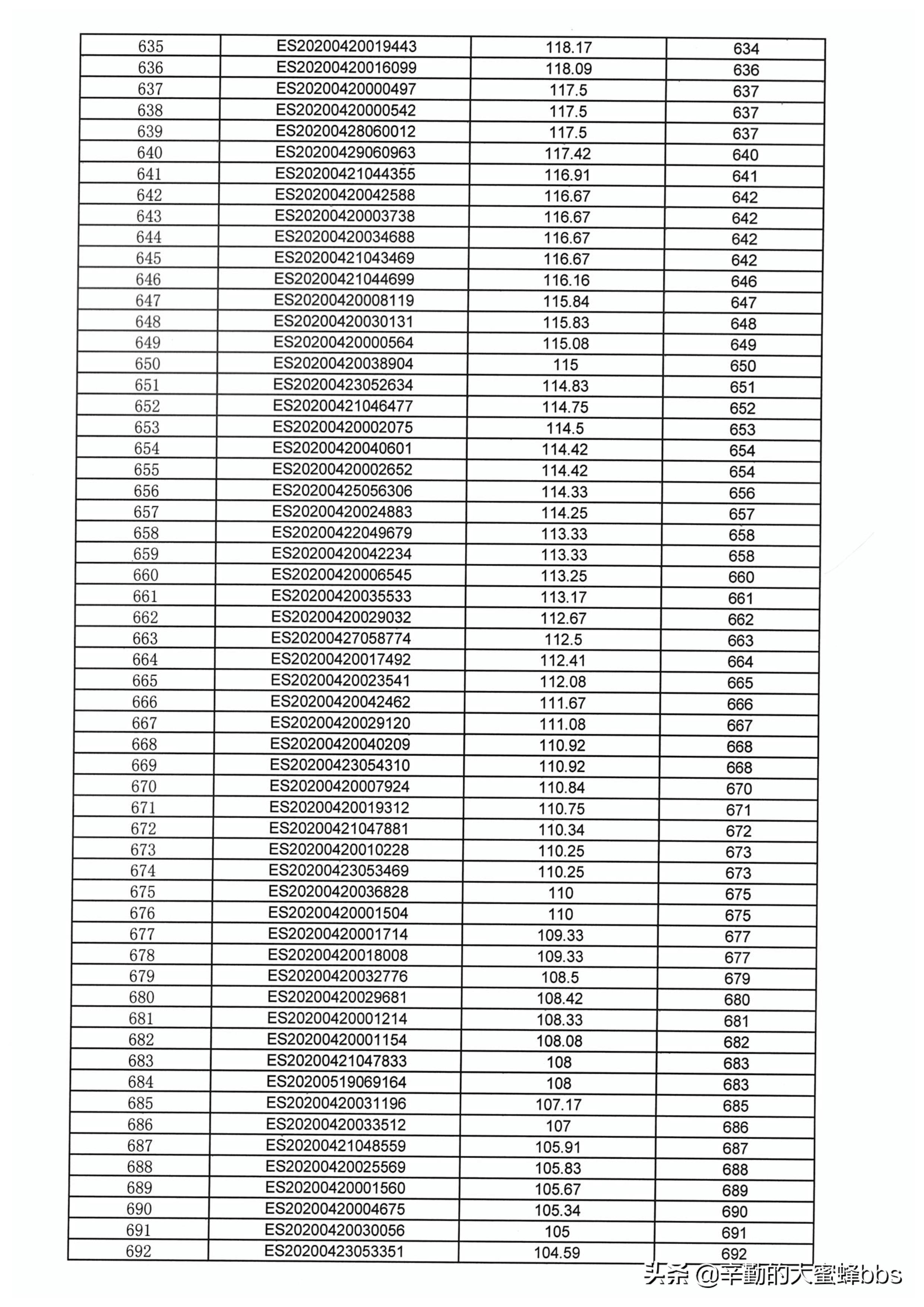
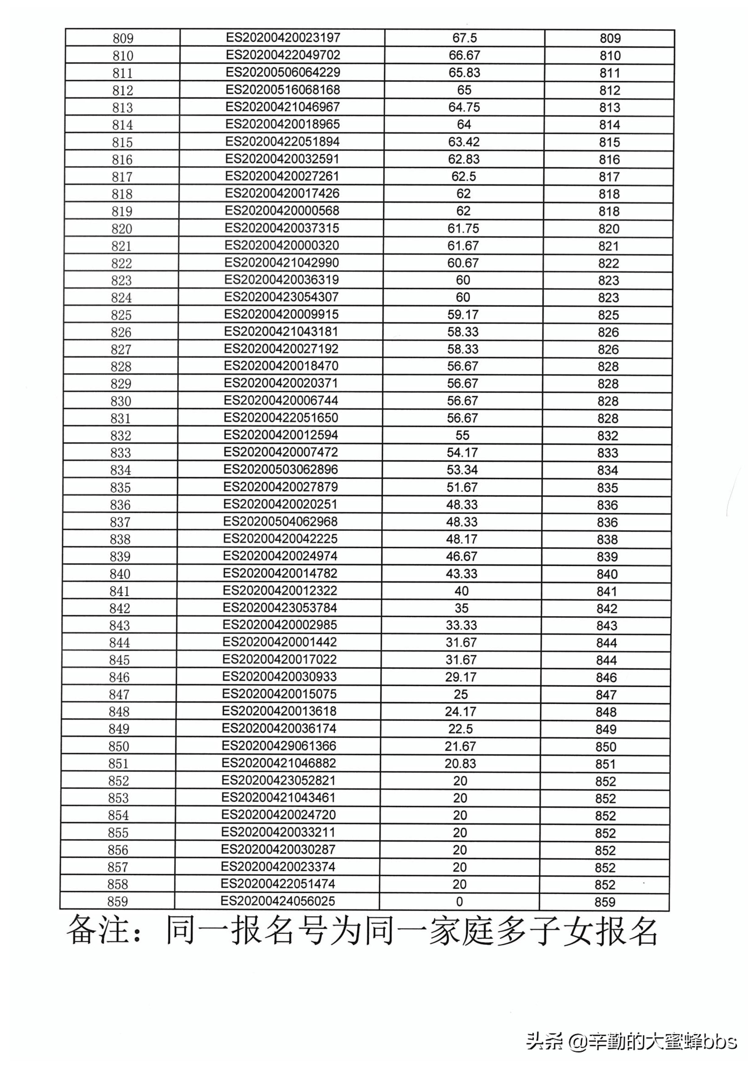
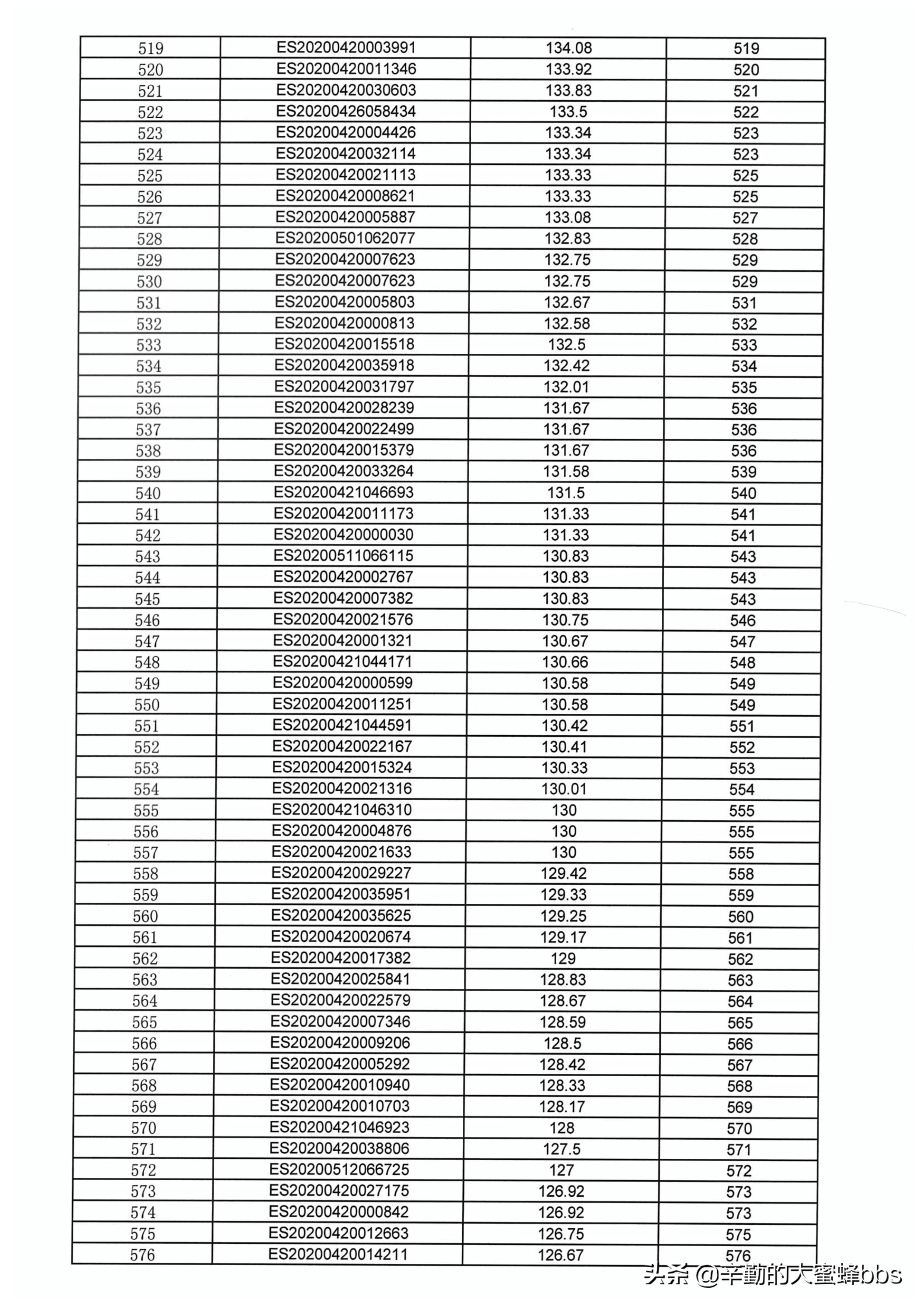
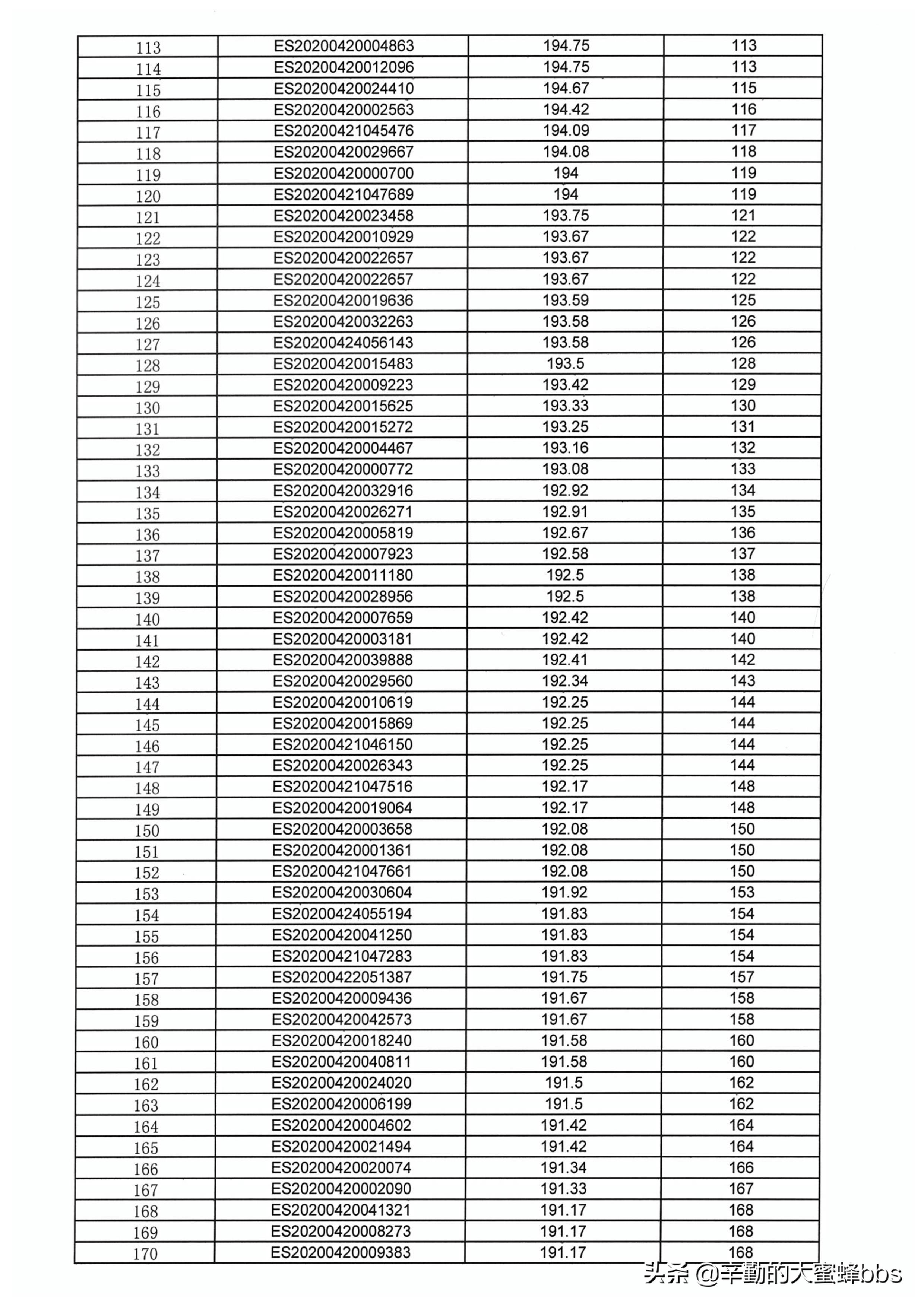
2020年昆山市张浦镇公办学校小学积分入学积分排名公示

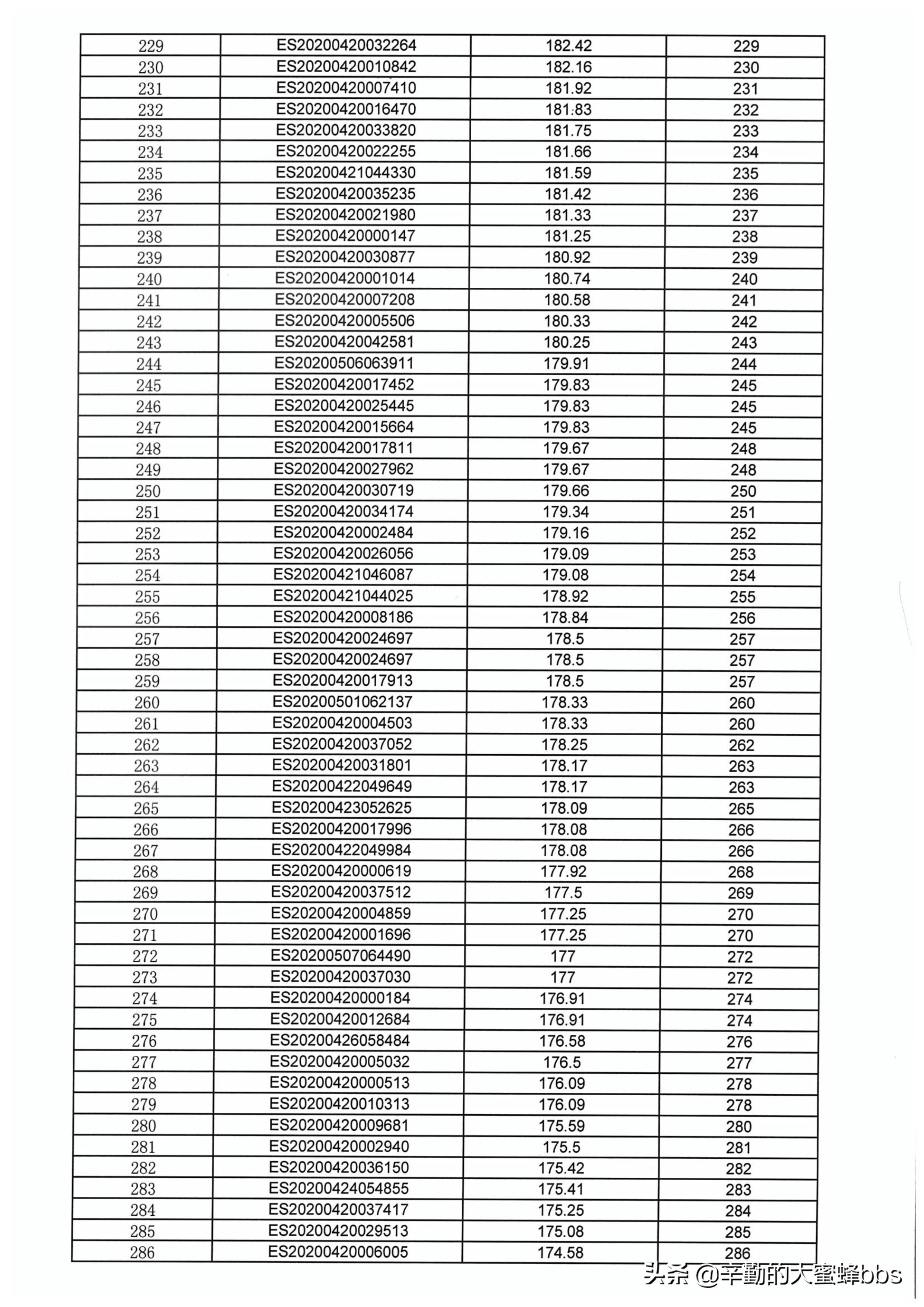
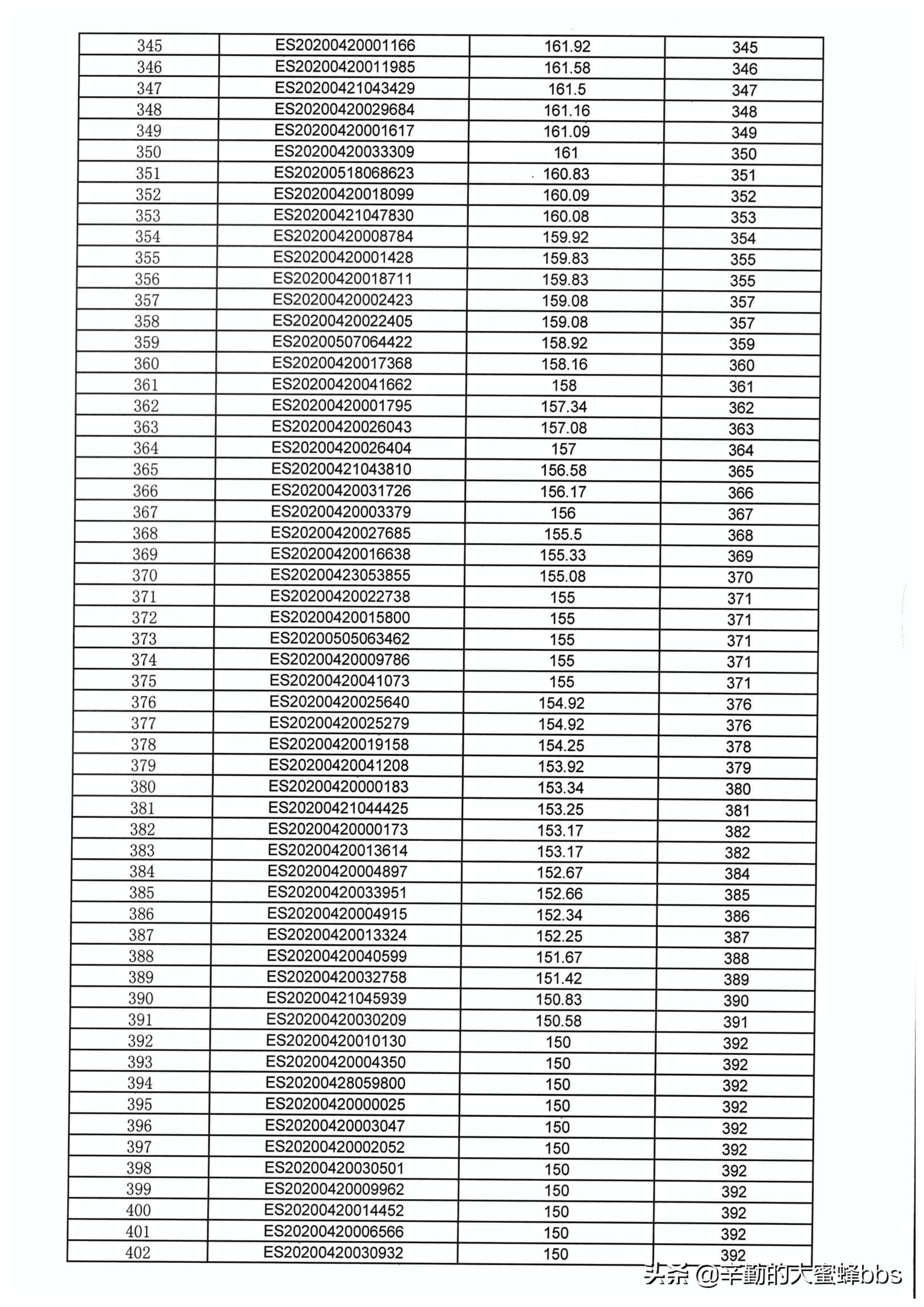
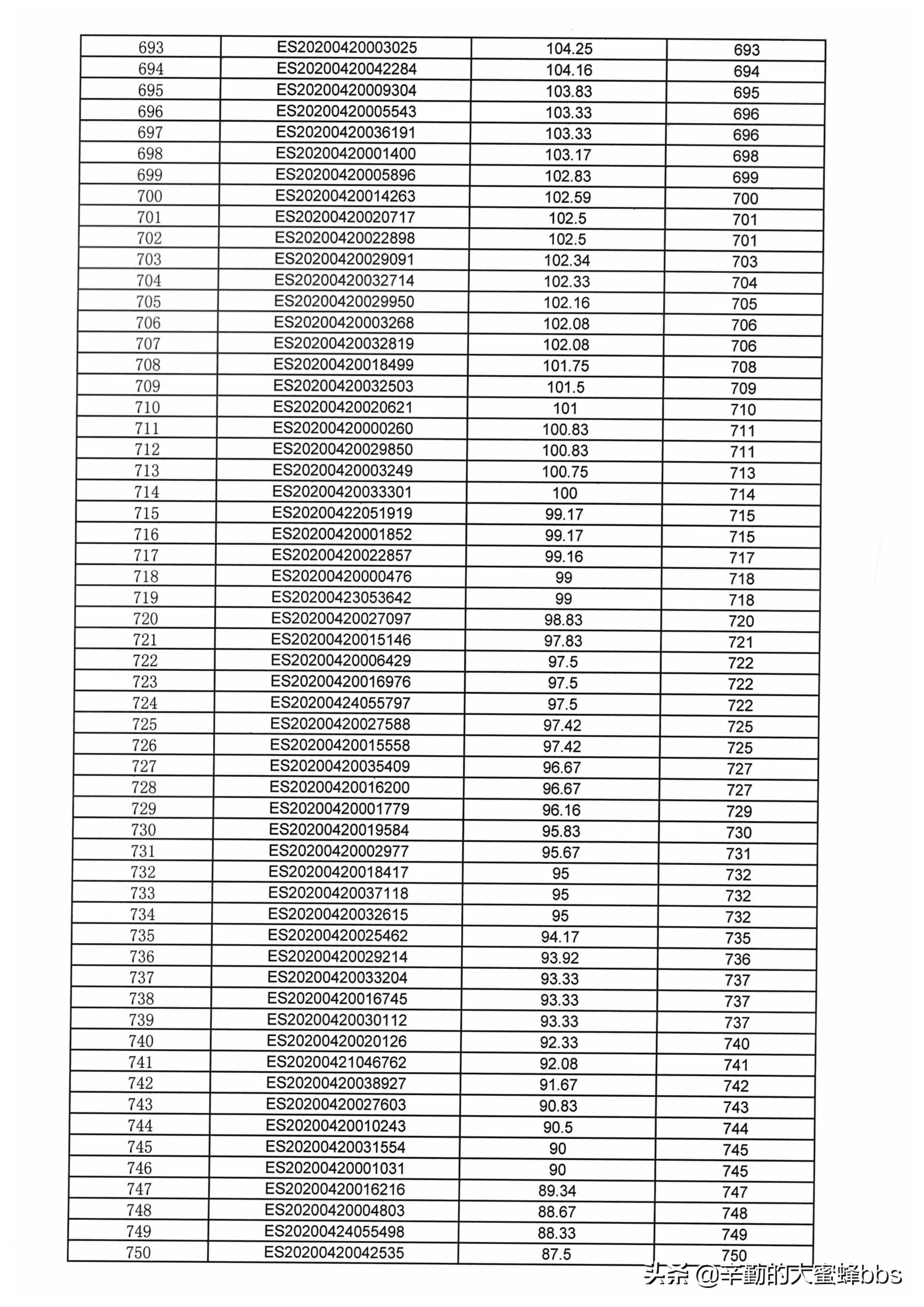
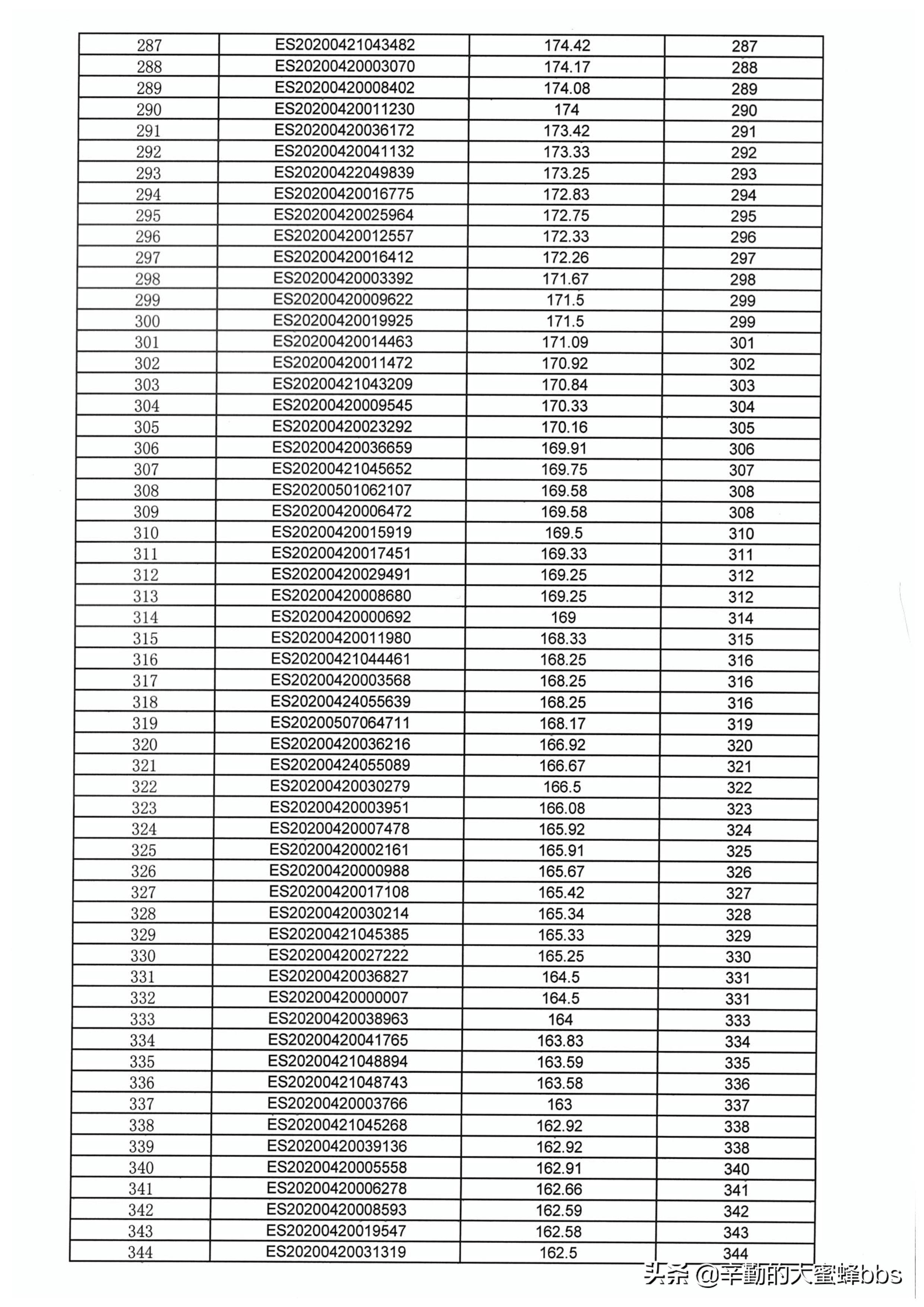
2021年昆山市张浦镇小学入学条件,张浦镇小学入学积分排名

2021年昆山市张浦镇小学入学条件,张浦镇小学入学积分排名

2021年昆山市张浦镇小学入学条件,张浦镇小学入学积分排名

2021年昆山市张浦镇小学入学条件,张浦镇小学入学积分排名

2021年昆山市张浦镇小学入学条件,张浦镇小学入学积分排名

2021年昆山市张浦镇小学入学条件,张浦镇小学入学积分排名

2021年昆山市张浦镇小学入学条件,张浦镇小学入学积分排名

2021年昆山市张浦镇小学入学条件,张浦镇小学入学积分排名

2021年昆山市张浦镇小学入学条件,张浦镇小学入学积分排名

2021年昆山市张浦镇小学入学条件,张浦镇小学入学积分排名

2021年昆山市张浦镇小学入学条件,张浦镇小学入学积分排名

2021年昆山市张浦镇小学入学条件,张浦镇小学入学积分排名

2021年昆山市张浦镇小学入学条件,张浦镇小学入学积分排名

2021年昆山市张浦镇小学入学条件,张浦镇小学入学积分排名

2021年昆山市张浦镇小学入学条件,张浦镇小学入学积分排名